Микрокристаллик целлюлоза технологияси
Қосымшада ыңғайлырақҚосымшаны жүктеуге арналған QRRuStore · Samsung Galaxy Store
Huawei AppGallery · Xiaomi GetApps

автордың кітабын онлайн тегін оқу  Микрокристаллик целлюлоза технологияси

Д. Ш. Хамдамова
В. К. Умарова
М. Т. Примкулов

Микрокристаллик целлюлоза технологияси

Шрифты предоставлены компанией «ПараТайп»



Благодарности:

Хамдамова

Умарова




18+

Оглавление

Д. ҲАМДАМОВА, В. УМАРОВА, М. ПРИМҚУЛОВ
МИКРОКРИСТАЛЛИК ЦЕЛЛЮЛОЗА ТЕХНОЛОГИЯСИ
Монография
Олиниши Хоссалари
Қўлланилиш соҳалари
ТОШКЕНТ — 2021

Ҳамдамова Д., Умарова В., Примқулов М.

Микрокристаллик целлюлоза технологияси [Матн]: монография

/Д. Ҳамдамова, В. Умарова, М. Примқулов. Тошкент 2021.


Илмий муҳаррир:

Ғ. Раҳмонбердиев — Россия ФА мухбир аъзоси


Тақризчилар:

И. А. Набиева, т.ф.д, Тошкент тўқимачилик ва енгил саноат институти «Кимёвий технология» кафедраси профессори.

Р. И. Адилов, т.ф.д, профессор. Тошкент кимё-технология институти кафедра мудири.

Монографияда доривор, полиз ва сабзавот ўсимликлар поясидан шунингдек, пахта, ёғочдан целлюлоза ва унинг структуравий ўзгариши бўл- ган микрокристаллик целлюлоза (МКЦ), наноцеллюлоза олиш усуллари, фи- зик-кимёвий хоссалари ҳамда қўллаш соҳалари анализи таҳлил қилинган. Янги хом ашёдан МКЦ олиш ва унинг хоссаларини ўрганиш бўйича олиб борилган экспериментал ишлари ҳам умумлаштирилган. Монография тех- ника олий ўқув юртларида целлюлоза технологияси соҳаси бўйича таълим олаётган бакалавр, магистр ва докторантлар учун мўлжалланган.

В монографии проанализированы технологии микрокристаллической наноцеллюлозы из хлопковой и древесной целлюлозы и целлюлозы получен- ной из стебля лекарственных растений и бахчевых культур. Обобщены результаты экспериментальных исследований авторов по получению МКЦ из альтернативного сырья. Она рассчитана для бакалавров, магистров и докторантов специализирующихся в области получения и переработки целлюлозы.

Д. Ҳамдамова, В. Умарова, М. Примқулов, 2021

ГЛОССАРИЙ

МКЦ — микрокристаллик целлюлоза ПЦ — порошокли целлюлоза

ПД — полимерланиш даражаси

НММО — N — метилморфолин — N — оксид НКЦ — нанокристаллик целлюлоза

МКФ — микрофибрилланган целлюлоза НФЦ — нанофибрилланган целлюлоза ТПЦ — толали порошок целлюлоза

ТШ — техник шартлар ИҚ — инфрақизил

НМЦ — надмолекулярная структура (устмолекуляр целлюлоза) СВЧ — свет высокочастотной (юқори частотали нурланиш) ГПК — гетерополикислота

УЗ — ультразвук (ультра товуш) КМЦ — карбоксилметилцеллюлоза РЭМ — растерли электрон микроскоп АСМ — атомносиловой микроскоп

Ц — целлюлоза

ВПП — винил полипирролидон

К И Р И Ш

Целлюлоза Ер шарида кенг тарқалган табиий полимер ва- килларидан бири ҳисобланади. Табиий ресурс ҳисобланган целюлозанинг миқдори бир триллион тоннага етади. Бундан ташқари, биосинтез натижасида бу масса табиатда ҳар йили тахминан 100 млрд тоннадан ортиб боради [1]. Целлюлоза Ер юзидаги барча ўсимликлар таркибида, шу жумладан, баъзи сув ости ўсимликларида ҳам мавжуд. Ҳатто баъзи жониворларда (қисқичбақа туркумли, тошбақа, шиллиқурт) қобиғи таркибида учрайди. Булардан ташқари, кимёвий соф целлюлозани баъзи микроорганизмлар синтез қилади1.

