автордың кітабын онлайн тегін оқу Теория и практика аргументации
Информация о книге
УДК 164.03(075.8)
ББК 87.4я73
И25
Ивлев Ю. В.
Предлагаемая книга — учебник, который написан на основе чтения курса в МГУ им. М. В. Ломоносова на отделениях по связям с общественностью, философии и религиоведения. Под аргументацией понимается обоснование каких-либо знаний посредством других знаний или фактических данных и средств логики. Описываются факторы неаргументативного характера, влияющие на принятие тех или иных знаний за обоснованные (прагматические, психологические и риторические).
Содержит примеры аргументаций, упражнения, программу, вопросы для самопроверки (и проверки) знаний, критерии научности и ненаучности знания, методологию решения проблем и оформления результатов научной работы.
Для студентов, аспирантов и всех, кто проводит или оценивает аргументацию (политиков, юристов, народных заседателей и др.).
УДК 164.03(075.8)
ББК 87.4я73
© Ю. В. Ивлев, 2014
© ООО «Проспект», 2014
Предисловие
Современная ситуация в общественной жизни отчасти сходна с положением дел в Древней Греции. Сходство заключается в том, что граждане большинства государств имеют право, по крайней мере формальное, участвовать в решении государственных вопросов, например посредством голосования. Вместе с тем методы формирования убеждений за истекшие более чем две тысячи лет усовершенствованы многократно, особенно в связи с возникновением новых средств массовой информации и воздействия на человека. Кажется, что в данной ситуации обучению теории и практике аргументации должно уделяться большее внимание, чем в Древней Греции, где на это отводилось четыре года. Однако в России лишь в последние годы студентам отделений и факультетов философии, политологии, связей с общественностью (PR) и некоторых других читаются соответствующие обязательные курсы. По этим курсам нет учебника, хотя статей, монографий и учебных пособий за последние годы издано много (как переводных, так и отечественных).
Предлагаемая книга — учебник, который написан на основе чтения курса в МГУ им. М. В. Ломоносова на отделениях по связям с общественностью, философии и религиоведения. Он содержит примеры аргументаций, упражнения, программу, а также вопросы для самопроверки (и проверки) знаний.
Требует пояснения название учебника. Прежде всего, в каком смысле здесь употребляется слово «теория»? Под теорией понимается учение, т. е. теория аргументации — учение об аргументации. Обсуждаются вопросы, относящиеся к практике аргументации — к применению приемов аргументации в различные периоды истории общества и в современном мире, а также в процессе и в результате изучения названной учебной дисциплины (например, даются рекомендации по проведению тренингов).
Аргументацией называется обоснование каких-либо знаний посредством других знаний или фактических данных и средств логики. Под знанием понимается не только то, что может быть выражено в качестве суждений, но и — в качестве норм, оценок, приказов, решений, проблем, гипотез, концепций и т. д. В учебнике описываются некоторые факторы неаргументативного характера, влияющие на принятие тех или иных знаний за обоснованные. Эти факторы частично можно сопоставить с катализаторами и ингибиторами в химии1. Факторы неаргументативного характера способствуют или препятствуют проведению аргументации, а часто и заменяют ее.
Приводятся критерии научности и ненаучности знания.
Замечание. Деятельность по формированию убеждений относится к области искусства, а не ремесла. По этой причине изучение методологии и правил аргументации не является достаточным основанием для владения этим искусством. Необходимо творчество. Вместе с тем без знания теории аргументации и без обладания практическими навыками аргументации невозможно успешно вести эту деятельность.
Предложение читателям: если вы наблюдали какие-либо из описанных в книге приемов, сообщите об этом автору учебника по адресу электронной почты logic@philos.msu.ru. Наиболее интересные случаи будут опубликованы в следующем издании книги с указанием их авторов.
[1] Первые ускоряют реакцию, а вторые замедляют. Впрочем, иногда те и другие называют катализаторами.
Введение.
Практика и теория аргументации в различные исторические периоды
Учение об аргументации возникло в 1-м тыс. до н. э. в Индии и Греции как ответ на запросы общественной жизни.
В Древней Индии в этот период существовали различные философские школы и религиозные учения. Дискуссии между ними были постоянным явлением. Об этом пишет известный русский востоковед академик В. Васильев: «Если явится кто-нибудь и станет проповедовать совершенно неизвестные дотоле идеи, их не будут чуждаться и преследовать без всякого суда: напротив, охотно будут признавать их, если проповедник этих идей удовлетворит всем возражениям и опровергнет старые теории. Воздвигали арену состязания, выбирали судей и при споре присутствовали постоянно цари, вельможи и народ; определяли заранее, независимо от царской награды, какой должен был быть результат спора. Если спорили только два лица, то иногда побежденный должен был лишать себя жизни — бросаться в реку или со скалы, или сделаться рабом победителя; перейти в его веру. Если то было лицо, пользовавшееся уважением, например, достигшее звания вроде государева учителя и, следовательно, обладавшее огромным состоянием, то имущество его отдавалось часто бедняку в лохмотьях, который сумел его оспорить. Понятно, что эти выгоды были большой приманкой для того, чтобы направить честолюбие индийцев в эту сторону. Но всего чаще мы видим (особливо впоследствии), что спор не ограничивался личностями, в нем принимали участие целые монастыри, которые вследствие неудачи могли исчезнуть вдруг после продолжительного существования. Как видно, право красноречия и логических доказательств было до такой степени неоспоримо в Индии, что никто не смел уклониться от вызова на спор»2.
