автордың кітабын онлайн тегін оқу Некоторые аспекты оценки эффективности функционирования систем. Вторая редакция, исправленная и дополненная
Петр А. Силин
Некоторые аспекты оценки эффективности функционирования систем
Вторая редакция, исправленная и дополненная
Шрифты предоставлены компанией «ПараТайп»
© Петр А. Силин, 2020
Предлагаемые к прочтению материалы посвящены таким вопросам, как оценка эффективности функционирования систем, оценка неопределенностей, возникающих в системе в процессе ее функционирования, оценка инерционных свойств объектов и систем.
Материал изложен в легкодоступной форме и ориентирован на читателей, знакомых теоретически или на практике, в том числе и бытовой, с проблемами функционирования систем.
ISBN 978-5-4498-4083-7
Создано в интеллектуальной издательской системе Ridero
Оглавление
- Некоторые аспекты оценки эффективности функционирования систем
- Предисловие
- Введение
- Статья 1. Параметры систем. Пространство состояний
- 1.1. Параметры систем. Объекты
- 1.2. Пространство состояний
- 1.3. Движение в пространстве состояний
- 1.4. Ресурсы
- 1.5. Системный потенциал. Рельеф пространства состояний
- 1.6. Особые виды поведения объектов
- 1.7. Инерционность объектов. Движение объектов
- 1.8. Конкуренция объектов
- 1.9. Параметрическая неопределенность
- 1.10. Таблица обозначений
- 1.11. Заключение
- Статья 2. Информационные потоки
- 2.1. Введение
- 2.2. Понятие информационного потока
- 2.3. Связи между объектами
- 2.4. Информационный поток как объект
- 2.5. Генерация и трансляция информационных потоков
- 2.6. Исчисление информационных потоков
- 2.7. Таблица обозначений
- 2.8. Заключение
- Статья 3. Проблемы функционирования систем
- 3.1. Модель объекта с системой управления
- 3.2. Погрешности функционирования пассивного объекта
- 3.3. Оценка погрешностей когнитивной части системы управления
- 3.4. Генеральная оценка погрешности функционирования объекта
- 3.5. Таблица обозначений
- 3.6. Замечания
- Статья 4. Формирование сложных объектов и их параметров
- 4.1. Введение
- 4.2. Условия возможности объединения объектов
- 4.3. Объединение двух объектов
- 4.4. Объединение объектов, имеющих подобные параметры
- 4.5. Замечания и выводы
- 4.6. Общий случай конкатенации объектов. Размерность объединенного объекта. Текущее состояние объединенного объекта
- 4.7. Некоторые частные случаи объединения объектов
- 4.8. Объединение информационных потоков. Макропотоки
- 4.9. Объединение погрешностей. Уточнение формулы
- 4.10. Таблица обозначений
- 4.11. Заключение
- Статья 5. Инерционность объектов
- 5.1. Оценка инерционности монолитных объектов
- 5.2. Оценка инерционности сложных объектов
- 5.3. Замечание о параметрах простых и сложных объектов
- 5.4. Замечание о нескольких воздействий на систему
- 5.5. Таблица обозначений
- 5.6. Заключение
- Статья 6. Некоторые аспекты успешности функционирования систем
- 6.1 Особые параметры и показатели объекта
- 6.2. Период активности
- 6.3. Понятие эффективности функционирования
- 6.4. Критерий эффективности функционирования
- 6.5. Обобщенный критерий эффективности функционирования объектов
- 6.6. Таблица обозначений
- 6.7. Заключение
- 7. Вывод
- 8. Послесловие
- 9. Литература
Предисловие
В относительно удаленном от настоящего времени как в хронологическом, так и социально-экономическом смысле, периоде существования автору предлагаемых материалов повезло познакомиться с рядом людей, общение с которыми поставило перед ним задачу оценки эффективности функционирования систем.
В те времена автор был молод, неоправданно оптимистичен, поэтому новую проблему считал вполне понятной и решаемой в ближайшие два-три года, в худшем случае пять лет.
В последующие двадцать лет, несмотря на кардинальные подвижки, случившиеся со страной, обществом, людьми и даже городом, проблема оценки эффективности являлась предметом постоянных размышлений и спорадических записей на первом попавшемся листе бумаге или подвернувшемся компьютере.
В конце концов, в результате долгих раздумий, автору удалось до некоторой степени осознать означенную проблему, что и нашло свое отражение в данных материалах.
За время приближения к пониманию вопроса автор неизбежно общался со многими людьми, которые играли ту или иную роль в его жизни: позитивную, негативную или нейтральную, значительную или не слишком. Но независимо от характера общений, впечатления от них оказались полезны в том смысле, что явились одним из факторов влияния на ход размышлений, что помогло приблизиться к осознанию проблемы в том виде, как изложено в книге, а также приобрести необходимый заряд определенного нахальства, позволивший приступить к размышлениям по вопросам функционирования систем…
Поэтому всем жизненным спутникам автора материалов хочется выразить свою, большую или меньшую, признательность (в порядке прямой алфавитной сортировки): Андриевскому В. В. Арсеньеву Н. Ю., Безвиконному К. А., Дрибинскому Л. З., Козыреву А. Б., Миненко Ю. Г., родственникам (бывшим и настоящим, семье, кошкам и, в особенности, черепашкам), Харитонову В. С. и многим другим, кто захочет или сочтет возможным присоединиться к списку упомянутых.
Введение
С самого рождения и всю оставшуюся жизнь каждого из нас окружает множество непохожих друг на друга объектов — люди, машины, строения, группы людей, стада и толпы, кошки, рыбки, хомячки, деревья и прочие.
Все существующие объекты являются сущностями различной природы (биологические, включая самого человека, техногенные, физические) и степени сложности (от элементарных до сверхсложных).
Все объекты каким-то образом существуют во времени, взаимодействуют между собой, при этом срок и проявления жизнедеятельности различны, а взаимодействия разнообразны.
Но при множественности различий между объектами, их объединяет одно — все они являются системами.
В основу описания и анализа систем любого типа, как известно, положены так называемые «Шесть принципов системного подхода».
Указанные принципы, в силу своей инвариантности относительно систем, присущи системам любого типа, что позволяет анализировать функционирование (существование) объектов различного рода исходя из общих предпосылок. Поэтому в рамках данных материалов не проводиться различия между системами, если обратного не требуется.