Асосий целлюлоза манбаи ер усти ўсимликларидир. Ўтси- мон ўсимликлар таркибида целлюлоза 30—40%, ёғочда 45—50%, луб толаларида (зиғир, рами, каноп, жут ва б.) 60—70%, пахта то- лаларида эса 90% дан юқори. Целлюлоза табиий тугамайдиган полимер бўлиб, у турли-туман, ўхшаши йўқ материал ва мод- далар ишлаб чиқариш учун қимматбаҳо хом ашё ҳисобланади.

Дастлаб француз кимёгари Ансель Пайен 1838 йили ёғоч қи- пиғи ва пайрахага кимёвий ишлов бериш жараёнида толали ҳу- жайраларни ажратиб олишга муваффақ бўлади. У ҳужайралар- ни «целлюлоза» деб номлаган. Целлюлоза термини кимё фани ва технологиясида муқим сақланиб келинмоқда [2].

Олимлар целлюлоза толаларини механик, кимёвий усул- ларда майдалаб, сиртмолекуляр тузилишини поли молекуляр (структурасини) ўзгартириб, турли мақсадлар учун материал- лар олиш усулларини ишлаб чиқмоқдалар. Жумладан, кимёв- ий усулда чуқур гидролизга учратиб, майдаланган толали цел- люлоза микрокристаллик целлюлоза (МКЦ), механик куч таъ- сирида майдаланганлари — толали порошокли целлюлоза (ПЦ) деб номланади. МКЦга қўшимча кимёвий ва физикавий кучлар


1 Gluconacetobacter xylinus (М.Я.Иолович. ВМС, Сер А.2016,58 (6),604—624).

таъсир этиб, ўта майда заррачалар кўринишига келтирилган маҳсулотни наноцеллюлоза (НЦ) деб номлаш 1974 йили Норио Тиангучи томонидан таклиф этилган. МКЦ, ПЦ ва НЦ ларнинг полимерланиш даражаси аввалги структуравий кўринишдаги (целлюлоза) дан бир неча баробар кичик эканлиги хоссаларида ҳам катта фарқ борлиги аниқланган [3].

Майда толали порошок кўринишига келтирилган целлюлоза 1956 йилдан бошлаб саноат миқёсида ишлаб чиқарила бош- ланган. Гранула кўринишда ишлаб чиқариш эса 1967 йилдан бошланган. Дастлаб, порошок кўринишдаги целлюлоза моди- фикацияланган пахта целлюлозасидан олиниб, косметика, озиқ- овқат, тиббиёт ва фармацевтика саноатида қўлланила бошлан- ган. Ҳозирги кунда МКЦ структуравий агент, қуюқлаштирувчи, эмульгатор ва стабилизатор ўрнида, овқатни ҳазм қилишда дағал толалар ўрнида фойдаланилмоқда. МКЦни олиш ва қўллаш усуллари бўйича кўплаб адабиётларда мавжуд [4—8]. Асосан, МКЦни пахта, ёғоч ва қисман, нодарахт ўсимликлардан олин- ганлиги бўйича маълумотлар келтирилган. Микрокристаллик целлюлозанинг ўзига хос хоссаларини ҳисобга олиб, олимлар уни XXI асрнинг истиқболли материали деб ҳисобламоқдалар. Дунёда 2017 йили 900 миллион долларлик, 2025 йилга келиб эса 1451миллион долларлик МКЦ ишлаб чиқариш мўлжаллан- моқда, бунда ўсиш даражаси 2018 — 2025 йилларда 5,5% ни таш- кил этади**2. Дунёда МКЦ га бўлган талаб юқори. Масалан, Россия йилига 2500 т МКЦни қатор мамлакатларга (Германия — 46%, АҚШ — 26%, Ҳиндистон — 10%, Хитой — 8% бошқа мам- лакатлардан — 10%) импорт қилади.

Дунёда ишлаб чиқарилган МКЦнинг яримидан кўпи фарма- кологияда қўлланилади.

Монографияда пахта ва ёғоч целлюлозаларидан, шунингдек, доривор, полиз ҳамда сабзавот ўсимлик пояларидан ҳар хил


2 Microcrystalline Cellulose (MCC) Market by Source Type and Application: Global Opportunity Analysis and Industry Forecast 2018 –2025 / Allied Market Research. Portland, October 2018. –212 pp.