В Брихадараньяка-упанишаде описывается случай, когда правитель назначил награду победителю религиозной дискуссии в тысячу коров, к рогам каждой из которых привязал по десять монет.
Информация о дискуссиях содержится в эпосе «Махабхарата» и других произведениях. Специального фундаментального исследования по практике и теории аргументации в Древней Индии до сих пор нет.
Интерес к разработке учения об аргументации в Древней Греции, особенно в Афинах, был обусловлен запросами практики судебных и политических дискуссий. Искусство аргументации применялось для принуждения больших масс людей (демоса) принимать те или иные решения. Искусством убеждения масс в V в. до н. э. прославился афинский военный и политический деятель Перикл, получивший прозвище «Олимпиец» за ораторские способности. Перикл искусно владел стратегией и тактикой аргументации3. На этапе борьбы за власть он призывал к свободе. Ему удалось преодолеть ареопаг и изгнать своего главного политического соперника Кимона4 посредством остракизма. Перикл получил власть практически над всей Грецией. После этого он сменил демократическую политику на аристократическую. В оба периода Перикл редко выступал перед народом, чтобы народ не пресытился его речами. «...Он появлялся среди народа лишь по временам, говорил не по всякому делу и не всегда выступал в Народном собрании, но приберегал себя... для важных дел, а все остальное делал через своих друзей и подосланных им других ораторов»5.
«...Перикл, как говорят, не только усвоил себе высокий образ мыслей и возвышенность речи, свободную от плоского, скверного фиглярства, но и серьезное выражение лица, недоступное смеху, спокойная походка, скромность в манере носить одежду, не нарушаемая ни при каком аффекте во время речи, ровный голос и тому подобные свойства Перикла производили на всех удивительно сильное впечатление. Так, например, какой-то подлый нахал однажды целый день его бранил и оскорблял; он молча терпел это на площади, заканчивая в то же время какое-то неотложное дело; вечером он скромно пошел домой, а тот человек шел за ним и осыпал его всякими ругательствами. Перед тем как войти в дом, когда было уже темно, он велел своему слуге взять светильник и проводить этого человека до самого его дома»6. «...Перикл был осторожен в речах и, идя к ораторской трибуне, молил богов, чтобы у него против воли не вырвалось ни одного слова, не подходящего к данному делу»7.
Речи Перикла не сохранились, но есть свидетельство, что «произнося с трибуны надгробную речь в память граждан, павших на Самосе, назвал их бессмертными подобно богам. «Ведь и богов мы не видим, — сказал, — но по тем почестям, которые им оказывают, и по тем благам, которые они нам даруют, мы заключаем, что они бессмертны; эти черты свойственны и тем, которые погибли в бою за отечество»8.
В Древней Греции прослеживаются две линии в развитии теории и практики аргументации: диалектическая и эристическая, или софистическая.
Под софистикой понималось искусство ведения спора с применением специальных приемов — уловок, которые позволяют побеждать в споре независимо от того, прав тот, кто ведет спор, или неправ. «Софистика» происходит от слова «софос» — «мудрец». Первоначально это слово употреблялось в положительном смысле, а затем в отрицательном. Можно пояснить это путем сравнения. В русском языке есть выражения, посредством которых характеризуют человека: мудрый и мудреный. Таково соотношение названий софистов в первоначальном смысле слова и в смысле, придаваемом этому слову позже.
Наряду с другом Перикла — философом Протагором, первым открывшим школу искусства спора и написавшим книгу «Наука спора», основателем софистики считают Горгия, который жил в V в. до н. э. сначала на Сицилии, а потом в Афинах (с 427 г. до н. э.). Он выступал с речами по всей Греции. «На собрании греков в Олимпии он обратился к собравшимся с призывом к единодушию в борьбе против варваров. Олимпийская речь Горгия надолго прославила его имя (ему была поставлена статуя в Олимпии, база которой найдена в прошлом веке во время археологических раскопок)»9.
Сохранились две речи Горгия — «Похвала Елене» и «Оправдание Поламеда». Подлинность второй из них подвергают сомнению. В первой речи рассуждение строится на основе разбора случаев: «Была ли она силой похищена, или речами улещена, или любовью охвачена? — Если примем мы первое, то не может быть виновна обвиняемая. Елену свободной от бесчестья должны признавать. Если же это речь ее убедила, то и душу ее обманом захватила, то и здесь нетрудно ее защитить и от этой вины обелить. Если это совершила любовь, то нетрудно избегнуть ей обвинения...»10
Публичные речи не только произносились, но и переписывались. Некоторые из речей даже не предполагалось произносить. Они создавались как образцы аргументации и распространялись в виде текстов. До наших дней дошли речи многих выдающихся ораторов Греции.
