автордың кітабын онлайн тегін оқу Четыре возраста человека. Системная психология
Борис Николаевич Рыжов
Четыре возраста человека
Системная психология
* * *
© Рыжов Б.Н., 2024
© ООО «Издательство АСТ», 2024
Предисловие
Настоящее издание представляет собой переработанную и существенно дополненную версию предыдущих изданий монографии «Системная психология», вышедших в 1999 и 2017 гг.
В книгу включен ряд новых и измененных разделов, посвященных системной теории мотивации и способностей, системной структуре личности, а также описанию блока системно-психологических методик и ряда эмпирических исследований.
Автор выражает признательность коллегам, предоставившим материалы системно-психологического анализа в различных отраслях психологического исследования:
– О. В. Чибисковой, О. В. Кожиновой, О. А. Филатовой, и Т. А. Покачаловой за материалы по популяционным исследованиям профиля мотивации и психической работоспособности;
– к.п.н. Л. В. Сенкевич, А. Б. Шагидаевой и ph.d. С. Моргалла (Папский Григорианский университет, Рим, Италия) за предоставленный этнопсихологический материал.
Введение
В наше время психология прочно заняла место одной из наиболее востребованных научных дисциплин. Мнение психолога интересует и политического лидера, и предпринимателя, и школьного учителя. Тем не менее, как и на заре становления научной психологии, сегодня по-прежнему остаются открытыми вопросы о ее теоретических основаниях, парадигме, языке и аксиоматике.
Разница, однако, в том, что в конце XIX века отсутствие признанной психологической теории вызвало необыкновенную научную активность, следствием которой в последующие десятилетия стала блестящая эпоха школ психологии. Сейчас, в двадцать первом веке, теоретический вакуум в психологии воспринимается как закономерное явление. Ушли в историю драматические столкновения взглядов между различными школами психологии. Ушли и сами школы, место которых заняли различные технологические направления, как правило, не претендующие на построение новой парадигмы. Но вместе со школами из психологии ушла и эпоха выдающихся имен: ведь прекращение развития теории неизбежно ведет к измельчанию научной проблематики, замене творческого поиска высококвалифицированным ремеслом.
Вместе с тем быстро идущая специализация и технологизация науки во многом сдвинула ее приоритеты, утверждая одну из ведущих тенденций современного мира к интеграции научных течений, поиску универсальных, общесистемных закономерностей развития природы на самых различных уровнях ее организации. Более того, среди многих понятий, прочно вошедших в психологический обиход нашего времени, понятия «системность», «системный подход» стали одними из самых распространенных. При этом, как это нередко происходит с любым научным понятием, которое приобрело популярность за пределами породившей его теории, системный подход в психологии существует в двух весьма далеких друг от друга значениях.
Наиболее распространенное понимание системного подхода ограничивается желанием рассматривать различные психологические явления не изолированно, а в их совокупности и совместно с порождающими причинами. Иначе говоря – «системно», подразумевая, что любой, даже достаточно простой продукт психической деятельности всегда является следствием многих явлений объективного и субъективного характера. Иное содержание понятия «системный подход» связано с построением научного основания психологии на методологических принципах системологии – фундаментальной науки, предметом которой являются общие законы развития сложных систем физической, биологической и социальной природы.
Обоснование этого подхода опирается на различные доказательства. Одно из них можно назвать онтологическим. Оно вытекает из самого происхождения психической формы жизни, которая возникает на биологическом субстрате и является субстратом для надстраивающихся над ней социальных форм. Будучи сложным системным образованием, для своего описания психика нуждается в адекватном языке, учитывающем все уровни ее системной организации. Из определения системологии следует, что именно эта дисциплина формирует универсальный язык описания систем, создавая тем самым базу основных понятий и для психологической науки.
Другое доказательство – историческое. Оно вытекает из того, что обретение той или иной областью знаний своей научной парадигмы и формирование на этой основе строгой научной дисциплины, в которой все ее части логически связаны и дополняют друга, всегда базируется на возможности опоры на твердый пласт независимого от нее знания. Знания, которое составляет своего рода фундамент этой научной дисциплины.
После обретения такого фундамента всегда следует расцвет науки и связанных с ней технологий. Так это произошло с физикой, после того как Ньютон разработал основы высшей математики и предложил общую схему строго математического подхода к решению задач земной и небесной механики. С химией – после того как та смогла опереться на понимание лежащих в основе химических реакций физических закономерностей. С биологией – после раскрытия сущности ряда биохимических процессов.
Наука, не имеющая такой базы и пытающаяся выводить свои закономерности из непосредственного знания принадлежащих ей фактов, напоминает многоэтажное здание, которое пытаются построить без фундамента, начиная сразу с первого этажа. Неудивительно, что такой дом едва ли будет достроен и простоит недолго, кто бы ни был его архитектором.
В определенной мере эта аналогия уместна по отношению к большинству предложенных ранее теоретических концепций психологии. Реальной альтернативой может служить формирование специальной отрасли психологической науки, направленной на упорядочивание ее принципов и согласование их с общими представлениями о системной организации природы.
Созданию такой отрасли, непосредственно связанной с разработкой системной методологии и методов психологического исследования, посвящена настоящая книга. Она включает три основных части.
Первая из них содержит описание системного фундамента психологии и включает исторический обзор формирования системно-психологических взглядов (глава 1) и изложение принципов дискретной системологии как базы для понимания общих закономерностей, лежащих в основе психических, физиологических и социальных процессов (глава 2).
Вторая, наиболее важная часть работы, содержит описание построенных на этом фундаменте основ современной системной психологии. Она включает изложение: системной теории мотивации (глава 3); системно-психологической интерпретации понятий морали и любви (глава 4); системной периодизации психического развития человека, построенной на базе эмпирического исследования профиля мотивации в различных возрастных группах (глава 5); системной теории деятельности и психических способностей (глава 6), системно-психологического описания трех психических болезней и связанных с ними парадоксальных способностях (глава 7) и, наконец, опирающееся на системную парадигму описание важнейших психических процессов и структуры личности (глава 8).
Третья часть посвящена опыту применения системно-психологической методологии и инструментария в практической психодиагностике. Она включает описание эмпирических исследований системного профиля мотивации (глава 9), а также описание теории и практики системных психофизиологических исследований (глава 10) и исследований психической работоспособности (глава 11).
Монография предназначена для студентов университетов, психологов, социологов, а также широкого круга читателей, интересующихся фундаментальными проблемами живой природы, от концепций возникновения жизни до построения современной универсальной теории психологии.
Часть 1
Системный фундамент психологии
Глава 1. Системные идеи в философии, физике и психологии
1.1 Взгляд на мир как систему
В одной из своих последних работ, посвященных истории создания общей теории систем, основатель этого научного направления Людвиг фон Берталанфи заметил, что проблемы, с которыми ученые наших дней сталкиваются в связи с понятием «система», «являются лишь современным выражением проблем, столетиями стоявших перед учеными и обсуждавшимися каждый раз на соответствующем языке» [1]. Если мы хотим верно представить и оценить современный системный подход, по мнению другого основателя системной методологии У. Р. Эшби, саму идею системности имеет смысл рассматривать не как порождение преходящей моды, а как явление, развитие которого вплетено в историю человеческой мысли [21].
Представление о всеобщей взаимосвязи явлений природы, их подчиненности универсальным законам со времен Античности составляло существенную черту рационалистической философии. Античности же принадлежит и сама идея системности, нашедшая свое отражение в известном тезисе Аристотеля о том, что целое больше суммы частей, его составляющих.
Вместе с тем развитие представлений о внешнем и внутреннем мире, многократно переплетаясь в каждой культуре, подчинено характерным закономерностям. Можно заметить, что в каждом цикле развития формирование естественно-научных представлений об организации внешнего материального мира, как правило, предшествует и в определенный момент опережает формирование представлений о жизни индивидуальной души и структуре общественных отношений.
Так, например, начало философского периода Античности было связано с появлением Ионической школы натурфилософии, сконцентрировавшей свое внимание на поиске первоэлементов всего сущего (Фалес, Анаксимен, Гераклит) и утверждении естественного происхождения материального мира и его жизненных форм (Анаксимандр, Эмпедокл). Идеи первых натурфилософов оказали значительное влияние на всю последующую античную науку, включая и психологию. В классическую эпоху V–IV вв. до н. э. появление атомистических идей Левкиппа и Демокрита также предшествовало расцвету психологии в Афинской школе и стало естественно-научным основанием для некоторых из ее направлений (Эпикур). Равновесие естественно-научного и гуманитарного знания становится реальностью только в эпоху эллинизма и вновь нарушается с началом общего упадка Античности, когда естественные науки угасают первыми, а умирающее сознание общества погружается в поиск нравственного смысла своего существования.
Еще более наглядно стимулирующая роль естественных наук выступает в эпоху Нового времени. Начало освобождения научной мысли после длительного периода господства теологического сознания прежде всего проявляет себя в небывалом прогрессе физики, астрономии и биологии. В XVI и начале XVII века, когда взгляды на природу и функции души еще не выходят из русла теорий Аристотеля и Фомы Аквинского, Европу потрясают открытия Николая Коперника, предложившего гелиоцентрическую картину мира; Джордано Бруно, утверждавшего бесконечность Вселенной; Галилео Галилея, открывшего ряд важнейших физических законов и создавшего такие необходимые приборы, как термометр, маятниковые часы и рефракторный телескоп. В эти же годы Андрео Везалий открывает большой и малый круги кровообращения, а его ученики Фаллопий и Евстахий формируют объективное представление о строении человеческого тела.
Вскоре естествознание обогащается открытиями (Иоганна Кеплера, Роберта Гука, Христиана Гюйгенса, Блеза Паскаля и др.), знаменующими становление совершенно нового, научного взгляда на окружающий мир, разительно отличающегося не только от мистических воззрений Средневековья, но и противостоящего основанным на умозрительных построениях взглядам Античности. Итогом этого чрезвычайно плодотворного периода становится качественный скачок в естествознании, связанный с построением гениальным английским физиком и математиком Исааком Ньютоном новой научной системы, получившей впоследствии название классической физики. Работы Ньютона[1] восхитили и поразили современников, о чем говорит, например, эпитафия на его величественной гробнице в Вестминстерском аббатстве: «Здесь покоится сэр Исаак Ньютон, который с почти божественной силой разума первый объяснил… пути комет и приливы океанов… исследовал различия световых лучей… о которых прежде никто и не подозревал… Да возрадуются смертные, что среди них жило такое украшение рода человеческого»[2].