мақсадлар учун ПЦ, МКЦ, НЦ олиш, унинг физик ва физик- кимёвий хоссаларини ўрганишга бағишланган. Монографияни Олий таълим тизимида целлюлоза технологияси мутахассисли- ги бўйича таҳсил олаётган бакалавр, магистр ва докторантлар, шунингдек, соҳа инженер техниклар учун фойдали, деб ҳи- соблаймиз.

I боб. ЦЕЛЛЮЛОЗА

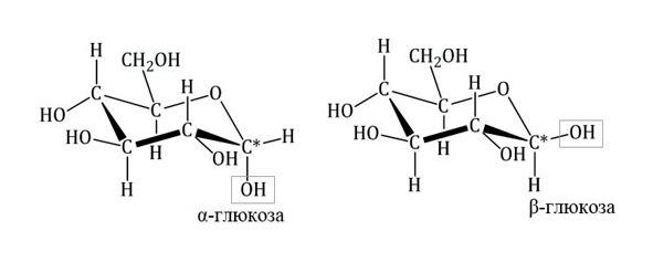
Целлюлоза — органик бирикма, у юқори молекулали углерод (полисахарид) бўлиб, асосий қисми ўсимлик девори — ҳужайра- ларидан ташкил топган. У ўсимлик тўқималарига мустаҳкам- лик ва эластиклик хусусиятини беради. Целлюлоза чизиқли стреорегуляр, яримкристалл полисахарид, унинг макромолеку- ласи D-глюкопиранозалардан ташкил топган бўлиб, «эгар» кон- формация кўринишида бир-бири билан 1,4-β-гликозид боғлари билан «бош-оёқ» типида туташган. Водород боғлари ёрдами- да молекуляр занжир ҳосил қилади. Қисқартирилган кимёвий

формуласи (С6Н10О5) n ёки элементар звеноси — [С6Н7О3 (ОН) 3] n кўринишда ёзилади. Ўз навбатида винт ўқи бўйлаб 10,3Å тар- тибланган, структура формуласи қуйидаги кўринишларда ифо-

даланади:

Элементар звеносини молекуляр массаси 162,1406 г/моль; зичлиги 1,53—1,55 г/см3; классификацияси — органик модда; ранги оқ. Целлюлоза полисахаридлар туркумига киради. Пахта целлюлозанинг полимерланиш даражаси 20000—30000 гача ети- ши мумкин. Пахта целлюлозани ажратиб олиш ва оқартириш натижасида унинг полимерланиш даражаси 1500—2000, ёғоч целлюлозаники эса 800 — 1200 гача пасаяди.

Полисахаридлар

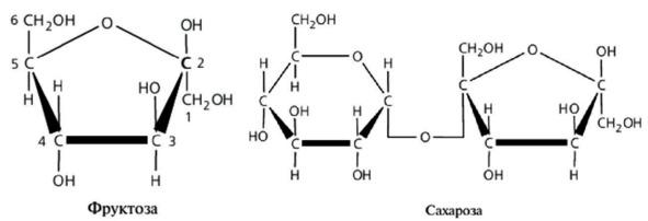
Полисахаридлар — юқори молекулали углеводлар, мо- лекулалари чизиқли узун ёки тармоқланган занжирсимон глюкозид боғлари билан бириккан моносахарид қолдиқлар- дир. Гидролиз натижасида моносахаридлар ёки олигосаха- ридлар ҳосил бўлади. Полисахарид, унинг макромолекуласи β-D-глюкопиранозанинг элементар звеносидан ташкил топган бўлиб, 1 — 4 глюкозид боғлари билан боғланган:

Полисахаридлар тирик организмда захира (крахмал, глико- ген), структура (целлюлоза, хитин) ва бошқа функцияларни ба- жаради.

Полисахаридлар ёғочсимон целлюлоза таркибли ўсимлик- ларни гидролизлаш натижасида ҳам ҳосил бўлади. Мисол учун, ёғочга кислота билан ишлов бериш жараёнидаги полисахарид- ларни гидролизланиш механизми.