Письменные памятники оставили нам великие ораторы V—IV вв. до н. э.: Лисий — признанный гений простоты и изящества; Исократ, оставивший много писанных речей и целую плеяду учеников. Затем, в пору афино-македонского противостояния, — лучшие ораторы македонской партии Эсхин и Деманд и лучшие ораторы афинской партии Ликург и Гиперид, и наконец, тот, кто, по мнению самого Цицерона, «бесспорно владел самым могучим красноречием — афинянин Демосфен»11. Политическим противником Демосфена был оратор Эсхин. Эсхин выступил против награждения Демосфена венком. В пространной речи он обвинил Демосфена в том, что «его политическая деятельность оказалась пагубной для государства. Но отпор Демосфена был сокрушителен, и Эсхину не удалось собрать и пятой части голосов судей. Проиграв процесс, он потерял право выступать в Народном собрании и вынужден был удалиться в изгнание на остров Родос, где открыл ораторскую школу. Рассказывали, будто родосцы однажды попросили оратора повторить его последнюю речь. Эсхин повторил перед ними речь «О венке». Восхищенные слушатели спросили: «Как же ты после такой речи оказался в изгнании?» Эсхин ответил: «Если бы вы услышали, что говорил Демосфен, то вы бы об этом не спрашивали»»12.
В качестве примера приведем отрывки из оправдательной речи Лисия по делу об убийстве Эратосфена. Речь начинается с обращения к судьям: «(1) Много дал бы я, судьи, за то, чтобы вы судили обо мне так же, как о себе, если бы нечто подобное произошло с вами; и если на мое дело вы посмотрите как на свое собственное, то, я уверен, каждого из вас случившееся возмутит настолько, что наказание, предусмотренное законом, вам покажется слишком мягким. (2) Да и не только у вас, но повсюду в Элладе с этим бы согласились, потому что это — единственное преступление, за которое в любом государстве, будь оно демократическим или олигархическим, даже последний бедняк может привлечь к ответу самых видных людей, так что самый ничтожный простолюдин в этом отношении имеет те же права, что и самый знатный человек: настолько тяжким всюду считается бесчестие, причиненное таким преступлением. (3) Поскольку приговор ваш, я полагаю, будет единодушным, и надеюсь, никто из вас не посмотрит на мое дело пренебрежительно, считая, что такого преступника можно было отпустить безнаказанным или наказать не слишком сурово»13.
Далее формулируется положение, которое доказывается: «(4) А мне, судьи, остается только доказать, что Эратосфен соблазнил мою жену, развратил ее, опозорил моих детей и меня обесчестил тем, что пробрался в мой дом, что это было единственной причиной моей вражды к нему и что не ради денег, не ради обогащения или корысти я это сделал, а только затем, чтобы покарать его в соответствии с законом»14.
Затем излагается суть дела (Эратосфен проник в дом лица, произносящего речь, соблазнил его жену, был застигнут и убит, приводятся свидетельские показания, зачитывается закон).
В заключение — опять обращение к судьям и значение преступления для государства: «(47) Я считаю, судьи, что покарал его не только за себя, но и за все государство. Если вы согласитесь со мной, подобные люди поостерегутся вредить своему ближнему, видя, какая награда их ждет за такого рода подвиги. (48) А если вы не согласны со мной, то отмените существующие законы и введите новые, которые будут карать тех, кто держит жен в строгости, а соблазнителей оправдывать. (49) Так, по крайней мере, будет честнее, чем теперь, когда законы ставят гражданам ловушку, глася, что поймавший прелюбодея может сделать с ним что угодно, а суд потом грозит приговором скорее потерпевшему, чем тому, кто, попирая законы, позорит чужих жен. (50) Именно в таком положении я теперь оказался: под угрозу поставлены моя жизнь и имущество только за то, что я повиновался законам»15.
Кроме речей, источниками по практике и теории аргументации являются философские произведения Платона и др. философов. Специальными трудами по теории аргументации являются произведения Аристотеля «Риторика», «О софистических опровержениях», «Топика» и др.
Аристотель развивает диалектическую линию в учении об аргументации. Соотношение диалектики, логики и риторики, по Аристотелю, таково: логика включается в диалектику, а последняя в риторику. Задача логики — описывать способы рассуждения, действительные и мнимые, мы бы сказали: правильные и неправильные; задача диалектики — находить способы доказательства и подтверждения, тоже действительные и мнимые. Задача риторики шире. Ее задача — находить возможные способы убеждения, в том числе неаргументативные. «... Дело ее [риторики] ... в каждом данном случае находить способы убеждения. Кроме того очевидно, что к области одного и того же искусства относится изучение как действительно убедительного, так и кажущегося убедительным, подобно тому, как к области диалектики относится изучение как действительного, так и кажущегося силлогизма: человек делается софистом не в силу какой-нибудь особенной способности, а в силу намерения, с которым он пользуется своим дарованием»16.
В убеждающем воздействии Аристотель выделяет (1) фактические данные: доказательства (в праве), нормы (права), свидетельства экспертов, авторитетов и т. д., т. е. что дано и что может выступать в роли аргументов. Это то, что не создано аргументатором. Кроме этого Аристотель выделяет то, что создается аргументатором: (2) приемы риторики — способы убеждения. «Что касается способов убеждения, доставляемых речью, то их три вида: одни из них находятся в зависимости от характера говорящего [убеждение посредством особенностей личности аргументатора], другие — от того или другого настроения слушателя [убеждение посредством особенностей оппонента или аудитории, посредством особенностей слушателей, адресата аргументации], третьи — от самой речи [способы действительной или мнимой аргументации, способы неаргументативного воздействия]. Эти последние заключаются в действительном или кажущемся доказывании. ... Ими может пользоваться только человек, способный к умозаключениям и к исследованию характеров, добродетелей и страстей»17.