Надо заметить, что причина тому не исчерпывалась важностью открытых Ньютоном фундаментальных законов природы. Одна из основ еще никогда не выпадавшего на долю естествоиспытателя успеха заключалась в небывалой манере усматривать системное единство, казалось бы, весьма различных фактов и научных постулатов. Этот системный взгляд на природу не только позволил Ньютону обнаружить глубокую связь математических и физических понятий, но и предоставил реальную возможность сведения любой открытой им физической закономерности к действию ограниченного числа исходных понятий и аксиом.
Ньютон указывал, что понятия математики заимствуются извне и возникают как абстракция явлений и процессов физического мира, что, по существу, математика является частью естествознания. Поэтому, например, понятие непрерывной математической величины он осмысливает как абстракцию от различных видов непрерывного механического движения. Линии производятся движением точек, поверхности – движением линий, тела – поверхностей, углы – вращением сторон и т. д.
Влияние Ньютона на всю последующую науку было глубоким и разнообразным. С одной стороны, его работы вызвали к жизни особое научно-философское направление, получившее название ньютонианства, наиболее характерной чертой которого была абсолютизация и развитие высказывания: «Гипотез не измышляю» – hypotheses non fingo – и призыв к объективному изучению явлений при игнорировании фундаментальных научных гипотез. (В заключении «Математических начал натуральной философии» Ньютон писал, что всё, что не выводится из явлений, должно называть гипотезою; гипотезам же и скрытым свойствам явлений не место в натуральной философии) [13].
С другой стороны, универсальность предложенного Ньютоном метода системного анализа явлений природы была бесспорна не только для физиков, но и для представителей тех дисциплин, где гипотеза оставалась важным средством научного познания. Ньютон указывал, что было бы желательно вывести из описанных им начал натуральной философии и остальные явления природы. Этот призыв был услышан многими исследователями XIIIV и XIX веков, но для того, чтобы им воспользоваться, следовало начать, подобно самому Ньютону, с составления тезауруса основных понятий и аксиом. Для этого требовалось не только произвести полную инвентаризацию всех накопленных знаний, но привести их в системное единство, установив четкую иерархию и исключив все лишнее и дублирующее друг друга.
Гениальная ясность наведенного Ньютоном порядка в среде естественных наук как нельзя лучше соответствовала общему стремлению европейского сознания к порядку, преодолевающему хаос эпохи религиозных войн и революций, захлестнувших шестнадцатое и первую половину семнадцатого столетий. Следующая из ньютоновского порядка простота в объяснении еще недавно малопонятных, хотя и всем знакомых, явлений (морских приливов, движений планет и т. п.) завораживающим образом действовала на всех образованных людей новой эпохи, определяя сам дух Нового времени.
Таким образом, если предшествующий XVII век иногда называют веком первоначального накопления капитала, то XVIII век – эпоха наведения порядка среди накопленного. Ее вполне можно назвать веком классификаций и коллекций. Совсем недавно люди просто накапливали сокровища, бросая в один и тот же сундук монеты разных стран и времен, лишь бы они имели ценность. Когда же появлялись сомнения в стоимости какой-либо старинной монеты, ее просто перечеканивали, избавляя себя и других от ненужного разбирательства непонятных надписей и профилей незнакомых властителей. В XVIII веке все изменилось, возник неудержимый интерес к принципу, объединяющему вещи, их соотносительной, а не абсолютной стоимости. В это время коллекционируют и систематизируют все что угодно: оружие и китайский фарфор, античные манускрипты и новые научные идеи. Карл Линней, например, создает систему видов живой природы, а Дидро и Д'Аламбер – знаменитую «Энциклопедию наук, искусств и ремесел», уникальный и всеобъемлющий к тому времени свод знаний. В России Петр Великий открывает Кунсткамеру с ее первой анатомической коллекцией, а Екатерина Великая закладывает основание эрмитажного собрания шедевров живописи.
Название «система» как бы носится в воздухе, и одним из первых, кто отчетливо произнесет это название вслух, будет известный философ, психолог и общественный деятель эпохи французского Просвещения барон Гольбах[3]. Его работа носит название «Система природы, или О законах мира физического и мира духовного» и содержит утверждение, что вечный, несотворимый материальный мир составляет целостную систему, бесконечную совокупность различных образований, взаимодействие которых образует естественный порядок природы. В основе целостности мира лежит единство форм движения и качественных состояний материи, считает Гольбах. Всеобщие законы природы определяют и нормы поведения в обществе [9].
Еще более глубокое понимание системной сущности мира привносит на рубеже XVIII и XIX столетий немецкая классическая философия. Ее родоначальник Иммануил Кант утверждает, что научное знание есть система, в которой целое главенствует над частями. Вслед за ним этот тезис развивает другой выдающийся представитель немецкой классической философии, Иоганн Готтлиб Фихте, попытавшийся доказать в своем главном сочинении «Наукоучение», что наука систематична по своей природе и должна исходить из единого самодостоверного основоположения. Замыкает же философское осмысление системного единства Вселенной теория Гегеля.
Основные принципы философской концепции Георга Вильгельма Гегеля впервые были изложены им в работе «Феноменология духа» (1807). Духовная культура человечества здесь предстает в ее развитии как постепенное выявление творческой силы «мирового разума». Воплощаясь в последовательно сменяющих друг друга образах культуры, безличный мировой дух познает себя как их творца. Духовное развитие индивида сокращенно воспроизводит стадии самопознания «мирового духа».
Согласно схеме Гегеля[4], дух просыпается в человеке к самосознанию сначала в виде слова, речи, языка. Орудия труда, материальная культура, цивилизация предстают как позднейшие, производные формы воплощения творческой силы духа в виде понятий и мышления. При этом мышление выступает как особая деятельность, совершаемая в понятиях.
Исходная точка развития усматривается Гегелем в способности человека к познанию самого себя через освоение всего того богатства образов, которые до этого были заключены внутри мирового духа как неосознанные и непроизвольно возникающие в нем «внутренние состояния».
Система Гегеля – это единственная в своем роде работа, последовательно объясняющая все явления окружающего мира и весь наш душевный мир как продукты исторического развития вечных идеальных и материальных сущностей.
Основополагающим для Гегеля является представление о бесконечном качественном и количественном развитии всех явлений, последовательно проходящих стадии существования идеи, природы и духа. Соответственно этому, система Гегеля складывается из трех основных блоков: учения об идеях, или общих понятиях, иначе называемое логикой, учения о природе и учения о духе.
Мир идей, общих понятий составляет вечную, логическую основу всего существующего. Он весьма схож с царством идей Платона и, говоря современным языком, представляет собой «всемирный банк» информации, которая в своей совокупности образует абсолютную идею. Идею еще не осуществленную, а чисто логическую, которая лежит в основе всех явлений и составляет истинное, подлинное содержание мира и его логическую предпосылку. Действительность есть воплощение абсолютной идеи или системы понятий. Человек сознает и познает действительность, он является обладателем разума и способен логическим путем развивать всеобщие формы и законы мира, которые являются также формами и законами его собственного мышления.
Логика есть первая часть системы Гегеля. Это наука о чистом мышлении, мышлении как процессе. Ее предмет – раскрытие и снятие противоречий, содержащихся в понятиях [6].
Вторая часть системы названа Гегелем «Философия природы». Природа есть реальное, а не виртуальное бытие, материальное осуществление абсолютной идеи и воплощение понятий. В этом смысле природа есть противоположность идеи, ее, следуя гегелевскому выражению, «инобытие». В природе, согласно Гегелю, нет развития одних форм из других, а есть лишь одновременное существование различных форм в пространстве.
Природа образует царство окаменелых понятий. И хотя в ней имеется совокупность ступеней развития, эти ступени даны в застывшем состоянии и существуют всегда вместе. Высшая ступень только логически, а не реально следует за низшей. Но природа, создав человека, выходит за свои собственные границы и переходит в царство духа. Человек способен мыслить самого себя. Благодаря ему абсолютная идея возвращается к самой себе.
Третья часть системы – учение о духе. Дух есть воплощенное понятие, которое мыслит само себя. В отличие от природы, дух имеет историю, и существенная его особенность состоит в становлении, развитии. Абсолютная идея, опосредованная природой и человеческим духом, превращается в абсолютный дух. Абсолютная идея, совокупность мировой информации, имеет чисто логическое, бессознательное бытие. Абсолютный дух – это абсолютная идея, прошедшая через природу и человеческий дух и ставшая субъектом, который себя самого сознает и мыслит, который приобрел действительность и жизнь [7].
Для каждой из этих частей, или стадий, Гегель подразумевает существование различных ступеней качественной и количественной организации явления. Следуя принципу триад, он разделяет единичное, частное и всеобщее – как градации количественных изменений явления, и субъективное, объективное и абсолютное – как градации его качественных изменений. Таким образом, вся система предстает в виде пространственной схемы (рис. 1.1), построенной на оси развития стадий явления, дополненной осями количественных и качественных изменений на каждой стадии.
Pис. 1.1 Оси структурной организации системы Гегеля
Сообразно этой схеме, первая часть системы – Логика, представляющая, по выражению известного комментатора и исследователя гегелевских работ А. Деборина, историю человеческой мысли в логической обработке, – распадается на три качественных этапа: учения о бытии, сущности и понятии. При этом учение о понятии, непосредственно связанное с исследованием форм и законов человеческого мышления, является внутри всей системы первым звеном подсистемы психологических взглядов [10].
Развитие движется от внешних форм связей к внутренним, переходя от бытия явления к его сущности и, далее, к понятию. В количественном отношении все эти ступени проходят уже упомянутые этапы единичного, частного и всеобщего. Для ступени бытия этими этапами станут, соответственно, категории становления, изменения и меры.
Единичное становление есть качество, выделяющее явление из числа других, при утрате которого явление перестает быть самим собой. Напротив, частное изменение есть количественное увеличение или уменьшение характеристик явления, не приводящих к изменению его качества.
Наконец, всеобщая для любого явления мера есть единство первых двух, или, как говорит Гегель, количественная определенность, при нарушении которой явление престает быть тем, чем оно было ранее.