Ёғочнинг осон ва қийин гидролизланувчи полисахарид- лари

Полисахаридлар макромолекуласидаги глюкозид боғлари уларни гидролитик деструкцияга олиб келади. Гидролитик дес- трукция натижасида полисахаридларнинг узилган жойига сув элементи Н ва ОН бирикади. Гидролиз тўла бўлмаганда поли- сахаридларнинг полимерланиш даражаси (ПД) камаяди, барча глюкозид боғлари парчаланганда полисахарид моносахарид- ларга айланади. Глюкозид боғларининг узилган жойларида янги охирги звенолар ҳосил бўлади.

Ёғоч полисахаридларини кислота муҳитида гидролиз- лаш жараёнининг тезлиги иккига бўлинади — осон ва қийин гидролизланувчи. Бу бўлинишга сабаб полисахаридларнинг уст структура тузилишига (надмолекуляр структура) боғ- лиқ. Полисахаридларни суюлтирилган кислота эритмаларида (2—5% НСl, 1000C) гиролизлашда — осон гидролизланувчи; кон- центрланган кислоталарда (70—80% H2SO4 ёки 40—42% НСl, 250C) — қийин гидролизланувчи. Осон гидролизланувчи поли- сахаридларга гемицеллюлоза ва аморф полимерлар киради. Қийин гидролизланувчи полисахаридларга эса целлюлозали гемицеллюлоза, целлюлоза билан кристалланиб қолган пара- кристаллик қисми ва унинг микрофибриллари киради. Қуйида- ги схемада ёғочнинг углеродли қисми ва тўла гидролизланган маҳсулотлари келтирилган.

Полисахаридларнинг муҳим вакиллари — крахмал, инулин, хитин, гликоген.

Крахмал, ўсимликнинг муҳим захира полисахариди ва ка- такли деворининг компоненти ҳисобланади.

Инулин, фруктоза полимери, крахмал ўрнини босувчи диа- бетикларнинг озуқаси ҳисобланади. Бундан ташқари, у буйрак клиренсида назоратловчи модда вазифасини бажаради.

Хитин, N-ацетилглюкозаминани гомополимери, β (1→4) ҳолатда боғланган, у скелетнинг ташқи қобиғидаги майда ҳа- шоратлар (насикомы) ва шиллиқурт кабиларнинг қобиғининг асоси ҳисобланади.

Гликоген, жониворларнинг муҳим захира полисахариди, жи- гар ва мускул таркибида мавжуд. Гликогеннинг синтез қили- нишини ва парчаланишини гормонлар назорат қилади. Толали хом ашёлар (дарахт ва бошқа ўсимликлар) дан целлюлоза қис- мини ажратиб олишда гидролизга учратилади. Гидролиз сувда, ишқорий ёки кислотали эритмаларда олиб борилади. Бу жара- ёнда осон ва қийин эрийдиган полисахарид вакиллари эритма- га ажралиб чиқади. Қуйида целлюлоза олишда поя таркибидан ажралиб чиқадиган полисахаридларнинг вакиллари келтирил- ган.

— Амилоза — салкам тармоқланмаган глюкоза полимери, α (1→4) боғи билан боғланган. Бир неча минг глюкозали қол- диқлардан таркиб топган бўлиши мумкин. Амилоза — амило- пектин билан крахмалдан иборат. Қуйида улардан намуналар келтирилган.

Ксилоза

— Альдопентозлар. Уларда саккизта ҳар хил стереоизомер- лар бўлиши мумкин:

D-рибоза L-рибоза D-ксилоза

L-ксилоза D-ликсоза L-ликсоза



ҳосил бўлади:

Целлюлозанинг тузилиши. Целлюлоза чизиқли гомопо- лимер, D-глюкозиднинг юзлаб ёки ўн минглаб қолдиқларидан таркиб топган. Глюкозалар фрагменти β (1→4) — гликозид боғла- ри орқали боғланган. Бу кўринишдаги мономер звенолари би- рикмаси целлюлозани α (1→4) — гликозид боғлар, характери бо- шқа глюкоза гомополимердан фарқланади: крахмал ва гликоген. Крахмал амилозалардан фарқли унинг молекуласи спиралсимон, целлюлоза молекуласи чўзиқ стерженли конфигурацияга эга.