Обобщая сказанное, у Аристотеля можно выделить следующие составные части процесса убеждения: (1) фактические данные, (2) логические и методологические средства, (3) неаргументативное сопровождение или замещение аргументации (психологические и иные приемы, использование страстей). Фактические данные могут искажаться, требования логики и методологии — нарушаться (алогизмы, методологические уловки), неаргументативное сопровождение — способствовать формированию не соответствующего действительности убеждения.
Следующая таблица представляет средства (приемы, правила и т. д.) риторики.
| Неумышленное |
Умышленное |
|
| 1 |
2 |
3 |
| 4 |
5 |
6 |
| 7 |
8 |
9 |
| Правильные |
Неправильные |
Неправильные |
Средства, представленные ячейками 1, 2, 3, — это психологические и иные неаргументативные приемы. Ячейками 4, 5, 6 представлены логические средства, составляющие предмет логики. Ячейками 7, 8, 9 представлены фактические, или фактуальные, средства.
Ячейками 4, 5, 6, 7, 8, 9 представлены средства, составляющие предмет диалектики, а таблицей в целом представлены средства, составляющие предмет риторики.
Аристотель выделяет:
• прагматический и психологический аспекты аргументации: «Когда человек с любовью относится к тому, над кем он творит суд, ему кажется, что тот или совсем не виновен, или мало виновен; если же он его ненавидит [тогда ему кажется] наоборот; и когда человек стремится к чему-нибудь, что для него должно быть приятно, ему кажется, что это будет и будет хорошо, а человеку равнодушному и недовольному [кажется] наоборот»18. «Страсти — все то, под влиянием чего люди изменяют свои решения, с чем сопряжено чувство удовольствия или неудовольствия, как, например, гнев, страдание, страх и все этим подобные и противоположные им [чувства]19. Негодование можно вызвать провоцированием зависти. «...Зависть есть некоторого рода печаль, являющаяся при виде благоденствия подобных нам людей...»20;
• типы слушателей. Слушатель может быть (1) простым зрителем; (2) судьей, «и притом (21 судьей или того, что уже совершилось, или (22) того, что может совершиться»21. «...Человек, обращающий внимание [только] на дарование [оратора], есть простой зритель»22;
• три рода речей: (1) совещательные, (2) судебные (обвинительные или оправдательные), (3) торжественные. Задача первых — склонять к чему-либо или отклонять. Вторых — обвинять или оправдывать. Третьих — хвалить или порицать (юбилей, похороны и т. д.);
• элементы убеждающего процесса: (1) аргументатор, (2) адресат, (3) предмет аргументации — тема, тезис (тезисом может быть то или иное решение проблемы), (4) фактические данные — базис аргументации (по Аристотелю — закон, свидетели, договоры, пытка, клятвы), (5) логика, (6) неаргументативное сопровождение процесса убеждения или приемы, заменяющие аргументацию;
• «нравы (черты характера) людей в различных возрастах...» Юность, старость, зрелый возраст. Черты характера людей благородного происхождения, людей богатых, людей, обладающих властью, людей счастливых (удачливых);
• как пользоваться голосом. «...[Следует знать], как нужно пользоваться голосом для каждой страсти, например, когда следует [говорить] громким голосом, когда тихим, когда средним, и как нужно пользоваться интонациями, например, пронзительной, глухой и средней, и какие ритмы [употреблять] для каждого данного случая»23;
• стиль речи письменной и речи полемической. При повторении одного и того же необходимо повторять иначе. Зависимость речи от количества слушателей;
• части речи: вступление-предисловие; характеристика предмета — рассказ о нем; доказательство.
Заключение.
С судьбой римской демократии неразрывно связана судьба непревзойденного практика и выдающегося теоретика аргументации Марка Туллия Цицерона24. Начав адвокатскую практику во время диктаторского режима Суллы, Цицерон смог проявить всю мощь своего таланта и начать блестящую карьеру судебного и политического оратора только после смерти диктатора в 76 г. до н. э. Политическое признание пришло к Цицерону в 70-м г. до н. э., когда в консульство Помпея и Красса, двух вождей демократического блока, были окончательно отменены последние остатки сулланского режима. В процессе над Верресом, одним из бывших ставленников Суллы, противником Цицерона оказался знаменитый адвокат Гортензий. После блестящей обвинительной речи Цицерона Гортензий отказался от защиты Верреса, полностью признав победу обвинения.
Этот судебный триумф стал началом стремительной политической карьеры Цицерона, завершившейся избранием его в 63 г. до н. э. на должность консула.
Все дальнейшие перипетии личной и творческой жизни Цицерона были теснейшим образом связаны с превратностями судьбы римской демократии. В годы правления Цезаря его симпатии оставались на стороне республики, среди ближайших его друзей были Гней Помпей и Марк Брут, будущий убийца Цезаря. Когда после гибели Цезаря в марте 44 г. до н. э. Римское государство оказалось на пороге гражданской войны, уже немолодой и надломленный личными невзгодами Цицерон решил покинуть Италию, но, повстречав на середине пути Брута, резко переменил свое решение. Отказавшись от философского уединения, он вернулся и погрузился в пучину политической борьбы, став признанным вождем сената и республиканцев. В своих блестящих речах 44-43 гг. до н. э., названных в память о знаменитых речах Демосфена филиппиками, он клеймил Антония и превозносил республику и сенат.