Для ступени сущности количественными градациями явления будут единичная разность, или различие, с другими явлениями; затем частная противоположность между формой и содержанием самого явления, противоположность целого и его частей, внутреннего и внешнего; и далее всеобщее противоречие, понимаемое как противоположность самому себе, – главный двигатель мира.
Дальнейшая интерпретация мысли Гегеля приводит к тому, что для ступени понятия количественные градации могут быть представлены единичным мнением, частным отношением и всеобщей идеей. «Мнение» здесь обозначает процесс преобразования формального понятия через суждение и умозаключение. Это учение об элементах знания. Вторую градацию этой ступени Гегель называет объективностью или отношением, подразумевая под этим учение о внутренних и внешних связях между понятиями. Третья и последняя градация – это учение об идее, которая и завершает логическую часть всей системы Гегеля. Идея – это единство понятия и связующих его внутренних и внешних отношений. Она проходит через жизнь и познание и оканчивается чистой формой понятия, которую Гегель называет абсолютной идеей.
Однако системное единство гегелевской мысли было бы далеко не полным, если бы оно не обнаруживало себя в равной степени при развитии как в количественном, так и в качественном отношениях. Поэтому в схеме, изображающей структуру системы (рис. 2), движение по строке столь же оправданно, как и движение по ее столбцу. Для ступени единичного это будет переход от субъективного становления явления к его объективной разности с другими явлениями, которая во мнении сознается как единство самого явления и его границ. Для ступени частного таким движением «по строке» будет переход от внешних границ изменения явления, в пределах которых это явление еще остается самим собой, к объективной противоположности внутренних характеристик явления и, далее, к установлению отношения между внешними и внутренними границами.
Для ступени всеобщего это будет переход от субъективной меры всех вещей к объективному противоречию вещи с самой собой, завершающийся единением обеих категорий в идее вещи, которая ставит противоречие логическим условием бытия.
Следующую часть системы Гегель называет «Философия природы». Это наименее связанная с психологией и, в целом, наиболее спорная часть всего труда. Природа, по мысли автора, есть осуществление логической идеи в ее «инобытии». Абсолютная идея выступает из чисто логической сферы и переходит в реальное существование во времени и пространстве. Таким образом, природа представляет для Гегеля прикладную логику, и каждой ступени логического развития идеи соответствует определенная ступень в природе. Гегель особо подчеркивает, что природа представляет собой систему ступеней, каждая из которых с необходимостью вытекает из другой и является ближайшей истиной той, из которой она проистекла.
Вместе с тем природа – это в основном царство неизменяющихся форм. Развитие присуще только живым существам – высшей ступени природы. Поэтому за основу классификации явлений природы Гегель берет не качественное развитие, а количественные градации. Им соответствуют три части философии природы: механика, которая соотносится со ступенью всеобщего, физика, соотнесенная со ступенью частного, и органика, соответствующая ступени единичного.
Время, прошедшее после создания Гегелем своего учения, совпало со стремительным прогрессом естественных наук, существенно изменившим бытовавшие в начале XIX века представления об организации живой и неживой природы. Сегодня для сохранения рационального зерна, содержащегося в этой части работы, целесообразно использовать ее интерпретацию, лишь в общих чертах передавая оригинальную мысль автора и по необходимости достраивая его рассуждения с учетом современных взглядов (рис. 1.2).
Pис. 1.2 Структурная схема системы Гегеля
Если принимать это во внимание, категории природы предстают перед нами в следующей взаимосвязи: для ступени всеобщего такими категориями выступают субъективное время (тезис), объективное пространство (антитезис) и абсолютная материя (синтез), понимаемая как единство времени и пространства. Для ступени частного это будут типы связей между природными элементами и соответствующие им виды энергии – химической, механической и электромагнитной. Для ступени единичного в качестве субъективного выделяется живой организм, в качестве объективного может быть назван вид, а абсолютного – вся биосфера в целом, или, в терминах Гегеля, геологический организм.
В мире природы, так же как и в мире идей, каждый элемент системы соотнесен с другими в качественном и количественном отношениях. При этом всеобщее всегда проявляет себя в частном и, вместе с ним, в единичном. Отсюда временной фактор есть необходимый и важнейший фактор стоящего под ним химического процесса, а тот, в свою очередь, есть основа существования живого организма. Главная ось, на которую нанизаны все происходящие с организмом изменения.
Для ступени «объективного» пространство соответствует градации всеобщего. Оно проявляет себя на уровне частного как существенный атрибут действия механических сил и на уровне единичного как ареал распространения вида живой природы. Борьба за жизненное пространство – доминирующeе стремление вида.
Аналогичным образом так называемый закон возрастания энтропии, или основной закон существования материи как категории всеобщего, проявляет себя в частном и единичном как общая направленность электромагнитных процессов, как конечный итог развития биосферы.
Завершает систему Гегеля учение о духе. Все предметы природы существуют в пространстве и времени, совместно и преемственно друг за другом. На высшей ступени развития природы выступает живой организм, который в человеке становится мыслящим духом, оставляющим позади себя природу и делающим все ее содержание своим предметом.
Учение о духе делится на три части соответственно трем качественным формам существования духа: на субъективный, объективный и абсолютный дух. Субъективный дух включает в себя на уровне всеобщего – душу, на уровне частного – сознание и на уровне единичного – дух как таковой. Душа, по Гегелю, является предметом науки антропологии и включает в себя понятия природной души (природные качества и ощущения), чувствующей души (сновидения, различные виды психопатологии и привычки) и действительной души (язык и внешние выразительные реакции).
Сознание есть предмет изучения феноменологии духа и включает в себя восприятие, рассудок, самосознание и разум. Сфера интересов психологии, в терминологии Гегеля ограничивается областью явлений духа, которые распадаются на теоретический дух (созерцание, представление, память и мышление), практический дух (чувство удовольствия и неудовольствия, влечение и страсть) и свободный дух, который есть свободная воля и единство теоретического и практического духа.
Учение об объективном духе включает в себя на ступени единичного область права, на ступени частного – морали и на ступени всеобщего – нравственности. Учение об абсолютном духе включает в себя на ступени единичного – искусство, на ступени частного – религию и на ступени всеобщего – философию.
Продолжая мысль о системном единстве качественных и количественных изменений на всех стадиях развития мира, для учения о духе оно также обнаруживает себя в движении «по строке» таблицы, изображенной на рис. 1.2.
На уровне единичного субъективный дух, понимаемый прежде всего как воля, объективно реализует себя в категории права, т. е. в формальных предписаниях для общественной жизни. Возвращаясь же к самому себе в абсолютном, субъективный дух реализует себя как искусство в виде соответствующих этому духу художественных произведений.
Таким же образом частное субъективное сознание объективно порождает общественную мораль и, возвращаясь к себе в абсолютном, формирует религию данного общества. Последняя триада принадлежит ступени всеобщего. Субъективная душа, под которой в данном случае следует разуметь именно народную душу, т. е. совокупность привычек, языка, выразительных движений и тому подобных характеристик народной общности, объективно проявляет себя в нравственности этого народа. Возвращаясь к себе в абсолютном, субъективная душа находит себя в философии, которая всегда несет на себе национально-типический отпечаток создавшего ее народа.
Свою философскую систему Гегель рассматривает как завершающее философское развитие науки в целом, абсолютное знание. «До этого пункта, – говорит он, – дошел мировой дух; последняя философия есть результат всех прежних, ничто не потеряно, все принципы сохранены» [7].
Не менее важной с системной точки зрения оказывается и разработка Гегелем диалектического метода и законов диалектики, исследуя которые он на языке рационалистической философии выражает важнейшие структурные законы развития систем:
– закон количественного преобразования в новое качество отражает тенденцию саморазвития системы, когда накопление горизонтальных связей между ее однородными элементами приводит на определенном этапе развития к установлению новой структурной организации этих связей и возникновению вслед за этим нового системного качества, которое больше суммы составляющих его элементов. В системологии это соответствует принципу неравенства целого и суммы;
– закон единства противоположностей отражает сущность вертикальных связей между различными системами, соотнося на уровне сверхсистемы характеристики составляющих ее подсистем. В системологии это соответствует принципу изоморфизма, или логической гомологии системных структур;
– наконец, важнейший закон диалектики, получивший название закона отрицания, отражает сущность динамических связей, изменяющихся с течением времени и, в конечном итоге, прекращающих свое существование. В системологии это соответствует принципу финальности и эквифинальности систем.
Таким образом, система Гегеля завершила развитие науки в рамках философской традиции. Создание этой системы, так же как и системы Аристотеля в Aнтичности, не только стало вершиной развития мысли в русле философской традиции, но и закономерно обусловило последующий спад в ней рационалистических идей и расцвет иррационалистической философии. Однако важнейшим следствием завершения эпохи рационалистической философии стал перенос акцентов в область позитивных, конкретно-научных исследований.
Создание всеобъемлющей философской системы оказало очевидное влияние на все дальнейшее развитие психологической мысли, не только определяя ее предмет и основные задачи, но и указывая логику связи с другими дисциплинами. Следует отметить и то, что систематическая форма изложения Гегелем своего учения стала для многих исследователей образцом для организации многих конкретных наук.
Вместе с тем закончилась целая эпоха в истории европейской цивилизации. Теперь предстояли грандиозные перемены не только в культурной жизни, но и смена самих основ прежнего мировоззрения, а следовательно, и отказ от многих прежних принципов мышления в области политики и искусства, науки и экономики. Еще при жизни Гегеля мир захлестывает волна социальных потрясений – революций и Hаполеоновских войн, сметающих большинство пережитков предшествующей эпохи. Крепостное право и ничем не ограниченная монархия начинают осознаваться анахронизмом на всем протяжении европейского пространства от Гибралтара до Урала. Идея свободы, права на независимое мнение становится ключевым принципом жизни Европы в XIX веке, в полной мере определяя и направление научного мышления.
На смену венчающему гегелевскую философию тезису о системном единстве мира неизбежно должен был выступить антитезис независимости познания мира самостоятельными, позитивными науками. (Уже при жизни Гегеля с предложением о преобразовании психологии в такую науку на базе использования математики выступил его соотечественник И. Ф. Гербарт [8], ставший после смерти Гегеля формальным претендентом на занятие его кафедры в Берлинском университете.) Тем не менее дальше, следуя той же логике Гегеля, должна наступить эпоха синтеза наук и их объединение в новую суперсистему позитивного знания.