Предлагаемый вниманию материал посвящен анализу некоторых общих проблем функционирования систем, таких как эффективность функционирования, неопределенности, возникающие в процессе жизнедеятельности систем, оценке возможностей систем по достижению целей и ряду других вопросов.
Предварительные результаты исследований по указанной проблеме на начальном этапе нашли свое отражение в публикации доклада (в рамках Научно-практической конференции Министерства производства средств связи 1989г) «Некоторые концептуальные вопросы решения проблемы оценки эффективности функционирования систем», в котором был сформулирован вариант критерия эффективности функционирования систем различного рода в терминах информационных потоков и неопределенностей как взаимоотношение скорости достижения системой цели и скорости исчерпания ее возможностей (нарастания неопределенности системы, скорости использования ресурсов). Но сразу появилось понимание (поддержанное и обостренное справедливыми замечаниями «по горячим следам» Харитонова Владимира Сергеевича), что невозможно полноценно провести оценку эффективности и неопределенности вне связи с параметрами анализируемой системы, тем более, что этот вывод проистекал из самого доклада.
Да и на интуитивном уровне это тоже вполне очевидно.
Дальнейшие исследования по данному вопросу привели к уточнению аналитических формулировок критерия эффективности и установлению взаимосвязи параметров объектов и сформулированных критериев, что и нашло свое отражение в рамках данных материалов.
Хочется отметить, что автор не претендует на роль источника абсолютной истины и на всеобщность полученных выводов.
Но, думается, что вопросы, анализируемые в данной книге, не столь узки и специфичны, чтобы изложенные выводы и обобщения можно было считать не более, чем частным мнением автора по указанным проблемам.
В то же время автор полагает, что полученные материалы ни в коей мере не могут претендовать на исчерпывающий характер, являясь не более, чем предварительным приближением к разрешению проблемы.
Вследствие этого автор считает возможным придерживаться не только свободной манеры изложения материала с минимально необходимой его структуризацией, но и полагает допустимым ориентироваться на аксиоматичность предлагаемых в качестве исходных понятий и определений.
Завершая введение, автор отмечает:
— материал ориентирован на читателей, знакомых с системами, системным подходом, вопросами оценки неопределенности, проблемой оценки эффективности, элементами теории распознавания образов. Поэтому автор считает возможным не тратить время читателя и место в книге на изложение указанных моментов. Но помня о тех читателях, которые не знакомы с указанными вопросами, автор будет придерживаться максимально простого изложения своих мыслей;
— данный опус является второй редакцией, исправленной и дополненной, книги «Некоторые аспекты оценки эффективности функционирования систем»
— всем желающим каким-либо образом отреагировать на содержимое книги, в качестве канала связи автор может предложить адрес https://beta.ridero.ru. Автор обещает, что письмо будет прочитано, рано или поздно, но не гарантирует, что на него будет отвечено.
Статья 1. Параметры систем. Пространство состояний
По мнению автора, можно утверждать, что любой объект любого рода можно описать набором значений характеристик, именуемых параметрами.
Также общеизвестно, что параметры сложных объектов, которые принято именовать макропараметрами, появляются на свет в результате объединения более простых объектов в сложный, в свою очередь более простые объекты описываются своими параметрами, которые в контексте данного анализа можно называть микропараметрами.
1.1. Параметры систем. Объекты
Рассматривая окружающий нас мир со всеми существующими в нем объектами, можно отметить для себя, что каждый материальный объект может быть описан тем или иным образом с применением некоторого набора характеристик или параметров.
При этом можно заметить, что, в зависимости от природы объектов, могут изменяться:
— количество используемых для описания параметров,
— типы параметров, свойства параметров (например, дискретность или непрерывность принимаемых значений, численный или качественный характер принимаемых значений и т.д.),
— протяженность интервалов значений, принимаемых каждым параметром,
— различность набора параметров при сравнении ситуаций изолированности объектов от внешнего мира и в случае существования взаимодействия анализируемого объекта с другими объектами (окружающим миром).
Такое многообразие, может быть приятное при других обстоятельствах, в нашем случае только мешает.
Поэтому автор считает возможным для облегчения анализа ввести в рассмотрение объект, используемый исключительно для изучения вопросов о параметрах систем.
Этот объект имеет N параметров, каждый параметр принимает значения в интервале значений, обозначение которого приведено в строке 1 таблицы 1 в разделе 1.10 (далее таблица 1), свойства и природа параметров во внимание не принимаются.
Таковой объект далее будем именовать аналитический объект или просто — Объект.
Введение аналитического объекта позволяет сделать еще один шаг и обратить внимание на ряд явлений, процессов и образований, в том числе и виртуальных, поведение и состояние которых также могут быть отражено набором параметров.
В качестве практического примера аналитического объекта могут быть приняты такие явления как материальные объекты, информационные потоки, информационные контенты, полевые структуры и пр.
В рамках понятия аналитического объекта не проводится дифференциация по нативному происхождению объекта или явления.
Учитывая сказанное, в контексте данных материалов к понятию Объекта могут быть причислены любые материальные объекты, явления и образования любой природы, если они могут быть представлены набором параметров.
Здесь необходимо, по мнению автора, сделать замечание того свойства, что отвлечение от свойств параметров не является большой натяжкой, так как избавиться от особенностей параметров позволяет операция нормализации параметров, рассмотренная ниже в разделе 1.1.1.
1.1.1. Нормализация параметров.
Нормализация параметров, по мнению автора, позволяет избежать необходимости учета индивидуальных свойств параметров при анализе объектов. Нормализация параметров состоит в том, что каждое значение из интервала принимаемых параметром значений относится к минимальному значению из указанного интервала.
В результате применения нормализации ко всем параметрам объекта получим, что каждый параметр становится безразмерным и будет принимать значения внутри интервала от 1 до некоторого максимального значения Ymax, normall, определяемого выражением (п 1, промежуточное первое):
Такой подход позволяет в дальнейшем обращаться с параметрами объектов и самими объектами совершенно формально, не обращая внимание на их реальную сущность.
В дальнейшем всегда, без специальных оговорок, будут подразумеваться только нормализованные параметры без специального уведомления.