После поражения демократии Цицерон был немедленно казнен Антонием как один из опаснейших врагов диктатуры.
Кроме речей и философских работ до нас дошли специальные произведения Цицерона по теории ораторского искусства: «Об ораторе», «Брут, или О знаменитых ораторах», «Оратор»25. Цицерон выделял следующие обязанности аргументатора: (1) очаровывать (формировать доверие к аргументатору), (2) обосновывать посредством аргументов и средств логики, (3) волновать (эмоционально возбуждать аудиторию).
Важным вкладом Цицерона в учение об аргументации являются его рекомендации:
(1) о тактике формулировки тезиса. «Предположим, например, что ваш клиент был обвинен в убийстве. Первая линия защиты заключается в отрицании фактов: "Нет, мой клиент не делал этого". Если это невозможно, оспаривайте определение данного действия: "Несомненно, она убила его, но это не было убийством". Если и это не удается, подвергните сомнению качество деяния: "Да, это было убийство, но убийство из добрых побуждений и при смягчающих обстоятельствах". Когда все остальное терпит неудачу, ставьте под сомнение право трибунала вести данный процесс: "Этот суд не имеет никаких полномочий судить жену цезаря"»26;
(2) в речи следует соблюдать ритм, не сбиваясь на стихи;
(3) речь должна быть простой, краткой и ясной;
(4) следует знать предмет спора;
(5) аргументатор должен возбуждать в слушателях гнев, ненависть или скорбь, а затем склонять к мягкости и милосердию;
(6) речь должна соответствовать уровню знаний и способностей слушателей.
В Средние века главным способом аргументации было обращение к прошлому.
«Прежде всего хотелось опереться на прошлое, на опыт предшественников. Подобно тому как Ветхий Завет предшествует Новому и служит основанием для него, поведение древних должно было обосновывать поведение людей нынешних. Если и можно было предположить что-то определенное, то только то, что могло найти подтверждение в прошлом. Особое значение придавалось тем, кого считали авторитетами. Высшим авторитетом являлось Писание; к нему прибавлялся авторитет отцов церкви»27. В качестве аргументов выступали цитаты. Однако положения Писания и высказывания отцов церкви требовали истолкования. Истолкователями тоже должны были быть авторитеты. Составлялись специальные сборники толкований. На практике часто в качестве аргументов приводились высказывания, которые авторитетам лишь приписывались.
« К авторитетам прибегали, по всей видимости, в той мере, в какой они не противоречили собственным воззрениям писавшего. Алану Лилльскому принадлежит ставшая крылатой фраза, что «у авторитета нос из воска, а форму его можно изменить в любую сторону»28.
Кроме аргумента к авторитету и его разновидностям — аргументу к древности и аргументу к традиции, при аргументации прибегали к доказательству чудом и доказательству пытками. «...Клирик по имени Петр, находившийся в Святой земле, утверждал, будто бы святой Андрей открыл ему место, где хранится священное копье, пронзившее бок Христа на кресте. Были предприняты раскопки, и копье нашли. И тогда, чтобы узнать, подлинное ли копье, т. е. говорил ли клирик правду, его подвергают испытанию огнем.
По истечении пяти часов клирик умер от ран. Однако было сочтено, что он выдержал испытание с честью, а копье подлинное.
Ноги же клирика сгорели потому, что вначале он усомнился в истинности своего видения»29.
В эпоху позднего Средневековья, при общем господстве феодально-церковного права, оазисами относительного равноправия и, соответственно, творческими лабораториями по повышению эффективности убеждающего слова стали университеты и церковные соборы, где обсуждались богословские и политические вопросы. Одновременно, в связи с процессами, вызванными ослаблением Священной Римской империи, возникали демократические общины в отдельных городах Европы (таких как Венеция, Флоренция, имперские и вольные города Германии), где важнейшие жизненные вопросы решались коллегиально городскими советами30. Что же касается внешней политики, то здесь все большее значение приобретали, с одной стороны, дипломатия, а с другой стороны, такие органы, как уже упомянутые соборы, а также рейхстаги, регулярно собираемые германскими императорами начиная с XIII в.31
В Средние века значительных теоретических разработок теории аргументации не отмечено. В качестве образца в раннее Средневековье выступал Аристотель, а в позднее — Цицерон.
Обращение к науке в Новое время потребовало дальнейшей разработки учения об аргументации. Появились оригинальные работы по научной аргументации: Ф. Бэкон. «Новый органон» (1620); Рене Декарт «Правила для руководства ума» (1628); Блез Паскаль «О геометрическом уме и об искусстве убеждать» (1658); А. Арно и П. Николь «Логика Пор-Рояля» (1662).
Новое время ознаменовалось также возникновением новых и более устойчивых общественных институтов, в рамках которых формально равноправные субъекты имели возможность влиять друг на друга при помощи устных выступлений. К этим институтам относится в первую очередь английский парламент, а затем суд присяжных, который в наиболее демократичной форме был введен во Франции актом Национального собрания от 16 сентября 1791 г. Именно с учреждением во Франции суда присяжных связана деятельность одаренных французских мастеров судебной речи. Огромное влияние на развитие французского судебного красноречия оказали политические речи, произносимые в Учредительном собрании Маратом, Робеспьером и другими выдающимися деятелями Великой французской революции34. Таким образом, не только своим возникновением суд присяжных обязан победе народовластия, но и сам опыт народовластия дал ощутимый толчок к развитию техники убеждения в рамках судебного процесса.