Гегель (Hegel) Георг Вильгельм Фридрих (1770–1831). Великий немецкий философ. Родился в семье чиновника. В 1788–1793 гг. учился в Тюбингенском теологическом институте. В 1793–1801 гг. был преподавателем. С 1801 жил в Иене, занимаясь научным и литературным трудом; в 1807 был редактором газеты. С 1808 по 1816 г. Гегель был директором гимназии в Нюрнберге. С 1816 г. до конца жизни был профессором философии в университетах Гейдельберга (1816–1818 гг.) и Берлина (с 1818 г.). Творчество Гегеля завершает собой развитие немецкой классической философии и развитие психологии в русле философской традиции. Гегель выделяется среди всех предшествующих философов своим интересом к истории человеческой духовной культуры. Еще в ранних работах он рассматривает иудаизм, античность, христианство как ряд закономерно сменяющих друг друга ступеней развития духа и эпох развития человечества и пытается восстановить их исторический облик. Свою эпоху он считал временем перехода к новой, исподволь вызревшей в лоне христианской культуры формации. К числу важнейших трудов Гегеля принадлежит трехтомная «Энциклопедия философских наук», завершенная в 1817 г., и «Философия права» (1821).
Гольбах (Holbach) Поль Анри, барон (1723–1789). Французский философ. Изучал химию в Лейденском университете. Открытый им в Париже салон приобрел известность как место регулярных философских дискуссий между энциклопедистами. В своем основном сочинении «Система природы» (1770) Гольбах предпринял попытку философского осмысления физической системы Ньютона. Главным мотивом человеческих действий Гольбах считал интересы, важнейший среди них – стремление к счастью. Счастье состоит в соответствии желаний человека окружающей его обстановке, но он не может его достичь без помощи других людей, отсюда его заинтересованность в содействии счастью ближних.
Эпитафию написал английский поэт XVIII века Александр Поп.
Ньютон (Newton) Исаак (1643–1727). Великий английский физик и математик. Родился в семье фермера. Отец Ньютона умер до его рождения, и воспитанием сына руководила мать, надеявшаяся, что он также станет фермером. Однако Ньютон, настойчиво стремящийся получить образование, в 1661 г. поступил в Тринити-колледж Кембриджского университета и в 1665 г. получил ученую степень бакалавра. Последующие два года, ввиду эпидемии чумы, Ньютон провел на ферме своей матери, отдавая все время научным исследованиям. В этот период он закладывает основы высшей математики, открывает закон всемирного тяготения, изобретает рефлекторный (зеркальный) телескоп и проводит эксперименты с разложением света. После окончания эпидемии Ньютон возвратился в Кембридж, где с 1669 по 1701 г. работал профессором математики и физики. Здесь в 1687 г. он опубликовал знаменитый труд «Математические начала натуральной философии», содержащий систематическое изложение основных понятий, аксиом и законов классической физики, а также методов дифференциального и интегрального исчисления. В 1672 г. Ньютон избирается членом Лондонского Королевского общества, а в 1703 г. становится его президентом. Работая с 1695 г. смотрителем Королевского Монетного двора, он способствует укреплению английской денежной системы и в 1699 г. получает пожизненное звание директора Монетного двора. В 1705 г. за свои научные заслуги он получает дворянское достоинство.
1.2 Психофизика и термодинамика
В середине XIX века почти одновременно произошло рождение двух весьма далеких друг от друга и казавшихся сугубо специальными научных дисциплин, сыгравших тем не менее одинаково большую роль в становлении современных взглядов на природу человека и Вселенной.
Одной из этих дисциплин была психофизика – наука о соотношении физического стимула и вызываемого им ощущения, ставшая одним из главных источников новой экспериментальной психологии. Еще в 1834 г. профессор физиологии Лейпцигского университета Эрнст Вебер опубликовал работу, посвященную определению порогов кожной и тактильной чувствительности. В ней он утверждал, что добавочный раздражитель должен находиться в постоянном для каждой модальности отношении к исходному раздражителю, чтобы возникло едва заметное различие в ощущениях. Позднее к этой проблеме обратился коллега Вебера по университету физик Густав Фехнер[5], который предложил математическую интерпретацию установленной Вебером зависимости, назвав ее законом Вебера. В дальнейшем Фехнер получил логарифмическую зависимость величины ощущения от величины исходного раздражителя, дав этому закону свое имя.
Следует отметить, что существование логарифмической зависимости ощущений от вызывающих их изменений внешнего мира отмечалась многими исследователями задолго до Фехнера. Можно сослаться на «формулу счастья», выведенную в 1738 г. знаменитым швейцарским математиком и естествоиспытателем Даниилом Бернулли (1700–1782). Счастье Бернулли понимал как отношение прибыли к величине всего располагаемого человеком богатства. Однако ни «формула счастья» Бернулли, ни работы французского оптика Пьера Бугера (1698–1758), предложившего похожую зависимость при измерении яркости света, не произвели научной сенсации. В отличие от этого публикация Фехнером в 1860 г. книги «Элементы психофизики», содержавшей подробное описание открытого им закона, произвело эффект разорвавшейся бомбы: восприятие человека можно не только измерять количественно, но оно подчиняется строгому математическому закону.
Другой новой научной дисциплиной, сыгравшей первостепенную роль в развитии представлений о системной сущности всех явлений в мире, стала термодинамика – раздел физики, изучающий соотношение теплоты и других форм энергии. В ее русле анализ системных явлений приобретает современный категориальный аппарат и устанавливаются важнейшие законы существования систем. Говоря о роли термодинамики в развитии системных исследований, один из наиболее известных теоретиков науки второй половины нашего века И. Пригожин подчеркивает, что с позиций классической науки четко разграничивалось то, что считалось простым, и то, что приходилось рассматривать как сложное. Никаких сомнений, например, не вызывала «простота» ньютоновских законов движения, идеального газа, химических реакций. Точно так же казалась очевидной «сложность» биологических процессов и тем более человеческой деятельности в том виде, в каком она отображается в экономическом знании или городском планировании. «Можно утверждать, – продолжает он, – что в области физики и химии первой дисциплиной, столкнувшейся с проблемой сложности, была термодинамика» [14].
Ее основной закон – так называемое второе начало, – гласящий, что в изолированных системах энтропия возрастает, стал одновременно и основным принципом философского понимания развития мира. Значение термодинамики для развития фундаментальной науки о системах оказывается столь велико, что необходимо хотя бы кратко остановиться на истории ее развития.
Становление термодинамики как самостоятельной науки связывают с деятельностью французского военного инженера Сади Карно. Его единственное опубликованное сочинение «Размышление о движущей силе огня» вышло в 1824 г. В этом небольшом произведении (всего 43 страницы) Карно сформулировал основные принципы новой науки, термодинамики, окончательно сформировавшейся три десятилетия спустя. И более того: Карно первым высказал идеи, легшие в основу так называемого «второго начала термодинамики» – одного из наиболее фундаментальных общесистемных положений, указывающих направление процессов развития видимой нами части Вселенной[6]. «Движущая сила, – говорит Карно, – существует в природе в неизменном количестве, она никогда не создается и не уничтожается, но меняет форму и вызывает то один род движения, то другой…» [23].
Идеи Карно были развиты Г. Гельмгольцем в 1847 г. в его работе «О сохранении силы» [23]. В ней Гельмгольц впервые дал математическое обоснование закона сохранения энергии и, проанализировав большинство известных в то время физических явлений, показал всеобщность этого закона. В частности, он указал, что происходящие в живых организмах процессы также подчиняются закону сохранения энергии. Утверждение Гельмгольца вступало в явное противоречие с бытовавшей в то время концепцией существования особой «живой силы», якобы управляющей организмами.
Гельмгольц также впервые доказал применимость принципа наименьшего действия, согласно которому для данного класса сравниваемых друг с другом движений системы действительным является то, для которого физическая величина, называемая действием, имеет минимум, к тепловым, электромагнитным и оптическим явлениям. В конечном счете он распространил его и на процессы, происходящие в живых организмах.
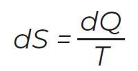
Но в полной мере идеи Карно были восприняты только в начале второй половины XIX века, когда благодаря работам Рудольфа Клаузиуса произошло окончательное формирование науки термодинамики. Одна из величайших заслуг Клаузиуса состоит в том, что он впервые ввел понятие S – функции, или энтропии как количественной меры неупорядоченности состояния системы. (Согласно введенной им зависимости, изменение энтропии dS соответствует отношению поглощаемого системой тепла dQ и абсолютной температуры этой системы Т.) Для простых систем, типа идеального газа, он устанавливает зависимость:
Клаузиус[7] дает научное обоснование и математическое выражение одного из важнейших законов развития Вселенной, получившего название второго начала термодинамики: «В необратимых процессах энтропия может только возрастать»:
Из этого закона следует уже философский вывод: энтропия Вселенной стремится к максимуму [23]. В последующем постижению философского и общесистемного смысла этого закона будет посвящена обширнейшая литература, принадлежащая самым различным отраслям знания.
В докладе, прочитанном в 1875 г. в Лондоне, давая оценку труду Клаузиуса, другой великий физик Дж. Максвелл сказал: «Основная заслуга Клаузиуса состоит в создании новой области науки, в таком физическом обобщении, которое позволило применить математические приемы к изучению систем, состоящих из бесчисленного множества движущихся элементов» [23].
Следующий шаг на пути формального анализа состояний систем сделал в 1876 г. Людвиг Больцман[8]. Он установил логарифмическую зависимость между энтропией S и вероятностью состояния системы и показал, что энтропия есть мера упорядоченности или неупорядоченности положения элементов в системе. Если для некоторой системы существует W элементарных состояний, то величина энтропии S будет равна:
S = k · lnW
где k – постоянная Больцмана.
Знаменитая формула Больцмана показывает, что процессы, в которых энтропия уменьшается, не являются абсолютно невозможными, а второе начало термодинамики объясняется естественным переходом всякой изолированной системы от состояний маловероятных к состояниям все более вероятным. Мысль Больцмана позволяет считать Вселенную такой системой, в которой могут происходить редкие и необратимые во времени процессы самоорганизации структур. В этом случае будут возникать локальные зоны уменьшения энтропии – очаги возникновения жизни.
Герман Гельмгольц в 1882 придал второму началу термодинамики форму, позволившую применить этот закон к изучению химических и биологических процессов, и ввeл понятие свободной энергии и связанной энергии.