1.1.2. Условные и безусловные параметры.
Параметры, являющиеся имманентными характеристиками объекта, будут именоваться безусловными параметрами.
Свойства, которые не присущи объекту с начала его существования, но в процессе его генезиса, в рамках той или иной задачи, проявляют свое существование и характеризуют объект с той или иной стороны, будут считаться параметрами, если это упрощает решение задачи, но условными или временными. В период, когда эти характеристики считаются параметрами, на них распространяются все «права и обязанности» настоящих параметров.
1.2. Пространство состояний
Определившись с описанием в виде набора нормализованных параметров, следует определиться с представлением наборов параметров и интервалов принимаемых ими значений для облегчения анализа объекта.
Вполне обычным является вариант матричного представления параметров и интервалов их значений. Этот способ, по мнению автора, достаточно очевиден и нагляден, но оперирует только с дискретными значениями параметров. К тому же операции с матрицами не вполне однозначны, хотя и интересны.
Другим широко распространенным вариантом является построение различного рода моделей (абстрактных, натурных, имитационных), манипулирование с которыми позволяет проанализировать объект.
Этот метод также очевиден, распространен, дает наглядные результаты.
Но следует отметить, что не всегда удается построить адекватную модель, к тому же автор полагает, что этот метод должен играть вспомогательную роль при анализе объекта — для подтверждения гипотез или иллюстрации ранее сделанных выводов, например.
Автор, в свою очередь, не отрицая применимости перечисленных методов, склоняется к другому способу отображения параметров. В основу положена система взаимно перпендикулярных координат. Количество осей совпадает с количеством параметров объекта. На каждой оси откладываются интервалы принимаемых значений параметров объекта и сами значения, в случае счетного количества дискретных значений, а в общем случае, непрерывные значения или бесконечное количество дискретных значений. По взаимному расположению значений параметров каждая ось является равномерной шкалой.
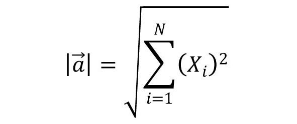
В результате этих манипуляций будет получена для объекта с N независимыми параметрами N-мерная система координат, именуемая, в дальнейшем, параметрическим пространством.
Текущее состояние объекта отображается точкой A (Xa, Ya) в параметрическом пространстве, координаты которой соответствуют значениям параметров (рисунок 1).
При большом желании анализирующего индивида можно отобразить положение точки в параметрическом пространстве в виде некоторого вектора {a} (здесь и далее по тексту векторы обозначаются с помощью фигурных скобок), начинающегося в начале координат и заканчивающегося в точке А, как показано на рисунке 1. Для случая N параметров с текущими значениями Xi можно записать выражения (1) и (2):
При переборе всех возможных значений параметров, определяемых интервалами значений, в параметрическом пространстве образуется некоторый объем возможных состояний объекта (именуемый в дальнейшем общий контент состояний), как показано на рисунке 2.
Совокупность параметрического пространства и контента состояний будем в дальнейшем называть пространством состояний объекта.
На рисунке 2 контент состояний изображен в виде отдельных точек. Это сделано исключительно в целях иллюстрации.
На самом деле контент состояний распадается на отдельные точки только в случае всех дискретных параметров (смотри рисунок 3.3).
Если все параметры непрерывны, то контент состояний непрерывен (смотри рисунок 3.1).
Если имеет место случай смешанных типов параметров, то контент распадается на относительно независимые непрерывные области (смотри рисунок 3.2).
Представляется вполне очевидным, что каждый объект имеет, в принципе, свое собственное пространство состояний, вне пределов которого он не существует как интересующий нас объект, или как цельная системная единица.
Если в процессе анализа объекта или его эксплуатации окажется, что при выходе одного или нескольких параметров за пределы соответствующих интервалов значений объект продолжает существовать и функционировать, то данный факт указывает, скорее всего, на неверное определение интервалов значений параметров.
Объединение всех объектов, включая исследователя, как известно, образует существующий мир, который также обладает своим пространством состояний, которое можно именовать глобальным пространством состояний.
Пространство состояний каждого объекта является, очевидно, подмножеством глобального пространства состояний.
1.2.1. Классификация пространств состояний.
В процессе работы по анализу существования объектов в пространствах состояний будут выделяться следующие типы пространств состояний:
а) локальное пространство состояний. Локальное пространство состояний — пространство состояний отдельно взятого объекта, его собственное пространство состояний;
б) типовое пространство состояний. Под типовым пространством состояний понимается пространство всех возможных состояний объектов одного типа. Следует помнить, что объекты одного типа имеют одинаковое устройство пространства состояний — одинаковый набор параметр, но могут отличаться конкретными значениями параметров и интервалами их изменений. Объединение всех возможных интервалов изменения значений параметров объектов одного типа или, что тоже самое, объединение локальных пространств объектов одного типа порождает типовое пространство состояний;
в) глобальное пространство состояний. Под глобальным пространством состояний будет пониматься такое пространство состояний, которое построено на параметрах всех возможных типов объектов и является локальным пространством состояний для макрообъекта, порожденного объединением всех возможных объектов в единую систему. В свою очередь будем различать:
в1) истинное глобальное пространство — пространство, построенное на параметрах всех возможных типов объектов и учитывающее все возможные реализации типов объектов. Такое пространство, вообще говоря, не реализуемо на практике и часто оказывается избыточным для практических задач;
в2) рабочее глобальное пространство — пространство, построенное на параметрах, рассматриваемых в контексте задачи, объектов, объединенных в макрообъект. Такое пространство имеет смысл в рамках конкретной задачи и поэтому имеет теоретическую ограниченность, хотя и более удобно, по сравнению с истинным глобальным пространством, в практическом применении;
г) обобщенное пространство состояний. Под обобщенным пространством состояний будет пониматься такое пространство состояний, которое построено на совокупности интервалов значений параметров всех объектов, без учета их взаимосвязей. Объединение всех интервалов значений всех параметров всех объектов или, что тоже самое, всех типовых пространств состояний, порождает пространство состояний, включающее все объекты, которые размещены в этом пространстве в соответствии с текущими значениями своих параметров.
1.2.2. Классификация объектов.
В приличных работах почти всегда производят классификацию объектов, так или иначе являющихся предметом анализа.