Целлюлозанинг физик хоссалари. Целлюлоза — оқ қаттиқ, турғун модда, 200°С гача қиздирганда парчаланмайди. Ёнувчи модда, ўз-ўзидан ёниш ҳарорати (алангаланиш) -275°С, пахта целлюлозасининг ўз-ўзидан ёниш ҳарорати -420°С. 2016 йили П. Дауенҳауер, Ч. Крумм ва Ж. Пфандинерлар томонидан та- жрибалар асосида целлюлозанинг суюқланиш ҳарорати 467°С эканлиги аниқланган. Целлюлоза сувда, паст концентрация-

ли кислоталарда ва кўплаб органик эритувчиларда эримайди. Фақат унинг гидроксил гуруҳларининг кўплиги ҳисобига ги- дрофилл ҳисобланади (намланиш бурчаги 20—30°). Целлюлоза ҳидсиз, таъмсиз. Шу сабабли унинг структуравий ўзгарган ми- крокристалл кўриниши — Е460 маркаси озиқ-овқат саноатида қўшимча ўрнида қўлланилади. Целлюлоза кўплаб микроорга- низмлар иштирокида биодегидратацияга учрайди.

Целлюлозанинг кимёвий хоссалари. Целлюлоза глюкоза молекулаларининг қолдиқларидан таркиб топган бўлиб, у цел- люлозанинг гидролизи натижасида ҳосил бўлади:


(С6Н10О5) n + nH2O = nC6H12O6.

Сульфат кислота ва йод эритмаси билан гидролиз натижаси- да целлюлоза мовий рангга ўтади. Нитрат кислота билан реак- ция натижасида нитроцеллюлоза (тринитрат целлюлоза) ҳосил қилади:

Целлюлозани сирка кислотаси билан этерификациялаш жа- раёнида триацетат целлюлозаси ҳосил бўлади:

Целлюлозани эритиш ўта қийин ва кимёвий ўзгартириш му- раккаб, лекин яқинда топилган ионли суюқлик, НMMO, (N-ме- тилморфолин-N-оксид) да эриши аниқланган. Целлюлозани N-метилморфолин-N-оксид эритувчисидан фойдаланиб, ҳозир- да лиоцел номи билан сунъий тола ишлаб чиқариш бошланган.


Целлюлоза турлари


Целлюлоза турлари толали хом ашё ёки целлюлоза олиш усулига қараб номланади. Хом ашё бўйича целлюлоза турлари: пахта, ёғоч, шоли, сомон, каноп кабилар. Целлюлоза олиниш усулларига қараб: сульфатли, натронли, нейтрал, сульфитли кабилар. Булардан ташқари, ишлатиш соҳасига қараб: техник, яримтайёр целлюлоза кабилар. Гидролизга учратилган целлюло- заларни — гидрат целлюлоза, чуқур гидролизга учратганларини — порошокли-,микрокристаллик- ва нано целлюлоза деб юрити- лади. Целлюлоза турлари ҳақида дарслик ва справочникларда кенг ёритилганлиги [9—13] сабабли бу мавзу кенг ёритилмади.

II боб. МИКРОКРИСТАЛЛИК ЦЕЛЛЮЛОЗА

Порошокли целлюлоза

Порошокли целлюлоза — бу целлюлоза толаларининг меха- ник майдаланилган кўриниши ёки яримтайёр целлюлозани ги- дролизга учратиб олинган материал. Порошок кўринишидаги целлюлоза майда заррачалардан иборат. Хом ашё тури ва ишлаб чиқариш усулларига қараб целлюлоза заррачаларининг ўлчам- лари 1 дан 500мкмгача бўлади. Целлюлоза порошогининг хосса- си кўп ҳолларда қўлланилган хом ашё турига боғлиқ. Масалан, пахта целлюлозасидан олинган порошок оқ рангли, япроқли ёғоч целлюлозасидан олинган — оқ-сариқ, сомондан олингани — қўнғир рангли бўлади. Полимерланиш даражаси 40дан 400гача. Булардан ташқари, порошокли целлюлоза юқори солиштирма юзага эга, шу сабабли сорбцияланиши ҳам юқори. Порошокли целлюлоза материалларининг классификация схемаси қуйида келтирилган:

Дунёда қабул қилинган классификацияга кўра, порошокли целлюлоза (ПЦ) га киради: микро-ва нанокристаллик целлюло- за (МКЦ, НКЦ), микро-ва нанофибрилланган целлюлоза (МФЦ, НФЦ) [14—18]. Порошокли целлюлозанинг кристаллик даража- си паст, таркибида гемицеллюлоза, лигнин бўлиши мумкин. МКЦ ва НКЦ кристаллик даражаси юқори ва кимёвий соф, ле-