Согласно Гельмгольцу, свободная энергия (ее также называют энергией Гельмгольца, или ψ-энергией) определяется через внутреннюю энергию U, энтропию S и температуру Т равенством:
ψ = U – TS
При равновесных процессах, происходящих при постоянном объeме и температуре, убыль энергии Гельмгольца данной системы равна полной работе, производимой системой в этом процессе. В психологии обобщение понятия свободной энергии Гельмгольца позволяет оценить трудоемкость того или иного рабочего процесса по затраченной на это энергии или части психофизиологического ресурса организма.
В конце XIX века системные идеи в физике оставались еще предметом ожесточенных дискуссий. Больцман с сожалением замечал, что может говорить о своих идеях только с одним человеком – Гельмгольцем. Но прогресс науки закономерно приводил исследователей на рубеже двадцатого века к пересмотру самой сущности механизмов развития мира. В 1905 г. Альберт Эйнштейн создал специальную теорию относительности. Идеи Больцмана и Гельмгольца стремительно завоевывали популярность. В эти годы благодаря работам выдающегося немецкого физика-теоретика Макса Планка (1858–1947) классическая термодинамика приобретает черты завершенной теории. Значительную часть научного творчества Планка составили работы, посвященные энтропии и второму началу термодинамики. Они, по существу, завершили построение термодинамической теории и открыли возможность распространения ее принципов и постулатов на природные процессы, далеко выходящие за область явлений, рассматриваемых классической термодинамикой.
«Природа, – пишет Планк, – предпочитает более вероятные состояния менее вероятным и осуществляет переходы, направленные в сторону большей вероятности. С этой точки зрения второй закон термодинамики представляется как закон вероятности, энтропия – как мера величины вероятности, а возрастание энтропии сводится просто к тому, что за менее вероятными состояниями следуют более вероятные. Для закона вероятности характерно то, что он допускает также исключения, и установление таких исключений составляет важную теоретическую задачу» [23].
Заметим, что все формы жизни, включая ее самые сложные психологические и социальные формы, являются, быть может, наиболее ярким примером таких исключений.
Энтропия понимается Максом Планком как функция состояния системы, характеризующая направление протекания процесса обмена энергией между системой и окружающей средой, или направление протекания самопроизвольных процессов в изолированной системе [20].
В конце XIX – начале XX века возникает обширная литература, посвященная определению смысла энтропии и выводу формул для ее численного измерения [23]. Благодаря этим работам энтропия получает следующие дополняющие друг друга интерпретации:
1. Энтропия есть мера ценности энергии; ее работоспособности и эффективности. Смысл этого утверждения в том, что с уменьшением энтропии система способна производить большую работу, т. е. заключенная в ней энергия становится ценнее.
2. Энтропия есть мера потери работы вследствие необратимости реальных процессов, т. е. чем больше возрастает энтропия в системе, тем большая часть ее энергии рассеивается в окружающую среду, не переходя в работу.
3. Энтропия есть мера беспорядка, она отражает тенденцию системы к самопроизвольному переходу от состояний менее вероятных к более вероятным.
Но вот обстоятельство, возвращающее нас из мира исследования физических систем к системам психологическим. Из приведенных в табл. 1.1 данных легко заметить почти полную идентичность психофизического закона формулам для численных измерений энтропии. Они не только имеют одно и то же математическое выражение и появляются почти в одно и то же время, но даже имеют одни и те же буквенные обозначения, что само по себе, конечно, курьез.
Важно увидеть за этим совпадением одно из первых доказательств единства законов природы, проявляющих себя на самых разных уровнях ее организации. В психологии это совпадение, в частности, говорит о том, что наше восприятие соотнесено не с величиной действующего раздражителя, а с мерой его упорядоченности в ряду других раздражителей.
Табл. 1. 1
Сравнительно-историческая характеристика создания основных законов в психофизике и термодинамике
Тем не менее факт одновременного рождения основных законов психофизики и термодинамики и почти полного совпадения их математических выражений остался, по сути, не оцененным ни физиками, ни психологами. Только спустя почти столетие, в середине XX века, знаменитый австрийский философ и биолог Людвиг фон Берталанфи выдвинул первую в современной науке обобщенную системную концепцию, задачами которой стали разработка математического аппарата описания разных типов систем, установление изоморфизма законов в различных областях знания и поиск средств интеграции науки.
Карно (Carnot) Николя Леонар Сади (1796–1832), известный французский физик и математик. Сын математика и знаменитого политического деятеля Великой Французской революции, военного министра Наполеона, Лазара Карно. Единственная работа Сади Карно считается основополагающей в термодинамике. Скончался от холеры, всё его имущество, включая научные записи, было сожжено.
Фехнер (Fechner) Густав Теодор (1801–1887). Выдающийся немецкий психолог. Один из основоположников психофизики и экспериментальной психологии. Профессор физики Лейпцигского университета в 1834–1840 гг. В результате болезни глаз и частичной слепоты вынужден был оставить университет. В 1850 г. продолжил научную работу, завершившуюся опубликованием в 1860 г. его главного труда «Элементы психофизики». В этой книге, наряду с основным психофизическим законом, Фехнер обосновал ряд используемых современной психологией точных методов измерений порогов восприятия: метод едва заметных различий; метод истинных случаев и ложных тревог; метод средней ошибки. Наряду с занятиями психофизикой Фехнер опубликовал много работ по философии и экспериментальной эстетике.
Больцман (Boltzmann) Людвиг Эдуард (1844–1906). Великий австрийский физик, один из основоположников статистической термодинамики; профессор университетов Граца, Вены, Мюнхена и Лейпцига, член-корреспондент Петербургской Академии наук (1899). Важнейшая заслуга Больцмана – исследование необратимых процессов и статистическая трактовка второго начала термодинамики. В состоянии депрессии из-за болезни и непонимания научной общественностью его идей окончил жизнь самоубийством. Формула Больцмана S = k · lnW выбита на его памятнике в Вене.
Клаузиус (Clausius) Рудольф Юлиус Эмануэль (1822–1888), выдающийся немецкий физик, один из основателей термодинамики. Учился в Берлинском университете. Профессор университетов в Цюрихе (с 1857 г.), Вюрцбурге (с 1867 г.), Бонне (с 1869 г.).
1.3 Психологическая система Вундта
Взгляды Гегеля, Фехнера и Гельмгольца нашли своеобразное продолжение в работе одного из основателей современной психологии Вильгельма Вундта[9]. В 1879 г. в Лейпцигском университете им была открыта первая в мире лаборатория экспериментальной психологии. Это событие стало поворотным моментом в развитии психологической науки. Однако для Вундта не менее важным было разработать теоретическую систему психологического знания, которую он задумывает по гегелевскому образцу, хотя и не раз критиковал Гегеля в своих философских работах. Система психологии Вундта была впервые полностью изложена им в его книге «Очерк психологии», изданной им в 1896 г. (русский перевод 1897 г.) [5]. Во введении к этой работе Вундт замечает, что до сих пор в истории психологии преобладали два определения понятия психологии. Во-первых, что психология есть «наука о душе», а во-вторых, что психология есть наука о «внутреннем опыте». Этому мнению Вундт противопоставляет утверждение о том, что предметом психологии является непосредственное опытное знание.
В методическом отношении Вундт видит психологию, опирающуюся, подобно естественным наукам, на два точных метода. Первый, экспериментальный, служит для анализа более простых психических процессов; а второй, наблюдение продуктов духовной жизни народов, стоящих на различных уровнях культуры, служит для исследования высших психических процессов и закономерностей их развития.
Как и у Гегеля, система Вундта включает три основных части: учение о психических элементах; учение о связях между этими элементами и продуктах этих связей; и учение о происхождении и законах психической жизни (табл. 1.2).
Табл. 1.2
Схема психологической системы В. Вундта
В первой части Вундт выделяет психические элементы (ощущения и чувствования) и их композиции или производные. И те и другие подвергаются дальнейшей градации.
Ощущения разделяются в количественном (интенсивность) и качественном (модальность) отношениях. Для градации простых чувствований Вундт выдвигает трехмерную теорию, согласно которой простые чувства различаются по параметрам «удовольствие – неудовольствие», «возбуждение – успокоение» и «напряжение – разрядка».
Возникающие на основе психических элементов сложные психические образования Вундт разделяет на представления и душевные движения. Представления, в свою очередь, разделяются на «интенсивные», т. е. такие, в которых каждый элемент связан с другим так же, как и со всяким другим, примером чему служит восприятие отдельного звука или созвучия; пространственные, в которых строгий порядок частей имеет значение только относительно самих этих частей; и временные, в которых порядок следования частей имеет значение как относительно самих частей, так и относительно воспринимающего их субъекта.
Душевные движения или сложные чувствования Вундт также подразделяет на два самых общих класса: интенсивные движения и экстенсивные движения. Под интенсивными чувствованиями он разумеет такие, которые возникают из ощущений, входящих в состав какого-либо представления. Например, чувство ритма или чувство оптической формы, проявляющееся в предпочтении выбора симметричных форм или так называемого золотого сечения. Экстенсивные формы душевных движений Вундт подразделяет на аффекты и волевые процессы. При этом для изучения чувств и их композиций – психических образований (представлений, аффектов и др.) следует опираться на исследование соответствующих им изменений физиологических процессов.
Во второй части своей теории Вундт обращается к проблеме связи между психическими образованиями, которую он называет сознанием. В свойственной ему манере обязательно классифицировать рассматриваемые явления все виды образующих сознание связей он группирует по двум классам, выделяя ассоциации, т. е. связи, устанавливаемые при пассивном состоянии внимания, и апперцепции – связи, которые предполагают активное состояние внимания. Для тех и других Вундт предлагает системно организованную структуру. Ассоциации он предлагает разделять на одновременные и последовательные. Среди одновременных ассоциаций, в свою очередь, следует различать связи между однородными образованиями, или ассимиляции, примером которых могут являться зрительные восприятия величины или удаленности объекта; и ассоциации между разнородными образованиями – компликации, примером которых может быть впечатление, производимое острием кинжала, включающего осязательный и зрительный образы одновременно. Аналогично среди последовательных ассоциаций различаются процессы чувственного узнавания и познания, а также процессы воспоминания.