В данной статье также будет проведена классификация системных объектов, но в пределах контекста концепции пространства состояний и типизации пространств состояний.
Объекты, имеющие одинаковый набор параметр в дальнейшем будут считаться объектами, относящимися к одному типу.
Совокупность типов образует семейство объектов.
Каждая конкретная реализация типа объектов образует собственно объект.
Объекты одного типа, имеющие одинаковые контенты состояний являются объектами одного вида.
Объекты разных типов, имеющие какое-либо количество одинаковых параметров, будут именоваться подобными объектами.
Заметим, что если подобные объекты поместить в одно пространство состояний (рабочее глобальное пространство, естественно), то контенты состояний таких объектов будут взаимно пересекаться.
1.2.3. Замечания об изображении объектов.
1.2.3.1. Объекты в пространстве состояний, в зависимости от требований рассматриваемого вопроса, будут изображаться либо в виде точки, иллюстрирующей конкретное состояние объекта, либо в виде вектора, отображая целевые устремления объектов, смещения объектов, информационные потоки.
1.2.3.2. Являясь обычным человеком, автор достаточно легко может представить себе и нарисовать систему координат размерности не более трех. При попытке вообразить большее количество измерений возникают определенные ментальные трудности. Поэтому для иллюстрации поведения объектов в пространстве состояний будет использоваться в основном двумерная система координат, реже — трехмерная.
Думается, что в этом нет большой ошибки либо натяжки, т.к. если изобразить состояние объекта в виде вектора, начинающегося в начале координат и заканчивающегося в точке А, и вектор {OA} имеет N координат, то вполне позволительно свести N-1 координат в одну результирующую координату, а второе измерение образуется N-ной координатой, как показано в выражении (3):
1.2.3.3. Заметим для читателя, что в дальнейшем для иллюстрации будет использоваться дискретный контент состояний, ибо, по мнению автора это будет наиболее выразительно с точки зрения иллюстративности.
1.3. Движение в пространстве состояний
Объект, подвергаемый изучению, не только существует в пространстве состояний, но и движется в нем. Движение в пространстве состояний несколько отличается от привычного для нас движения объектов в пространстве, ибо не всегда подразумевает физическое перемещение объекта в Евклидовом пространстве.
Движение объекта в пространстве состояний в общем случае отражает процесс изменения состояния объекта.
Движение в пространстве состояний может быть вызвано различными причинами — целенаправленным или случайным воздействием окружающего мира, воздействием системы управления объекта, различного рода трансформациями и модификациями самого объекта.
Но каковы бы не были причины, вызывающие движение рассматриваемого объекта в пространстве состояний, состояние рассматриваемого объекта, очевидно, изменяется в результате изменения текущих значений параметров объекта.
Таким образом, напрашивается вывод — чтобы вызвать смещение объекта в пространстве состояний, следует произвести соответствующее изменение значений параметров объекта, то есть необходимо воздействовать на параметры.
Полученный вывод позволит в дальнейшем, при помощи пространства состояний, свести анализ объектов к анализу параметров объектов.
Остальные аспекты пространства состояний объектов и движения объектов в указанном пространстве рассматриваются ниже.
1.3.1. Векторы смещения, цели, коррекции и новых устройств, минимальный уровень воздействия.
Как указывалось ранее, при воздействии на объект со стороны окружающей среды или системы его управления объект переходит в другое состояние. Между начальным и конечным состояниями в пространстве состояний образуется некоторое расстояние, которое будем именовать смещением. Величина смещения может быть исчислена с помощью вектора, который образуется как направленный отрезок между начальным и конечным состояниями объекта.
1.3.1.1. Одиночное воздействие
Обратимся к рисунку 5.
На рисунке изображено смещение объекта из состояния A (Xa, Ya) в состояние B (Xb, Yb) в результате одиночного воздействия.
При переходе объекта из одного состояния в другое соответствующим образом изменяются значения его параметров, впрочем, верно и обратное утверждение.
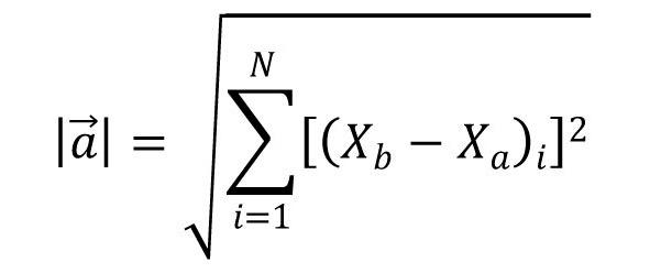
Величина смещения определяется длиной отрезка [AB].
В свою очередь, при учете направления смещения, отрезок [AB] становится вектором {a}, длина которого определяет величину смещения, а направление вектора {a} определяет направление смещения рассматриваемого объекта в пространстве состояний.
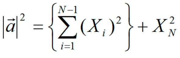
Длина вектора {a} определяется как сумма квадратов разниц начальных и конечных координат смещения по всем параметрам, т.е.:
где Xb и Xa — соответственно конечные и начальные значения i-того параметра, количество которых составляет N.
Формула (4.1) позволяет определить величину смещения объекта в пространстве состояний в общем случае.
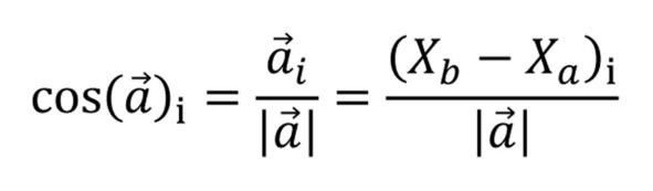
Формула (4.2) позволяет определить направление смещения объекта в пространстве состояний в общем случае:
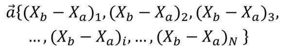
Как любой вектор, вектор смещения обладает определенными координатами. Как видно из рисунков 6, формул (1—4), правил сложения векторов (если начальное и конечное состояния изобразить в виде соответствующих векторов) координаты вектора смещения определяются как разница начальных и конечных значений соответствующих параметров, т.е. можно записать выражение (5) для вектора смещения:
где Xb и Xa — соответственно конечные и начальные значения i-того параметра, количество которых составляет N.
