автордың кітабын онлайн тегін оқу Операции над матрицами средствами MS Excel
Операции над матрицами средствами MS Excel
12+
Оглавление
Этой книгой я продолжаю курс практических занятий по Линейной алгебре, которые я проводил со студентами университета культуры и искусств в городе Санкт — Петербурге. но уже с широким применением приложения MS Ofice Excel.
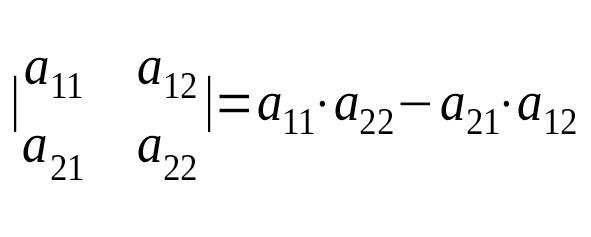
1.Определители матрицы
1.1.Определители 2-го порядка