Апперцептивные связи, считает Вундт, являются основой высших психических функций – воображения и мышления. В их числе он выделяет простые и сложные апперцепции. К числу простых относятся функции отношения и сравнения, а к числу сложных – функции анализа и синтеза. Различное развитие у человека возможностей установления этих связей определяет уровень его способностей, а их высшее совокупное проявление Вундт называет талантом.
Вместе с тем наряду с нормальными состояниями сознания могут существовать и состояния аномальные. Природа таких состояний может заключаться как в изменении самих психических элементов, так и в нарушениях образования связей между элементами. Изменение психических элементов Вундт ограничивает только простыми изменениями чувствительности – анестезиями и гиперстезиями. Но главная роль таких изменений состоит в нарушении нормального образования представлений, примером чему являются иллюзии и галлюцинации. Таким же образом, благодаря изменениям чувствительности, но проявляющимся уже в аффективной сфере, Вундт объясняет состояния депрессии и экзальтации.
Нарушения нормального установления ассоциативных связей, как считает Вундт, происходят прежде всего из-за уже отмеченных нарушений возбудимости и чувствительности. То же влияние изменения психических элементов заметно и на установлении аномальных апперцептивных связей. Однако Вундт допускает и собственное искажение апперцепций, проявляющееся, в частности, в явлениях гипноза.
Особое место в своей системе Вундт отводит анализу видов и форм психического развития человека и развития общества. Язык, миф, обычай складываются как следствие особых форм коллективных апперцепций. Их изучение помогает не только понять природу той или иной культуры, но и уяснить логику самого формирования высших психических функций как таковых.
Завершает систему Вундта учение о законах установления психических связей и законах развития этих связей. В том числе Вундт выделяет три психологических закона отношений: закон творческого синтеза или психических равнодействующих, согласно которому при соединении двух психических элементов возникает нечто новое, а не просто их сумма; закон психического взаимоотношения или относительности психического содержания, примером чему служит закон Вебера; и закон психического контраста, согласно которому чувствования усиливаются при сопоставлении со своей противоположностью.
Рядом с тремя законами отношения, утверждает Вундт, стоит столько же психологических законов развития, которые можно рассматривать как обобщение законов отношения. Среди них выделяются: закон духовного роста, определяющий развитие психики отдельного человека и развитие общества; закон гетерогении целей, отражающий принцип развития, согласно которому действия, вызванные определенными целями, содержат дополнительные следствия, не соответствующие исходным целям и служащие основаниями для формирования новых мотивов; закон развития противоположностей, согласно которому чувствования переходят от одной противоположности к другой, например обманутая сильная любовь может переходить в столь же сильную ненависть и, напротив, после распада брака, основанного на достаточно спокойных отношениях бывших супругов, они нередко сохраняют вполне терпимые отношения между собой.
Таким образом, Вундт завершает логическое построение своей системы, не только включающей классификацию большинства накопленных к этому времени фактов психической жизни, но и содержащей целый ряд рациональных положений, развитых в последующее столетие, хотя будущие поколения психологов редко выводили истоки своих теорий из конструкций его системы.
Судьбы теоретического и организационного вклада Вундта в науку оказались различными. Первая в мире лаборатория экспериментальной психологии и созданный двумя годами позднее на ее основе первый в мире психологический институт принесли Вундту заслуженную известность. В отличие от этого, теоретические взгляды Вундта уже в первой трети XX векa оказались почти забытыми.
Для этого было по крайней мере две причины. Первая, вполне очевидная, заключалась в том, что создание его лаборатории в Лейпциге и публикацию его теории в «Очерке психологии» разделяло 17 лет – срок недопустимо большой для периода бурного роста новой экспериментальной психологии. За это время, в условиях теоретического вакуума, бывшие ученики Вундта уже созрели для того, чтобы предложить собственные научные концепции. Именно теперь они были наименее всего готовы воспринимать что-либо позитивное в запоздалой теоретической схеме бывшего кумира. В результате в последующую эпоху стало расхожим мнение, что Вундт лишь волей случая оказался у истоков новой науки и сам не создал в ней ничего ценного (так нередко считали даже его бывшие ученики, например один из первых американских психологов Стенли Холл) [22].
Другая причина крылась в методологическом несоответствии концепции Вундта своей эпохе. Находясь в самом начале этапа создания современной научной психологии, когда его коллег прежде всего интересовали новые экспериментально подтвержденные факты, Вундт предлагает умозрительную систему психологии. В основе его концепции лежит не какой-нибудь оригинальный психологический принцип (подобный принципам гештальта или либидо, развитым его младшими современниками), а философское представление о системном единстве мира. Это весьма тонко подметил Вильям Джемс, по образному выражению которого система Вундта напоминает червя: если рассечь его на части, каждая из них будет продолжать ползать, так как в системе нет жизненного центра, уколов в который можно с ней покончить [22].
Можно указать на множество аналогий психологической системы Вундта и философской системы Гегеля: это и триадичное построение обеих концепций, и попытка объяснить в единых терминах всю совокупность изучаемых явлений. Законы Вундта – это проекция в психологию гегелевских законов диалектики в статике (законы отношения) и динамике (законы развития). Так, предложенные Вундтом законы творческого синтеза и духовного роста являются психологическим выражением диалектического закона перехода количества в качество; законы психического контраста и развития противоположностей – закона единства противоположностей; законы относительности психического содержания и гетерогении целей – закона отрицания.
Таким образом, несмотря на заслуги Вундта в создании современной экспериментальной психологии, его теоретическая система по своей сути является завершением философского периода развития психологии. Именно на этот, ставший явным анахронизмом умозрительно-философский аспект его теории обратили внимание многие коллеги и ученики Вундта. Системный аспект его теории остался при жизни Вундта почти незамеченным. Теперь, много лет спустя, этот аспект позволяет назвать Вундта одним из предшественников современного системно-психологического движения.
Однако ни Вундт и никто из его коллег (кроме, по-видимому, профессиональных физиков Германа Гельмгольца и Густава Фехнера) не обратил внимания на поразительное сходство ряда недавно установленных психологических законов с законами и постулатами родившейся на их глазах новой физической дисциплины – термодинамики, в рамках которой расплывчатые прежде системные идеи впервые обрели черты строгой научной концепции и четких научных понятий [17].
Вундт (Wundt) Вильгельм (1832–1920). Виднейший немецкий психолог, основатель экспериментальной психологии. С 1864 по 1874 г. Вундт был профессором физиологии в Гейдельбергском университете. В конце этого периода он публикует свою наиболее известную работу «Основы физиологической психологии», заложившую основу для развития психологии в качестве самостоятельной науки. С 1875 г. до конца жизни Вундт работал профессором философии в Лейпцигском университете. Здесь в 1879 г. он открыл первую в мире лабораторию экспериментальной психологии, преобразованную в 1881 г. в Институт психологии. В этом же году Вундт основал новый журнал «Философские учения», в котором публиковались сообщения о психологических работах, проводившихся в его институте (позднее журнал был переименован в «Психологические учения»). С середины 1880-х по середину 1890-х гг. Вундт главным образом работал над проблемами философии, правда, продолжая читать лекции по психологии, пользовавшиеся исключительным вниманием у слушателей. Лишь в 1896 г. он возвращается к проблемам психологической теории, публикуя книгу «Очерк психологии», в которой впервые последовательно излагает принципы своей психологической системы. Однако этот труд Вундта уже не имел того научного резонанса, который сопровождал появление его более ранних психологических работ. Тем не менее Вундт считал работу по созданию основ экспериментальной психологии в основном выполненной. Последние 20 лет жизни он посвящает второй части своей научной программы – разработке культурно-исторической психологии, названной им «Психология народов». С 1900 по 1920 г. вышло 10 томов этого грандиозного труда, едва замеченного научной общественностью.
1.4 Системное движение в Новейшее время
Годы жизни Вундта совпали с кризисом классической науки и, более широко, с повсеместным торжеством позитивистской гносеологической традиции, обусловившим столь глубокие преобразования всех сторон жизни общества, что последующая эпоха получила название Новейшего времени. Изменение превалирующей в обществе ведущей гносеологической традиции – процесс не только весьма болезненный, но и длительный. Состоявшийся несколькими столетиями ранее переход eвропейской цивилизации от теологической традиции к философской продолжался почти 150 лет. Благодаря этому и сейчас часть историков датирует начало Нового времени рубежом XV–XVI веков, связывая его с эпохой Великих географических открытий, высокого Возрождения в Италии и началом Реформации в Германии.
В то же время другая часть специалистов указывает иную дату – середину XVII века. Именно тогда в Европе завершилась кровавая череда религиозных войн, в Англии утвердилось верховенство парламента и закона и повсеместно стали заметны ростки нового рационалистического мышления.
Между этими датами стоят полтора столетия, заключающие в себе первый глубочайший кризис европейского сознания. И различие между историками заключается лишь в том, принимают ли они за точку отсчета начало или конец этого кризиса.
Второй, не менее глубокий кризис общественного сознания, был связан с переходом к позитивистской гносеологической традиции в середине XIX века. Его отправной точкой стало завершение классического периода европейской философии и начало нового этапа общеевропейской промышленной революции. Завершение же этого кризиса пришлось на первую половину XX века. Оно было подготовлено великими преобразования в физике, сделанными Альбертом Эйнштейном и его коллегами, и новым витком технической революции. Масштабы этой революции и ее последствия для научного мышления оказались вполне сопоставимыми с переменами ньютоновских времен. Увеличивало сходство эпох и то обстоятельство, что, хотя новая научная революция не могла бы осуществиться без деятельности целой плеяды выдающихся теоретиков физики – М. Планка, В. Лоренца, Н. Бора и др., тем не менее, главные преобразования связывались с одной личностью – Эйнштейном[10].
Сущностью переворота в физических науках стал отказ от абсолютной детерминированности ньютонианской системы мира и понимание принципиальной относительности всех происходящих в мире явлений. Оказалось, что одно и то же явление приобретает совершенно разные характеристики в разных системах отсчета и объективные законы, выведенные прежней наукой, – не более чем частный случай гораздо более общих закономерностей. В этих условиях сам принцип объективности научного исследования стал подвергаться сомнению, поскольку любой познавательный процесс оказался зависим от точки зрения осуществляющего этот процесс субъекта. Популярность пришла к А. Эйнштейну в 1919 г., когда сделанный им задолго до того расчет искривления траекторий солнечных лучей, проходящих вблизи тела большой массы, блестящим образом оправдался и был подтвержден многими астрономами, наблюдавшими это искривление вблизи поверхности Луны во время полного солнечного затмения. Этот расчет основывался на предположении об искривлении пространства вблизи тел большой массы и являлся наглядной иллюстрацией принципа всеобщей относительности. Последующие годы стали временем утверждения взглядов Эйнштейна в физике и постепенного проникновения «духа релятивизма» в другие научные дисциплины, хотя в психологии относительность изучаемых явлений получила признание только в последней трети века.