Рисунок 6.1 иллюстрирует ситуацию, при которой вектор смещения исходит из точки А, переводя объект в состояние В. Оба эти состояния представлены, в данном случае, векторами {OA} и {OB} соответственно, вектор смещения — это вектор {a}. Сложение по правилу треугольника векторов {OA} и {a} дает вектор {OB}. Координаты вектора смещения определяются выражением (5).
Рисунок 6.2. иллюстрирует ситуацию, при которой вектор смещения {a} умозрительно перенесен в начало координат с сохранением длины и направления вектора (параллельный перенос). При таком переносе сохраняются и величины проекций вектора смещения на координатные оси, которые, будучи исчислены относительно начала системы координат, являются собственно координатами вектора смещения. Результатом сложения вектора {OA} и вектора смещения {a} по правилу параллелограмма дает все тот же вектор {OB}. Этот факт позволяет утверждать, что координаты вектора смещения, расположенного там, где ему полагается быть, и координаты вектора смещения, перенесенного в начало координат тождественны друг другу. Таким образом, координаты вектора смещения {a}, полученные в выражении (5), тождественны истинным координатам.
Заметим, что для нормализованных параметров этот вывод достигается, в общем-то, автоматически.
1.3.1.2. Множественные воздействия
При наличии нескольких источников воздействия на объект последний будет совершать движение в пространстве состояний, которое (движение) должно включать в себя ту или иную реализацию всех воздействий.
Рассмотрим два полярных случая:
— на рисунке 7.1 на объект, изначально находящийся в состоянии А, оказываются последовательные воздействия, т.е. каждое следующее воздействие инициируется после реализации смещения от предыдущего воздействия,
— на рисунке 7.2 на объект, находящийся в состоянии А оказывается несколько воздействий одновременно (для наглядности величина и количество воздействий совпадает с предыдущим вариантом).
Как видно из рисунка 7.1 на объект, находящийся в состоянии А, последовательно оказываются воздействия, приводящие к появлению векторов смещения {a}, {b} и {c} соответственно. В результате такого движения в пространстве состояний объект переходит в состояние В, вектор {OB} является результатом сложения векторов по правилу треугольников исходного вектора {OA} и совокупного вектора смещения {d} = {a} + {b} + {c}.
На рисунке 7.2 на объект оказывается сразу несколько воздействий, каждое из которых вызывает соответствующее смещение {a}, {b} и {c} соответственно. Можно убедиться, что если сложить векторы смещения по правилу параллелограмма, а потом результирующий вектор смещения {d} сложить с вектором исходного состояния {OA} либо по правилу треугольника, либо, предварительно параллельно сместив его в центр координат, сложить по правилу параллелограмма, мы получим вектор конечного состояния {OB}, который, при совпадении частных векторов смещения {a}, {b} и {c} в обоих случаях воздействия, тождественен вектору {OB}, полученного при последовательны воздействиях, см. рисунок 7.1.
Полученные результаты позволяют сделать тот вывод, что при движении объекта в пространстве состояний в результате множественного воздействия характер воздействия (параллельный, последовательный или смешанный) на объект не имеет значения для образования результирующего вектора смещения.
1.3.2. Управляющие воздействия
Управляющие воздействия, как и любые другие воздействия, вызывают смещение объекта в пространстве состояний на ту или иную величину, в зависимости от величины воздействия.
Единственным отличием управляющего воздействия от любого другого является то, что управляющее воздействие всегда, независимо от того является ли оно внешним или внутренним, целенаправленно (правда не всегда удается эту цель достичь, да и система управления не всегда корректно определяет целевое состояние и/или вырабатывает управляющее воздействие).
Поэтому в представленных материалах автор не будет выделять особым образом, если того не требует существо вопроса, управляющие воздействия из всей совокупности воздействий.
1.3.3. Корректирующие воздействия.
Необходимость в коррекции состояния появляется тогда, когда объект при перемещении в пространстве состояний под действием управляющего воздействия не достигает целевого состояния. Обычно такая ситуация возникает при наличии неучтенных воздействий на объект или неучтенных свойств объекта, которые и приводят к появлению ошибки при движении объекта к какой-либо цели. При этом неучтенные факторы могут действовать равно в точке старта, в точке финиша, на этапе движения от состояния к состоянию.
На рисунке 8.1 целевое состояние обозначено литерой В, а состояние, в которое на самом деле переместился объект, в дальнейшем будем называть реализованным состоянием, обозначено литерой В1. Между точками образуется смещение (вектор {BB1}), собственно являющееся ошибочным смещением.
Для того, чтобы объект оказался все-таки в требуемом состоянии, на него необходимо оказать некоторое воздействие, в первом приближении равное ошибочному смещению, для компенсации последнего, т.е. оказать дополнительное управляющее воздействие на объект.
На рисунке 8.2 показан вектор корректирующего воздействия (вектор {B1 B}), который переместит объект в целевое состояние В.
Очевидно, что такой подход позволяет считать корректирующее воздействие формой управляющего воздействия.
Теперь обратимся к рисунку 8.3. На этом рисунке вектор корректирующего воздействия {a} (смещения) был параллельно перемещен в начало координат. При сложении по правилу параллелограммов результат воздействия будет тот же, но полученная конфигурация векторов позволяет нам воспринимать корректирующий вектор как некий добавочный объект (или корректирующий объект), параметры которого тождественны его координатам, а сам он, будучи присоединен к основному объекту, позволит последнему достичь желаемого состояния (практически агент влияния).
Заметим, что этот вопрос (влияние объектов друг на друга) будет рассмотрен позже и подробнее, сейчас же ограничимся только обозначением существования такого фактора.
Таким образом, на настоящем этапе корректирующие воздействия можно рассматривать как частный случай управляющих воздействий, не забывая о возможности существования корректирующих объектов.
1.3.4. Вектор цели.
Как указывалось ранее, при оказании воздействия на объект, как со стороны его системы управления, так и со стороны сторонних объектов, означенный объект совершает движение в пространстве состояний.
Перед началом движения, если это разовый акт, либо перед каждым переходом в новое состояние при многоэтапном движении, объектом формируется направление перемещения и прогноз конечного состояния.
Прогнозируемое конечное состояние принято называть целью или задачей.