В России, после судебной реформы 1864 г., суд присяжных стал именно тем островком формального равноправия, в котором могла развиваться культура рациональной дискуссии. Вот как говорит об этом, обращаясь к присяжным заседателям в начале одной из своих защитительных речей, известный русский судебный оратор кн. А. И. Урусов: «Посмотрите кругом себя: теперь на наших глазах уже многое изменилось. Мыслимо ли было несколько лет тому назад, когда еще не существовали уставы 20 ноября 1864 года, чтобы стоящий перед вами. полковник, губернский начальник. украшенный всякими знаками отличия, сильный связями и знакомствами, был предан суду по такому делу? Конечно, об этом и мечтать иногда было бы не совсем удобно. На наших глазах мысль о равенстве людей перед законом из области небезопасных мечтаний немногих лучших людей перешла в действительность. <...> Суд присяжных представляет собою одно из превосходных учреждений, посредством которых убеждения людей из области мысли переходят в действительную жизнь, становятся силой, дают себя чувствовать всякому»35.
На протяжении почти полувека, после реформы 1864 г., суд присяжных в России был едва ли не единственным подобным учреждением. Только в первых десятилетиях ХХ в. мы наблюдаем кратковременные «просветы» свободы слова — после Манифеста 17 октября 1905 г. и в самые первые пореволюционные годы, — бывшие одновременно и периодами расцвета культуры политической дискуссии, когда искусство убеждения становилось поистине искусством управления массами. Теоретическим отражением практики аргументации этого времени стала написанная в 1918 г. книга С. И. Поварнина «Спор. О теории и практике спора»36, основные положения которой не утратили своей актуальности и по сей день.
Важный фактор формирования убеждений в XIX—XXI вв. — пропаганда. Пропаганда — современный метод формирования убеждений масс. «Если бы мы должны были назвать определенную дату начала нашей эпохи пропаганды, то выбрали бы малоизвестные события, не вошедшие в большинство учебников американской истории. Современная эпоха пропаганды началась в Филадельфии в 1843 г., когда молодой человек по имени Волни Палмер (Volney Palmer) открыл первое рекламное агентство. По сегодняшним меркам предприятие было примитивным и служило только посредником по продаже рекламных площадей между издателями газет и рекламодателями. Вскоре после этого появились и полноценные рекламные агентства, предлагавшие клиентам широкий диапазон услуг, таких как планирование компаний в средствах массовой информации, подготовка и изготовление рекламных листов или буклетов, — и это наряду со множеством фирм по маркетинговым исследованиям, агентствами по связям с общественностью и опросам общественного мнения — все было нацелено на обслуживание убеждения. <...> Сразу же после смены веков основные институты американской пропаганды окончательно оформились и утвердились. И уж совсем немного времени потребовалось для того, чтобы начать применение принципов рекламы и маркетинга, разработанных ради продажи товаров потребителям, к «продаже» политических идей и кандидатов»37. «...Для определения массовых методов убеждения, характеризующих наше постиндустриальное общество, мы используем термин пропаганда»38. Пропаганда — «это распространение какой-либо точки зрения таким образом и с такой конечной целью, чтобы получатель данного обращения приходил к «добровольному» принятию этой позиции, как если бы она была его собственной»39. «Использование пропаганды берет начало от зарождения человеческой цивилизации как таковой. Сохранившиеся иероглифические письмена египтян и народов Центральной Америки (ацтеков, микстеков, запотеков и майя) очень пристрастно описывают «историю». Так, археологи выяснили, что майя в своих текстах часто манипулировали историческими датами, продолжительностью жизни правителей, астрономическими циклами и реальными событиями, чтобы представить своего правителя в благоприятном свете — например, согласовывали дату его рождения с датой рождения прославленного правителя прошлого, чтобы доказать перевоплощение; или, чтобы вызвать благоговейный ужас, преувеличивали количество убитых врагов и пленников»40.
Выводы
1. Возникновение и развитие в Древней Индии и Древней Греции в 1 тыс. до н. э. практики и теории аргументации обусловлено запросами общественной жизни. Практика аргументации давала материал для учения об аргументации, а разработка теории аргументации совершенствовала практику.
2. Является актуальной задача проведения фундаментального исследования по практике и теории аргументации в Древней Индии.
3. Древние греки и римляне создали образцы аргументаций и учение об аргументации.
4. В Средние века главным способом аргументации было обращение к прошлому и к авторитетам. В качестве образцов выступали Аристотель и Цицерон.
В позднее Средневековье практика аргументации развивалась в университетах и при обсуждении богословских и политических проблем на церковных соборах, а также на городских советах и в рейхстагах. Значительных теоретических разработок теории аргументации не произошло.
5. В Новое время появились оригинальные работы по научной аргументации.
6. В России развитие практики и теории аргументации наблюдается после судебной реформы 1864 г. (суды присяжных), Манифеста 17 октября 1905 г. и в самые первые послереволюционные годы.
7. Важным фактором формирования убеждений в XIX—XXI вв. является пропаганда.
Контрольные вопросы
1. Чем обусловлено возникновение практики аргументации в Древней Индии и Древней Греции?