Сравнение исторических эпох позволяет увидеть аналогию между трагическим развитием ситуации в Европе в тридцатилетие между началом Первой и окончанием Второй мировой войны (1914–1945) и эпохой Тридцатилетней войны (1618–1648). Обе эпохи объединяет основанная на идеологическом антагонизме крайняя ожесточенность противостояния сторон и вовлеченность в конфликт большинства европейских наций.
Временные рамки второго кризиса, так же как и первого, – около 120–150 лет. Верхняя граница этого времени обозначает наступление новой общественной эпохи – Новейшего времени, которое продолжается до наших дней[11]. Характерным признаком научного мышления Новейшего времени стал возврат к заложенному Гегелем пониманию системной сущности происходящих в мире процессов и, как следствие, формирование системного движения в общественных и естественных науках.
Для общественных наук это было возрождение утраченной после Гегеля традиции. Предшествующий этап их развития был связан с расцветом иррационалистического направления, представленного именами Шопенгауэра и Ницше, и, одновременно, развитием социологических (Макс Вебер), социально-экономических (К. Маркс) и социально-психологических теорий (Герберт Спенсер). В XX веке все эти направления получили дальнейшее развитие уже как элементы политических доктрин, а образовавшийся философский вакуум был заполнен нравственно-этическими учениями Ж.-П. Сартра, С. Кьеркегора и др. Однако выступить арбитром при решении принципиальных вопросов науки, например, в споре релятивистской и нерелятивистской физики, ни экзистенциализм, ни другие субъективистские течения философской мысли не смогли.
Одной из первых попыток найти общее методологическое решение многочисленных проблем, поставленных перед наукой XX веком, стала «всеобщая организационная наука», или «тектология» (от греческого «строю»), предложенная известным русским философом, писателем и политическим деятелем А. Богдановым[12]. Задачей тектологии Богданов видел разработку общих способов организации различных элементов, из которых состоит мир, в единое целое. Исходным пунктом всякого организационного процесса, по мысли Богданова, является конъюгация (соединение) элементов. В то же время организованный комплекс сопротивляется всякому разъединению и изменению [3].
Богданов выдвигает теорию равновесия, согласно которой всё существующее представляет собой сменяющие друг друга состояния подвижного равновесия, устанавливающегося в результате столкновения различно направленных сил. Тектология различает механизм формирующий и механизм регулирующий системы. Основой формирующего механизма является конъюгация, соединение элементов непосредственно или через посредство какого-либо третьего элемента (ингрессия); основой регулирующего механизма является подбор новых состояний системы.
Состояния равновесия сменяются состояниями нарушения равновесия или кризисами, изучение которых составляет задачу организационной диалектики. Основываясь на этих положениях, Богданов рассматривает несколько схем развития, которые, нося универсальный характер, могут быть применены к различным природным и общественным процессам. Так, в частности, он полемизирует с К. Марксом и В. И. Лениным, считая, что разделение общества на классы происходит в зависимости не от владения средствами производства, а от владения организационным опытом. Классы возникают в результате выделения в родовой общине патриарха-организатора; господствующим классом является класс организаторов производства; путь же к уничтожению классов лежит не через завоевание власти, а через усвоение организационного опыта всеми представителями общества, т. е. прежде всего благодаря эффективной образовательной системе.
Разумеется, в 1917-м и последующих годах такая точка зрения не встречала понимания в Советской России. Близко знавший Богданова В. И. Ленин неоднократно и резко критиковал его научные взгляды, хотя, по-видимому, относился к нему с уважением благодаря высоким нравственным качествам А. Богданова и его несомненным таланту и отваге. Тем не менее, несмотря на множество оригинальных и, безусловно, интересных идей, во многом предвосхитивших будущие принципы системологии и кибернетики (принцип обратной связи), учение А. Богданова оказалось преданным забвению у себя на родине, оставаясь практически неизвестным для западных исследователей. Лишь в последние годы, благодаря деятельности его сына, известного специалиста в области теории системного анализа А. А. Малиновского, труды А. Богданова получают свое второе рождение.
Иную судьбу имела созданная несколькими десятилетиями позднее, но весьма близкая по духу тектологии «общая теория систем», ставшая новой междисциплинарной областью науки, изучающей поведение и взаимодействие различных систем в природе и обществе. Основные положения этой теории были сформулированы ее автором, Людвигом фон Берталанфи[13], накануне Второй мировой войны. Кратко они утверждали следующее: «Существуют модели, принципы и законы, которые применимы к обобщенным системам, или к подклассам систем, безотносительно к их конкретному виду, природе составляющих элементов и отношениям, или силам, между ними… Общая теория систем представляет собой логико-математическую область исследований, задачей которой является формирование и выведение общих принципов, применяемых к системам вообще. Осуществляемая в рамках этой теории точная формулировка таких понятий, как целостность и сумма, дифференциация, централизация, иерархическое строение, финальность и эквифинальность, позволяет сделать эти понятия применимыми во всех дисциплинах, имеющих дело с системами, и установить их логическую гомологию» [2].
В середине XX века Берталанфи предлагает математическое описание системных параметров (целостность, эквифинальность и др.), с помощью одновременных дифференциальных уравнений. Эти уравнения он называет динамическими или уравнениями движения, полагая, что их совокупность дает полное описание поведения любой системы.
Берталанфи особенно отмечает тот факт, что системные законы проявляются в виде аналогий или «логических гомологий», законов, представляющихся формально идентичными, но относящимися к совершенно различным явлениям или дисциплинам. Занимаясь биологической проблематикой, Берталанфи иллюстрирует эти положения примерами, взятыми из биологии, типа аналогии между центральной нервной системой и сетью биохимических клеточных регуляторов. Очевидно, что подобным примером служит и приведенная ранее аналогия между психофизическими и термодинамическими закономерностями. Не менее важным аспектом теории систем является решение проблемы устойчивости, т. е. реакции системы на деформацию. Для решения этой проблемы Берталанфи также предложил математический метод, опирающийся на анализ описывающих систему дифференциальных уравнений.
В шестидесятые годы область интересов Берталанфи смещается в сторону «системной философии», которую он понимает как «новую философию природы», заключающуюся в организмическом взгляде на мир как на «большую организацию» и представляющую новую парадигму науки. В 1950-1960-е годы поток системной литературы многократно возрастает. Наряду с публикацией новых работ Берталанфи и близких к нему по духу работ Акоффа, Эшби и др. развивается так называемое системотехническое направление, целью которого является практическое применение принципов системного анализа при организации сложных объектов, типа городской транспортной структуры или животноводческой фермы.
Тенденция к созданию метанаучных системных концепций проявляет себя не только в развитии новых дисциплин, но и во вновь обостряющемся внимании к концептуальным проблемам физики макропроцессов и термодинамике. Примером этого является концепция А. И. Вейника, главный постулат которой – существование пяти основных законов (состояния, диссиципации и др.), описывающих общие закономерности природы, вне зависимости от уровня системного анализа – механического, биологического или социального. Используя понятия обобщенного потенциала системы и ее энергетического заряда, А. И. Вейник предложил ряд формальных закономерностей (систему дифференциальных уравнений состояния системы), дающих описание любой макросистемы [4]. Элементарные законы статики и динамики макросистем различного уровня (законы Ома, Фурье, Джоуля – Ленца и др.) при этом оказываются частными случаями обобщенных закономерностей. Теория А. И. Вейника была предложена в середине 1960-х годов и с тех пор не раз становилась объектом критики ввиду присутствия в ней ряда не вполне обоснованных выводов (например, о роли понятия «энтропия» для развития термодинамики). Вместе с тем некоторые из содержащихся в ней положений вполне могут заинтересовать исследователя, работающего далеко за пределами физической теории.
В семидесятые годы системный подход воспринимается уже как магистральное направление науки, а системное движение выдвигает требование интегрировать всю совокупность знаний о системах в единую науку – «системологию». Продолжая путь, начатый Берталанфи, системология в начальный период развития уделяет много внимания совершенствованию своей методологии и категориального аппарата, чему во многом способствуют труды советских философов – М. И. Сетрова, В. Н. Садовского, А. И. Юдина и др. [17]. В результате их деятельности к середине семидесятых годов системология складывается как общефилософская дисциплина, постепенно принимающая на себя ту роль, которую до середины XIX века играла рационалистическая философия.
Во второй половине 1970-х годов круг системологических исследований расширяется на всю область естественных наук и охватывает практически все явления природы, от уровня простейших организмов до Вселенной. Одновременно продолжает совершенствоваться математический аппарат системных исследований и моделей поведения сложных экологических и биологических систем, что хорошо видно на примере опубликованных в эти годы работ Б. С. Флейшмана «Основы системологии» [18], В. Г. Дружинина и Д. С. Конторова «Проблемы системологии» [11], содержащих развернутое описание понятийного аппарата и аксиоматики системологии.
Завершением этого процесса становится развитие синергетики – обобщающей науки, представляющей проекцию системологических взглядов на область неравновесных и необратимых процессов (к которым относится подавляющее большинство природных процессов). Синергетика (от греч. «совместное действие») как междисциплинарное научное направление, изучающее закономерности процессов самоорганизации в сложных системах, сложилось к середине 1970-х годов благодаря деятельности выдающегося физика конца XX века Германа Хакена[14] и Нобелевского лауреата Ильи Пригожина. Синергетика представляет мир как подвижную неравновесную систему, гармонически сочетающую случайные и стабильные структуры, связанные сложной сетью положительных и отрицательных обратных связей. Г. Хакен выделяет три общих черты всех сложных систем, изучаемых синергетикой. Во-первых, они являются открытыми, т. е. обмениваются с окружающей средой веществом или энергией. Во-вторых, они подвержены внутренним и внешним колебаниям и способны в процессе собственной эволюции утрачивать устойчивость и становиться нестабильными, претерпевая качественные изменения. В-третьих, в ходе эволюции они приобретают новые свойства и в них самопроизвольно возникают пространственные и функциональные структуры, как упорядоченные, так и неупорядоченные [19].