Между этими терминами, по мнению автора, существует определенное различие, заключающееся в том, что достижение цели осуществляется посредством решения задач. Из сказанного можно сделать тот вывод, что целью следует именовать то состояние, в которое в конечном итоге должен переместиться объект, а задачами следует именовать все промежуточные состояния, которые объект последовательно принимает на пути к целевому состоянию.
Заметим, что набор решаемых задач по пути к цели образует траекторию движения объекта в пространстве состояний, либо алгоритм достижения цели.
Как ранее указывалось, движение в пространстве состояний может быть одноактным процессом и многоэтапным. В первом случае вектор цели непосредственно указывает на конечное состояние, во втором случае кроме основного вектора цели существуют промежуточные векторы, определяемые выбранным алгоритмом прохода по пространству состояний. Эти векторы локальных целей более правильно именовать векторами задач.
На рисунке 9 изображена эта ситуация. Вектор {AB} является целевым вектором, а остальные векторы — векторы задач. Со всей очевидностью можно отметить, что вектор цели является суммой векторов задач.
Направление перемещения совпадает либо с вектором воздействия при одиночном воздействии, либо совпадающее с суперпозицией воздействий при множественном воздействии.
Прогноз конечного состояния определяется направлением предполагаемого смещения и силой воздействия.
Таким образом, вектор цели (вектор задачи) можно считать отображением воздействия на объект. Более того, векторы воздействия и векторы цели можно рассматривать как разные ипостаси (дуализм) одного и того же явления.
Поэтому, примем как очевидное, что с вектором цели можно производить такие же манипуляции, что и с вектором воздействия.
Следует отметить, забегая несколько вперед, что существуют объекты, которые можно считать разумными или, более скромно, самоуправляющимися. Основной отличительной особенностью таких объектов можно считать способность самостоятельно, исходя из оценки окружающей действительности, формировать для себя цели и определять задачи, способствующие достижению назначенных целей.
В дальнейшем, исходя из целей и задач, система управления такого объекта формирует воздействия на сам объект и, если требуется, индуцирует воздействие со стороны окружающей среды, которых (воздействий) должно хватить для решения задач и достижения цели.
Таким образом, можно наблюдать обратный дуализм между воздействием и целью, т.е. не воздействие определяет цель, а цель определяет воздействие.
Но, думается, указанная ситуация лишь подтверждает наличие взаимообусловленности цели объекта и воздействия на объект.
Более того, обычно на практике любой самоуправляющийся объект не только сам ставит перед собой цели, но и вынужден реализовывать сторонние воздействия, например: пинок товарища, если не успел увернуться, вполне четко и недвусмысленно определит направление предстоящего движения, либо суровый приказ жены/тещи, равно как и нытье детей, которые можно считать формой стороннего воздействия, заставляет субъекта (по традиции разумные объекты принято именовать субъектами) воспринимать этот процесс как источник цели.
Отметим в конце данного раздела, что изложение вопроса вектора цели проводилось без учета факторов, приводящих к появлению ошибочных смещений, так как, по мнению автора, учет таковых воздействий не внесет принципиальных изменений в понимание вопроса.
И в заключение дадим определение вектора цели:
Вектор, проложенный в пространстве состояний объекта между текущим состоянием и прогнозируемой целью, будет в дальнейшем именоваться вектором цели.
1.3.5. Величина воздействия. Результат воздействия.
При оценке величины воздействия на объект следует исходить из того допущения, что воздействие в параметрическом пространстве состояний может быть отображено в виде некоторого вектора либо как некоторый объект, имеющий вполне конкретные значения координат.
При таком подходе модуль вектора может быть показателем величины воздействия, а направляющие косинусы могут определять направление воздействия в собственном пространстве состояний данного воздействия.
Как отмечалось ранее, объект также описывается набором параметров, определяющих его пространство состояний. При этом набор параметров воздействия может совпадать с набором параметров объекта воздействия, но может и не совпадать (полностью или частично).
При частичном несовпадении набор параметров воздействия может быть или подмножеством набора параметров объектов, или имеется ненулевое пересечение наборов параметров воздействия и объекта.
В этих случаях будет уместно говорить не просто о формальной величине воздействия, а о рабочей величине воздействия или о действующем воздействии (извините за некоторую тавтологию) на данный объект, так как воздействие может (но необязательно будет) производиться только по параметрам, имеющим общность или сродство (или, как говорят в биохимии, являющимися лигандными), именуемыми в дальнейшем общими параметрами (часто параметры, участвующие в организации воздействия, именуются в обычной жизни зоной, областью или группой контакта).
Если имеется ненулевое пересечение параметров воздействия и объекта, то можно говорить о проекции воздействия на объект и рассматривать уже проекцию полнопространственного воздействия в качестве действующего воздействия на анализируемый объект.
При полном несовпадении параметров воздействия и объекта невозможно говорить о наличии воздействия на анализируемый объект.
Для оценки величины воздействия на объект, при неполном совпадении контентов воздействия и объекта, следует исходить из того, что воздействие является разновидностью взаимодействия, поэтому воздействие полностью реализуется в тот момент, когда не только имеются наборы общих параметров, обеспечивающих принципиальную возможность воздействия, но и значения параметров анализируемого объекта и средства воздействия совпадут. Если воздействие и объект не имеют общих параметров, то взаимодействие не произойдет. Если, при наличии общих параметров, невозможно уравнивание значений общих параметров, то и в этом случае не произойдет взаимодействие.
Поэтому в качестве величины воздействия на объект представляется возможным принять модуль вектора, построенного на параметрах, по которым не только возможно воздействие на объект, но и имеется совпадение значений параметров. Возникающие при этом направляющие косинусы определят направление воздействия на объект, т.е. целевой вектор (этот вектор существует в пространстве состояний объекта).
В результате воздействия на анализируемый объект последний претерпит те или иные изменения, проявит ту или иную реакцию. Величина изменений, определяемых векторным образом, может оказаться не равной изначально рассчитанной величине воздействия, что позволяет рассматривать результаты воздействия в качестве отдельного фактора, требующего своей оценки.
Результат воздействия определяется не только величиной воздействия, но и поведенческой реакцией объекта в период существования воздействия.