2. Практика аргументации в Древней Греции.
3. Теория аргументации в Древней Греции.
4. Практика аргументации в Древнем Риме.
5. Теория аргументации в Древнем Риме.
6. Характеристика практики аргументации в Средние века.
7. Разработка теории аргументации в Новое время.
8. Практика и теория аргументации в России после 1864 г. и в послереволюционный период.
9. Пропаганда как способ формирования убеждений в XIX—XXI вв.
[18] Аристотель. Риторика // Античные риторики. С. 71.
[19] Там же. С. 72.
[14] Там же. С. 33.
[15] Лисий. Оправдательная речь по делу об убийстве Эратосфена // Ораторы Греции. М., 1985. С. 38.
[16] Аристотель. Риторика // Античные риторики. М., изд-во Моск. ун-та, 1978. С. 18.
[17] Аристотель. Риторика // Античные риторики. М., изд-во Моск. ун-та, 1978. С. 19, 20.
[10] Горгий. Похвала Елене // Ораторы Древней Греции. М., 1985. С. 23—30.
[11] Цицерон М. Т. Об ораторе // Цицерон. Три трактата об ораторском искусстве/под ред. М. Л. Гаспарова. М., 1972. С. 128.
[12] Барухович В. Ораторское искусство Древней Греции//Ораторы Греции. М., 1985. С. 15.
[13] Лисий. Оправдательная речь по делу об убийстве Эратосфена//Ораторы Греции. М., 1985. С. 32, 33.
[4] Перикл «уступал Кимону в богатстве и денежных средствах, которыми тот привлекал к себе бедных: Кимон приглашал каждый день нуждающихся граждан обедать, одевал престарелых, снял загородки со своих усадьб, чтобы кто захочет, пользовался их плодами». (Плутарх. Указ. соч. С. 291.)
[3] Советником Перикла по составлению речей и принятию решений был философ Анаксагор. «Однажды, когда Перикл был очень занят, Анаксагор, уже старик, лежал без призора, накрывши голову, чтобы покончить жизнь, уморив себя голодом. Когда известие об этом дошло до Перикла, он в испуге сейчас же побежал к старику и стал уговаривать его оставить это намерение, оплакивая не его, а себя при мысли, что лишится такого советника в государственных делах. Тогда Анаксагор открыл голову и сказал ему: "Перикл, и тот, кто имеет надобность в лампе, подливает в нее масла"». (Плутарх. Перикл и Фабий Максим // Избранные произведения. Т. 1. М., 1987. С. 301.)
[2] Васильев В. Буддизм, его догматы, история и литература. Ч. I. СПб., 1857—1869. С. 67, 68.
[8] Там же. С. 291.
[7] Там же. С. 290.
[6] Плутарх. Перикл и Фабий Максим//Избранные произведения. Т. 1. М., 1987. С. 287.
[5] Плутарх. Перикл и Фабий Максим // Избранные произведения. Т. 1. М., 1987. С. 289.
[30] См.: Виппер Б. Р. Итальянский Ренессанс XIII—XVI веков. М., 1977; Немецкий город XIV—XV вв. Сборник материалов/Вводная статья, подбор материала, перевод, приложения и комментарии В. В. Стоклицкой-Терешкович. М., 1936.
[9] Борухович В. Ораторское искусство Древней Греции//Ораторы Греции. М., 1985. С. 8.
[31] См.: Грановский Т. Н. Лекции по истории позднего средневековья. М., 1971. С. 68—76.
[36] См.: Поварнин С. Спор. О теории и практике спора//Вопр. философии. 1990, № 3. C. 60—133.
[37] Элиот Аронсон, Энтони Пратканис. Эпоха пропаганды: механизмы убеждения, повседневное использование и злоупотребление. СПб., 2003. С. 27.
[38] Там же. С. 28.
[39] Там же. С. 28.
[32] Буркгардт Я. Культура Италии в эпоху Возрождения. В 2-х т. Т. I. СПб., 1905; Т. II. СПб., 1906.
[33] См.: Арнольд Р. Культура эпохи Возрождения//перевод Н. М. Даниловской, под ред. В. В. Битнера. СПб., 1905. С. 10.
[34] Ворожейкин Е. М. Суд присяжных и судебное красноречие Франции XIX века// Судебные ораторы Франции XIX века. М., 1959. С. 5—24.
[35] Русские судебные ораторы в известных уголовных процессах XIX века. Тула, 1997. С. 44.
[29] Жак Ле Гофф. Цивилизация средневекового Запада. М., 1992. С. 307.
[20] Там же. С. 73.
[25] Цицерон М. Т. Три трактата об ораторском искусстве. М., 1972.
[26] Элиот Аронсон, Энтони Пратканис. Эпоха пропаганды: механизмы убеждения, повседневное использование и злоупотребление. СПб., 2003. С. 68, 69.
[27] Жак Ле Гофф. Цивилизация средневекового Запада. М., 1992. С. 302, 303.
[28] Там же. С. 303.
[21] Там же. С. 24.
[22] Там же.
[23] Аристотель. Риторика//Античные риторики. М., изд-во Моск. ун-та, 1978. С. 127, 128.
[24] «...Цицерон подвергался насмешкам за свое имя, и друзья советовали переменить его, но он ответил: "Нет: имя Цицерон («горох») я сделаю славнее, чем такие, как Катон («кот»), Катулл («щенок») или Скавр («толстая лодыжка»)"». (Плутарх. Застольные беседы. Л., 1990. С. 382.)