Любое научное исследование начинается с описания состояния изучаемой системы. Однако если система состоит из очень большого количества элементов, точное описание всех их параметров становится невозможным. В таком случае прибегают к некоторым усредненным характеристикам. В физике ими могут быть, например, давление газовой среды или ее температура, в социальных науках – уровень экономического развития страны и т. п. В результате точность описания состояния системы неизбежно снижается. В отличие от большинства других дисциплин, синергетика изучает не параметры состояния, а параметры порядка систем. Основной принцип синергетики, принцип подчинения, гласит: все параметры состояния целиком и полностью определяются параметрами порядка и подчинены им. Но поскольку параметров порядка значительно меньше, чем параметров состояния, то переход к синергетическому описанию систем приводит к сжатию информации, позволяя более экономными средствами получать более точное знание.
Синергетика выдвинула ряд научных принципов и создала соответствующий математический аппарат, позволяющий моделировать процессы эволюции в биологических и социальных самоорганизующихся системах. При этом, наряду с решением фундаментальных научных проблем, ей уже удалось получить ряд практически ценных медико-биологических результатов.
В настоящее время синергетика является ключевой дисциплиной, в рамках которой осуществляется синтез естественнонаучного и гуманитарного мышления, соединяющий физику и математику, с одной стороны, и биологию и психологию – с другой.
Весьма близкие к синергетике идеи высказал известный бельгийский физик-теоретик русского происхождения Илья Пригожин[15]. Его внимание привлекли так называемые необратимые процессы, которые прежде, как правило, рассматривались как помехи при изучении равновесных, обратимых процессов. Тем не менее именно в необратимых процессах могут самопроизвольно возникать новые типы структур и происходить переходы от неупорядоченных структур к упорядоченным. Могут возникать новые динамические состояния системы, отражающие ее взаимодействие с окружающей средой [15].
Такие структуры Пригожин назвал диссипативными, имея в виду роль, которую играют в их возникновении процессы рассеяния энергии, диссипации. В своей теории Пригожин описал модель диссипативных структур с помощью нелинейных функций времени, характеризующих способность систем обмениваться веществом и энергией с внешней средой и самопроизвольно восстанавливать свою устойчивость. При этом время оказалось связанным со степенью сложности системы.
Подтверждением теории Пригожина на уровне неживой материи стали так называемые «химические часы» – колебательные химические реакции. В этих реакциях жидкость меняет свой свет через равные промежутки времени без внешнего воздействия. Согласно классической теории, взаимные превращения двух веществ должны приводить к усредненному цвету раствора. Однако реально через определенный промежуток времени в растворе генерируется своеобразный сигнал, по которому все молекулы реагируют одновременно.
Возвращаясь к термодинамическому описанию систем, И. Пригожин говорит: «Длительное время термодинамика интересовалась главным образом изолированными системами, находящимися в состоянии равновесия. Сегодня ее интерес сместился в сторону неравновесных систем, взаимодействующих со средой и обменивающихся с ней потоками энтропии. Это взаимодействие означает, что мы имеем дело с „погруженными“ системами. Тем самым предмет рассмотрения сразу сближается с объектами вроде городов или живых систем, которые могут существовать только благодаря погруженности в соответствующую среду» [14]. Сложность не рассматривается более как исключительная черта биологии или наук о человеке в обществе, замечает Пригожин, она проникает и в физические науки, оказываясь феноменом, имеющим глубокие корни в законах природы. Важнейшим следствием этой ситуации является возможность переноса нового теоретического инструментария, разрабатываемого в математической физике, в биологию и социально-гуманитарные науки. Тем самым размывается традиционное различение «точных» (hard) и «качественных» (soft) наук.
Богданов (Малиновский) Александр Александрович (1873–1928). Известный российский философ-системолог и общественный деятель. Окончил медицинский факультет Харьковского университета. На рубеже ХХ века Богданов был одним из активнейших членов социал-демократического движения, ближайшим сподвижником и другом В.И. Ленина. Неоднократно избирался на руководящие должности большевистской партии, в 1905 г. организовал первую легальную большевистскую газету. В 1909 г., по идеологическим соображениям, Богданов отошел от большевизма и прекратил свое участие в революционном движении, посвятив себя научным и литературным занятиям. В 1913 г. выходит первая часть его главного труда «Всеобщая организационная наука (Тектология)». Две остальных части выйдут в 1917 и 1922 гг. В годы Первой мировой войны Богданов служил на фронте военным врачом. В 1926 г. стал основателем и директором Института переливания крови в Москве. Скончался после неудачного эксперимента, сделав себе переливание крови больного человека.
Берталанфи (Bertalanffy) Людвиг фон (1901–1972). Знаменитый австрийский философ и биолог-теоретик, создатель «общей теории систем». Получил биологическое образование в Венском университете. С 1934 по 1948 г. работал в Венском университете. С 1949 г. работал в различных университетах США и Канады. Предложенный им метод анализа открытых эквифинальных систем дал возможность широко использовать в биологии идеи термодинамики и кибернетики. Берталанфи выдвинул первую в современной науке обобщенную системную концепцию, задачами которой стали разработка математического аппарата описания разных типов систем, установление изоморфизма законов в различных областях знания и поиск средств интеграции науки. Создал в 1954 г. «Общество по исследованиям в области общей теории систем» и его ежегодник General Systems. В 1972 г. за вклад в развитие фундаментальной науки Берталанфи был номинирован на присвоение Нобелевской премии, и только скоропостижная кончина помешала этому.
Хакен (Haken) Герман (р. в 1927 г.) Современный немецкий физик и математик, создатель новой научной дисциплины – синергетики. Изучал физику и математику в университетах Галле и Эрлангена. С 1960 г. – профессор Штутгартского университета. В 1973 г. Хакен предложил название «синергетика» для обозначения научного направления, занимающегося изучением процессов самоорганизации в системах самого различного порядка, от согласованного (когерентного) поведения атомов при работе лазера до образования согласованно работающих нейрональных ансамблей мозга человека и формирования общественного мнения в социуме. Герман Хакен – почетный член многих иностранных академий и научных сообществ, имеет ряд почетных наград за исследования сложных самоорганизующихся систем. Значительная часть последних работ Хакена посвящена синергетике биологических и психологических явлений.
Пригожин Илья Романович (1917–2003). Выдающийся физик и химик конца XX века, создатель неклассической термодинамики. Пригожин родился в Москве. Его отец был инженером-химиком, а мать – пианисткой. В 1921 году семья Пригожиных эмигрировала из России. Пригожин закончил химический факультет Свободного университета в Брюсселе. С 1947 г. работал профессором физической химии в Свободном университете, посвятив себя изучению термодинамики неравновесных процессов. Итогом его работы стало создание неравновесной или неклассической термодинамики, позволяющей описывать самые различные самоорганизующиеся структуры, от движения молекул до экономических, биологических и социальных процессов. В 1967 г., продолжая работать в Брюсселе, Пригожин был назначен директором Центра статистической механики и термодинамики, основанном им при Техасском университете в США. В 1977 г. ему была присуждена Нобелевская премия по химии за работы по термодинамике необратимых процессов и их использование в химии и биологии. Илья Пригожин был избран иностранным членом Российской Академии Наук, в 1980-1990-е гг. он неоднократно приезжал в Россию.
Эйнштейн (Einstein) Альберт (1879–1955). Один из величайших физиков XX века. С 1909 г. работал профессором в университетах Цюриха и Берлина. В этот период он завершил создание общей теории относительности и получил в 1921 г. Нобелевскую премию по физике. В 1933 Эйнштейн эмигрировал в Америку.
Теория относительности объединила в рамках единой физической концепции понятия пространства, времени и тяготения. Одно из ее основных положений – полная равноправность всех инерциальных систем отсчета – лишила содержания понятия абсолютного пространства и абсолютного времени ньютоновской физики. На основе этих представлений Эйнштейн вывел новые законы движения, сводящиеся в случае малых скоростей к законам Ньютона. В 1906 г. Эйнштейн предложил знаменитое соотношение массы тела m, его энергии Е и скорости света в вакууме с: Е = mc2. В созданной позднее общей теории относительности Эйнштейн предложил идею зависимости геометрии пространства – времени и гравитационного поля. Работы Эйнштейна оказали воздействие на всю науку и, более широко, культуру второй половины XX века. Они изменили господствовавшие со времен Ньютона механистические взгляды на природу и утвердили новую картину мира, основанную на понимании неразрывной связи субъекта и объекта наблюдения. Отзвуки этих идей можно найти в отказе от многих механистических идей в психологии этого периода и признании психологией принципа системной обусловленности психических явлений.
Дискуссия по вопросу о периодизации Новейшего времени продолжается и сегодня (см., например, Маныкин А.С. Новая и Новейшая история стран Западной Европы и Америки. – М.: Филол. О-во «СЛОВО»; Эксмо, 2004). В ряде работ началом Новейшего времени принято считать окончание Первой или даже Второй мировой войны – 1918 или 1945 г. соответственно. Предлагаются и другие даты, например, в советской историографии было принято считать началом Новейшего времени 1917 г., имея в виду революцию в России.
1.5 Системный аспект гештальтпсихологии
В первой трети XX века большинство психологов разделилось среди многочисленных школ и направлений, каждое из которых по-своему понимало предмет и методы психологической науки. В своем большинстве школы преувеличивали роль того или иного частного аспекта развития психики, что не только затрудняло их взаимопонимание, но, в конечном итоге, неизбежно приводило к самоизоляции. В результате в то время, как некоторые из школ психологии, например структурная школа, или функционализм, достигнув кратковременного расцвета, вскоре стремительно теряли число своих сторонников, другие направления, например психоанализ, превращались в подобие религиозного культа. Весьма примечательно, что именно в эти годы появляется новое направление, чьим кредо, напротив, становится общность законов внешнего, физического и внутреннего, психического миров. Этим направлением становится гештальтпсихология, до сих пор оставляющая впечатление некоторой неразгаданности и незавершенности.
Время наибольшего расцвета гештальтпсихологии – двадцатые годы XX века – эпоха бурного прогресса психологической науки, плодотворное для многих ее отраслей и направлений. Но уже в этот период гештальтпсихология привлекает к себе внимание строгой обоснованностью своих положений, повторяемостью результатов и их независимостью от субъективного фактора, что выгодно отличает эту школу от