При этом процесс взаимодействия объекта и воздействия может происходить в несколько этапов:
— подготовка к взаимодействию;
— период непосредственного воздействия;
— период после снятия воздействия.
До начала воздействия не все значения, как указывалось ранее, общих параметров объекта и субстрата (носителя, источника или переносчика) воздействия могут совпадать. Поэтому процессу полноценного воздействия может предшествовать, хотя бы в качестве попытки, процесс сближения значений параметров объекта и средства воздействия. Этот процесс представляет собой смещение объекта в пространстве состояний либо абсолютное, при сохранении состояния источника воздействия, либо относительное, при взаимном изменении состояния объекта и источника воздействия.
Величина и направление смещения, необходимого для достижения более полного контакта между источником воздействия и объектом, могут быть приняты в качестве первого слагаемого в оценку интегрального (обобщенного) результата воздействия.
В качестве замечания следует отметить, что сближение источника воздействия и объекта не могут происходить при полном неведении участников событий относительно друг друга. Это означает, что процесс сближения должен последовать за началом частичного взаимодействия либо участники должны иметь, оба или хотя бы один из участников, какую-либо информацию о своем партнере по контакту, что подразумевает, в свою очередь, существование на этапе, предваряющем рассматриваемое воздействие, прямого или опосредованного взаимодействия любого плана, в том числе и информационного.
Но на факте уравнивания значений параметров воздействия и объекта (что можно полагать подготовкой к взаимодействию) процесс воздействия не заканчивается.
За период существования непосредственного воздействия могут изменить свое значение не только параметры-рецепторы (следует отметить, при этом, что несогласованное изменение значений параметров-рецепторов может привести к прекращению взаимодействия или его изменению), но и другие параметры объекта. В этом случае результат воздействия будет равен величине смещения объекта в параметрическом пространстве за период непосредственного воздействия. При этом смещение объекта может быть:
— пассивным, т.е. при отсутствии воздействия системы управления или отсутствии самой системы управления, либо при незначительности воздействия системы управления, влиянием которого на смещение объекта можно пренебречь. В этом случае величина смещения за период воздействия будет адекватна величине воздействия;
— активным, т.е. под значимым управлением собственной системы управления, что естественным образом корректирует направление и величину смещения объекта, являясь, по сути, еще одним воздействием на изначально пассивный объект. Под значимостью воздействия системы управления понимается то, что сила воздействия системы управления на объект в период непосредственного воздействия внешнего источника (или другого источника, не являющегося системой управления) не может быть не учтена;
— трансформационным. Такое движение имеет место, когда воздействие на объект становится разрушительным или синтезирующим, либо происходит вырождение или усложнение объекта. Разрушение или синтез в общем случае характеризуются прекращением существования изначально анализируемых объектов с потерей взаимодействия с источником воздействия и появлением новых объектов-наследников, имеющих собственные, присущие только им, наборы параметров и интервалы допустимых значений. Вырождение или усложнение объектов в общем виде сопровождается изменением набора параметров и интервалов допустимых значений параметров существующих анализируемых объектов без потери, скорее всего, взаимодействия с источником воздействия. Трансформационное движение является переходом в пространстве состояний, хотя и со своей спецификой в каждом случае. Если рассматривать движение трансформируемого объекта в собственном пространстве состояний, то движение вырождающегося или усложняющегося объекта сопровождается соответствующим изменением характеристик пространства состояний и контента состояний объекта. В то же время, разрушение или синтез объекта прежде всего сопровождается исчезновением собственного пространства состояний анализируемого объекта (аналогия с коллапсом) и появлением новых собственных пространств состояний со своими специфичными параметрами для вновь образуемых объектов со своими специфичными контентами состояний, в рамках которого они совершают то или иное инерционное после воздействия движение (либо испытывают новое воздействие). В рамках обобщенного пространства состояний (тяготеющего к глобальности) модификация объектов (усложнение или вырождение) выглядит как перемещение объекта из одной части обобщенного пространства в другую с возможным изменением набора параметров и интервалов доступных значений. Разрушение или синтез объектов в обобщенном пространстве состояний будут выглядеть несколько иным образом: непосредственное воздействие на исходный объект или объекты сохраняется до тех пор, пока существует хотя бы минимальная связь с параметрами реципиентами исходных объектов; существует определенная трудность в фиксации этого момента, так как в процессе трансформации объекты так или иначе изменяются, поэтому для упрощения анализа можно принять в качестве периода непосредственного воздействия (если оно не прекратилось раньше по индивидуальной или взаимной инициативе источника воздействия и объекта) период однозначной фиксации наблюдаемых объектов как исходных, т.е. до наступления момента дезинтеграции или начала слияния; дальнейшее изменение объектов, слияние или разрушение, является либо инерционным, либо имеет место случай непосредственного воздействия уже на объекты-наследники; в момент фиксации прекращения существования исходных объектов они в обобщенном пространстве состояний совершают моментальный (фазовый) переход в нулевую точку пространства состояний (происходит обнуление исходных объектов), а объекты-наследники совершают моментальный переход из нулевой точки в ту точку пространства, в которой начнется их существование и определяются их собственные наборы параметров и контенты состояний. Смещение модифицируемых объектов в период непосредственного воздействия должно рассматриваться как результат воздействия, при потере взаимодействия объекта и источника воздействия величина смещения становится слагаемым в интегральную оценку результатов смещения. Совокупное векторное движение предшествующих объектов в нулевую точку и объектов-наследников к своему новому стартовому состоянию также должно быть присовокуплено в интегральный результат воздействия, так как это движение происходит уже после потери взаимодействия источника воздействия и объекта, ввиду того, что исходный объект в этот момент обнулился. В интегральный результат можно также отнести и инерционное движение наследников после их образования (или инерционную составляющую движения, если на наследников оказывается какое-либо дополнительное воздействие).
При снятии воздействия с объекта последний может или продолжить свободное (при отсутствии каких-либо воздействий) затухающее движение в параметрическом пространстве, или может произвести возвращение на исходные позиции или в направлении исходных позиций, поэтому, по всей видимости, величину инерционного (или коррекционного, или компенсирующего) смещения следует внести в качестве слагаемого в интегральный результат воздействия.