кин бир-биридан кристалларининг ўлчамлари билан фарқлана- ди. Фибрилланган целлюлоза ўзининг толали морфологиясини сақлайди, ҳамда наноцеллюлозани полидисперслиги ва кристал- лари ёки фибриллари ўлчамларининг ҳар хиллиги сабабли мик- ро-ва нано-фибрилли целлюлоза деб ҳам классификацияланади. Порошокли целлюлоза озиқ-овқат, фармацевтика ва тиббиёт саноатида фойдаланишга мўлжалланган. Лекин ҳозирда поро- шокли целлюлоза олиш учун сифатли толали хом ашё топиш муаммо ҳисобланади. Сабаби, сифатли пахта целлюлозасининг нархи қиммат ҳамда Россиянинг вискоза сунъий толалар ишлаб чиқаришга мўлжалланган целлюлоза корхоналари тўхтатилган. Тола кўринишидаги порошокли целлюлоза механик майдалаш, кимёвий ишлов бериш (ишқорий ёки кислотали муҳитда гидро- лизлаш) ёки целлюлозани эритмасидан чўктириш орқали [19, 20] олинади. Кимёвий усулда олинган целлюлозанинг полимерла- ниш даражаси (ПД) паст бўлади. Лекин кристаллик даражаси бо- шқа усулларда олинганга солиштирганда юқори. Механик май- далаш усулида олинган порошокли препаратларнинг структура- си тола кўринишида, кимёвий усулда олингани — порошок кўри- нишида бўлади. Кимёвий жараёнларда олинган препаратларни микрокристаллик целлюлоза (МКЦ), механик усулда майдалаб ёки целлюлоза эритмадан чўктириб олингани — толали порошок- ли целлюлоза (ТПЦ) деб номланади. Лаборатория шароитида ПЦни 800 г пахта целлюлозасини 5 л 10% водород хлорид эрит- масида қайнатиб олинади. МКЦ ва ПЦ ларнинг баъзи хоссалари

2.1-жадвалда келтирилган [19].

2.1-жадвал

Порошокли целлюлозанинг хоссалари

Пахта ва ёғоч целлюлозасидан порошокли целлюлоза олиш бир неча босқичларда гетероген ҳолатда кислотали гидролиз- лаб олинади [20—26]: гидролиз эритма тайёрлаш, целлюлозани гидролизлаш, ювиш, қуритиш, дисперглаш ва саралаш. Дес- трукцияловчи агент ўрнида хлорид ва нитрат кислоталарининг сувли эритмаси танланган. Олинган порошокли целлюлозанинг сифати озиқ-овқат, тиббиёт ва фармацевтика талабларига жавоб бериши учун ТШ 9199-005-12043303-96 «Целлюлоза микро- кристаллическая порошковая» ишлаб чиқилган.

Ёғоч целлюлозасидан олинган порошокли целлюлоза уну- ми камлиги ва чегарали (предельный) полимерланиш даража- си юқорилиги билан характерланади. Сабаби — целлюлозанинг аморф қисми гидролизга учраб, эритмага ўтиб кетади. Хом ашё ўрнида олинган целлюлозанинг морфологик тузилиши олинган маҳсулотнинг кўрсаткичларига таъсир этади. Яъни ёғоч цел- люлозасидан олинган порошокли целлюлоза сувни ўзида тутиб қолиши ва сорбциялаш қобилияти пахтадан олинган целлюло- зага қараганда анча юқори.

Ўта майда, заррачаларининг ўлчамлари 50 мкм ли тола- ли порошокли целлюлоза гидродинамик куч таъсир эттири- либ олинган [27]. Унинг энг муҳим физик-кимёвий хоссалари: ИҚ-спектрининг ўзгариши; целлюлозанинг кимёвий ўзгариши (карбоксил гуруҳлар ҳосил бўлиши); дегидрирланиши ва дегид- ратацияланиши; сорбцияланишини ортиши. ПЦ олишнинг бо- шқа усули — сувсиз эритувчи 1,2,3-пропантриолдан сув билан чўктириш орқали олиш [18]. Бир қатор олимлар т

...