Gold trader. The Relationship Between Even Powers of the Gaussian Integral, the Gamma Function, and Fibonacci Levels
Қосымшада ыңғайлырақҚосымшаны жүктеуге арналған QRRuStore · Samsung Galaxy Store
Huawei AppGallery · Xiaomi GetApps

автордың кітабын онлайн тегін оқу  Gold trader. The Relationship Between Even Powers of the Gaussian Integral, the Gamma Function, and Fibonacci Levels

Vitaly Fartushnov

Gold trader

The Relationship Between Even Powers of the Gaussian Integral, the Gamma Function, and Fibonacci Levels






12+

Оглавление

Even powers of the Gauss integral connection with the gamma function

The relationship between even powers of the Gauss integral and the gamma function is expressed as follows:

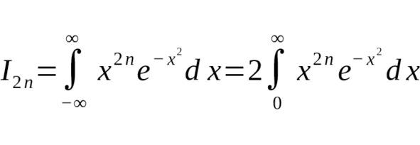
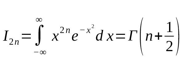
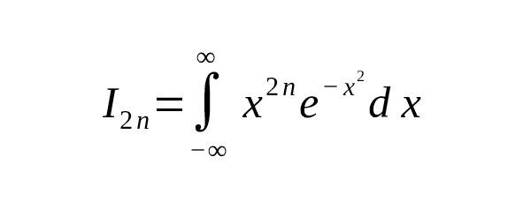
Let us consider an integral of the form

where is an even degree.

This integral is expressed in terms of the gamma function as follows:

or, using the properties of the gamma function:

Replacing the variable $ t = x^2 $ leads to the gamma function:

Thus,

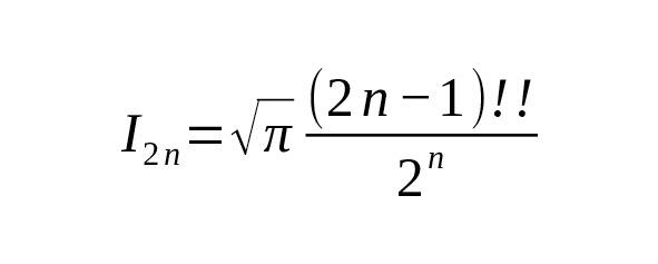
— Even moments of the Gaussian integral are expressed through the gamma function of a half-integer argument.

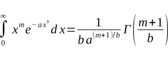
— For the general case: where for standard Gauss $ m=2n,,a=1,,b=2 $ [1] [2].

This shows the direct connection between even powers of the Gauss integral and the values of the gamma function, and explains why the values for half-integer arguments are expressed in terms of $ \sqrt {\pi} $ [1] [2].

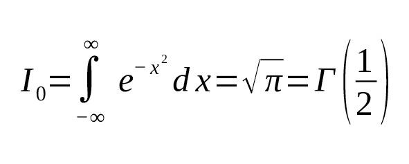
— For example, for $ n=0 $ (that is, the standard Gauss integral):

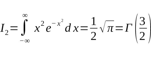
— For $ n=1 $:

That is, the values of even Gaussian moment integrals are directly expressed through the gamma function for half-integer arguments [1] [2].

Examples of use :


List the literature on this topic

The main sources on the topic of Gauss integrals with even powers and related topics of quadratures, calculations and applications are:

— Fichtenholz G.M. «Course of Differential and Integral Calculus», v.2. Classic textbook, examines in detail Gaussian integrals, their properties and calculations [3].

— Kraynov V.A. «Numerical Methods for Calculating a Definite Integral». The manual examines methods for exact and approximate calculation of integrals, including Gaussian integrals, discusses accuracy for even-degree polynomials, and provides formulas [4].

— Fedotov AA «Numerical methods of integration». Modern manual with practical examples of numerical calculation of Gaussian integrals and their applications [5].

— Pastukhov D.F. «Gauss quadratures. Integral equations». Methodical instructions for the construction and application of Gauss quadrature formulas for calculating integrals of polynomials even of high degree [6].

— Dobrynina S.V. «Quadrature and cubature formulas». The manual contains practical tasks and analysis of the rules of approximate integration, including Gauss’s formulas for integrals with weights and polynomials [7].

— Arushanyan I.O. «Algorithms for approximate calculation of integrals». Methods for calculating integrals with various degrees of accuracy are discussed, including the use of even powers in Gaussian integrals [8].

These books and manuals are suitable for an in-depth study of the calculation and theory of Gaussian integrals, their properties and applications.


Theoretical foundations of quadrature formulas

Quadrature formulas are a classic mathematical tool for the approximate calculation of definite integrals over function values at a finite number of points. Their main purpose is to replace the calculation of the integral with a sum, where the coefficients and choice points (nodes) are selected to achieve maximum accuracy on a certain class of functions [9] [10] [11].

General

...

Ұқсас кітаптар