Следует отметить, что инерционное смещение, не сопровождающееся ускорением, может рассматриваться как процесс, если этого требует решаемая задача, но в других случаях, для удобства анализа, описание такого движения следует преобразовать в набор статичных параметров — изменение координат (в частности, евклидовых или географических) можно преобразовать в статичные скорости по направлениям.
Если объект испытывает множественные воздействия, то общая величина воздействия, равно как и их общий результат, будет определяться векторным сложением отдельных воздействий и результатов.
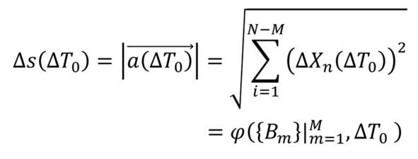
Если удается зафиксировать устойчивую связь между величиной воздействия и результатом воздействия в период непосредственного воздействия, то можно говорить о выявленной поведенческой функции объекта (6, 6.1):
Выражение (6) показывает, что величина смещения объекта (обозначенная в соответствии со строкой 2 таблицы 1) в пространстве состояний за период непосредственного воздействия (обозначенного в соответствии со строкой 3 таблицы 1, далее по тексту будет просто указываться номер строки таблицы 1 в формате см. к/1, где к — номер строки, 1 — номер таблицы) по всем параметрам, по которым не происходит взаимодействия (N — M), определяется всей совокупностью параметров M воздействия, по которой (совокупности параметров) происходит взаимодействие объекта и источника воздействия.
Это означает, что за период непосредственного воздействия, пока имеет место взаимный захват параметров-реципиентов объекта и соответствующих параметров источника воздействия, остальные параметры меняют свое состояние на величину, определяемой проекцией поведенческой функции на соответствующий параметр.
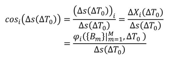
Величина направляющих косинусов смещения определяется проекциями поведенческой функции на соответствующие параметры объекта.
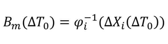
Если существует обратная функция для выражения (6), то выражение (7) определяет величину воздействия для параметра, которое обеспечит за период непосредственного воздействия (см. 3/1) по всем параметрам (N– M) необходимое смещение (см. 4/1) объекта:
В заключение раздела автор полагает необходимым ввести несколько дополнительных показателей:
1. Абсолютное единичное воздействие. Это воздействие, модуль вектора которого, исчисленный по всем параметрам, равен единице.
2. Действующее единичное воздействие. Это воздействие, модуль вектора которого, исчисленный по тем параметрам, по которым осуществляется взаимодействие между источником воздействия и объектом, равен единице.
3. Единичное параметрическое воздействие. Это проекция воздействия на параметр, по которому осуществляется воздействие, причем длина проекции равна единице шкалы измерения данного параметра. Очевидно, что если по всем M параметрам, поддерживающим взаимодействие, имеет место единичное параметрическое воздействие, то величина самого воздействия определяется выражением (8):
В отличие от воздействий из предыдущих двух пунктов, которые могут быть получены в результате неограниченного количества комбинаций значений параметров, данный вид воздействия (8) имеет единственный вариант своего получения и, поэтому, в дальнейшем будет использоваться именно этот вариант, именуясь при этом либо обобщенное единичное параметрическое воздействие, либо единичное воздействие.
4. Инерционная временная характеристика (ударение на последний слог) параметра (постоянная времени параметра), см. 5/1. Это период времени, который необходим параметру объекта для изменения своего значения на единицу (по принятой для данного параметра шкалы измерения) при наличии единичного параметрического воздействия.
5. Постоянная времени объекта, см. 6/1. Это период времени, необходимый объекту для смещения в пространстве состояний на единичную длину при наличии единичного параметрического воздействия по всем параметрам объекта. Представляется вполне очевидным, что объект полностью перейдет в целевое состояние тогда, когда требуемое значение примет самый медленно перестраивающийся из параметров, то есть в качестве показателя можно принять максимальную величину из всех вариантов значений постоянной времени параметров (9):
1.3.6. Минимально необходимая величина воздействия. Стартовое воздействие.
Под минимально необходимой величиной воздействия будет пониматься та величина воздействия, которая обеспечивает решение поставленной задачи без учета иных воздействий.
Под стартовым воздействием будет пониматься величина воздействия, обеспечивающая начало движения объекта.
Необходимость оценки этого фактора вполне может вставать как перед источниками внешнего воздействия, так и перед системами управления объекта.
Расчет или оценка минимально необходимой величины воздействия производится на основании выражений (6) и (7).
Вопрос оценки минимально необходимого воздействия может иметь место для объектов любого рода, но со своими нюансами.
В случае объектов, имеющих хотя бы один дискретный параметр, как указывалось ранее и показано на рисунках 3.2 и 3.3, контент состояний объекта становится либо дискретно-непрерывным, либо дискретным, если все параметры являются дискретными.
При этом между отдельными состояниями, для полностью дискретного варианта контента, или изолированными областями непрерывных субконтентов (для дискретно-непрерывных контентов) появляются разрывы, протяженность которых определяется шагом дискретности параметров.
Следует отметить что, в результате проведения нормализации параметров, шаг дискретности для любого дискретного параметра численно равен единичному значению данного параметра.
Изменение значений дискретных параметров требует преодоления разрывов между значениями этих параметров. В интервалах между значениями параметров объект не может находиться, так как разрешенными значениями параметров для объектов с дискретными параметрами являются только эти значения.
Обычно переход по дискретному параметру осуществляется на одно деление шкалы или несколько делений шкалы параметра.
По различным причинам могут возникать случаи, когда величины воздействия чуть-чуть не хватает для достижения цели.
Если, при этом, требуется переход на одно деление шкалы параметра, то такой переход не состоится.
Если величина воздействия недостаточна для перехода в требуемое состояние, расстояние до которого больше единичного перехода, то переход будет осуществлен до ближайшего, гарантированного величиной воздействия, к цели значения параметра. При этом может иметь место остаточное воздействие, недостаточное для преодоления одного дискретного интервала. Остаточное воздействие, если таковое вообще будет иметь место, недостаточное для перехода в соседнее состояние, скорее всего не будет реализовано в рамках изменения значений данного параметра (но вполне может быть реализовано в других направлениях, если объект обладает системой управления и возможности системы управления позволяют перенаправить остаточное воздействие на изменение других параметров).
Из сказанного следует, что дл