[40] Там же. С. 28, 29.
Приложение.
Аристотель. Риторика41
Книга первая
1.
Отношение риторики к диалектике. — Всеобщность риторики. — Возможность построить систему ораторского искусства. — Неудовлетворительность более ранних систем ораторского искусства. — Что должен доказывать оратор? — Закон должен по возможности определять сам; причины этого. — Вопросы, подлежащие решению судьи. — Почему исследователи предпочитают говорить о речах судебных? — Отношение между силлогизмом и энтимемой. — Польза риторики, цель и область ее.
Риторика — искусство, соответствующее диалектике, так как обе они касаются таких предметов, знакомство с которыми может некоторым образом считаться общим достоянием всех и каждого и которые не относятся к области какой-либо отдельной науки. Вследствие этого все люди некоторым образом причастны обоим искусствам, так как всем в известной мере приходится как разбирать, так и поддерживать какое-нибудь мнение, как оправдываться, так и обвинять. В этих случаях одни поступают случайно, другие действуют согласно со своими способностями, развитыми привычкою. Так как возможны оба эти пути, то, очевидно, можно возвести их в систему, поскольку мы можем рассматривать, вследствие чего достигают цели как те люди, которые руководятся практикой, так и те, которые действуют случайно, а что подобное исследование есть дело искусства, с этим, вероятно, согласится каждый. <...>
Итак, очевидно, что риторика не касается какого-нибудь отдельного класса предметов, но, как и диалектика [имеет отношение ко всем областям], а также что она полезна и что дело ее — не убеждать, но в каждом данном случае находить способы убеждения; то же можно заметить и относительно всех остальных искусств, ибо дело врачебного искусства, например, заключается не в том, чтобы делать всякого человека здоровым, но в том, чтобы, насколько возможно, приблизиться к этой цели, потому что вполне возможно хорошо лечить и таких людей, которые уже не могут выздороветь.
Кроме того, очевидно, что к области одного и того же искусства относится изучение как действительно убедительного, так и кажущегося убедительным, подобно тому, как к области диалектики относится изучение как действительного, так и кажущегося силлогизма: человек делается софистом не в силу какой-нибудь способности, а в силу намерения, с которым он пользуется своим дарованием. Впрочем, здесь [в риторике] имя ритора будет даваться сообразно как со знанием, так и с намерением [которое побуждает человека говорить]. Там же [в логике] софистом называется человек по своим намерениям, а диалектиком — не по своим намерениям, а по своим способностям. <...>
2.
Место риторики среди других наук и искусств. — «Технические» (основанные на приемах риторики) и «нетехнические» (основанные на объективных данных) способы убеждения. — Три вида искусственных способов убеждения. — Риторика — отрасль диалектики и политики. — Пример и энтимема. — Анализ убедительного. — Вопросы, которыми занимается риторика. — Из чего выводятся энтимемы? — Определение вероятного. — Виды признаков. — Пример — риторическое наведение. — Общие места (topoi) и частные энтимемы (eide).
Итак, определим риторику как способность находить возможные способы убеждения относительно каждого данного предмета. Это не составляет задачи какого-нибудь другого искусства, потому что каждая другая наука может поучать и убеждать только относительно того, что принадлежит к ее области, как, например, врачебное искусство — относительно того, что способствует здоровью или ведет к болезни, геометрия — относительно возможных между величинами изменений, арифметика — относительно чисел; точно так же и остальные искусства и науки; риторика же, по-видимому, способна находить способы убеждения относительно каждого данного предмета, потому-то мы и говорим, что она не касается какого-нибудь частного, определенного класса предметов.
Из способов убеждения одни бывают «нетехнические», другие же «технические». «Нетехническими» (atechnoi) я называю те способы убеждения, которые не нами изобретены, но существовали раньше [помимо нас]; сюда относятся: свидетели, показания, данные под пыткой, письменные договоры и т. п.; «техническими» же (entechnoi) [я называю] те, которые могут быть созданы с помощью метода и наших собственных средств, так что первыми из доказательств нужно только пользоваться, вторые же нужно [предварительно] найти.
Что касается способов убеждения, доставляемых речью, то их три вида: один из них находится в зависимости от характера говорящего, другие — от того или другого настроения слушателя, третьи — от самой речи. Эти последние заключаются в действительном или кажущемся доказывании. <...>
Доказательства находятся в зависимости от самих слушателей, когда последние приходят в возбуждение под влиянием речи, потому что мы выносим различные решения под влиянием удовольствия и неудовольствия, любви или ненависти. Этих-то способов убеждения, повторяем, исключительно касаются нынешние теоретики словесного искусства. Каждого из этих способов в отдельности мы коснемся тогда, когда будем говорить о страстях.
Наконец, сама речь убеждает нас в том случае, когда оратор выводит действительную или кажущуюся истину из доводов, которые оказываются в наличии для каждого данного вопроса.
Поскольку доказательства осуществляются именно такими путями, то, очевидно, ими может пользоваться только человек, способный к умозаключениям и к исследованиям характеров, добродетелей и страстей — что такое каждая из страстей, какова она по своей природе и вследствие чего и каким образом появляется, — так что риторика оказывается как бы отраслью диалектики и той науки о нравах, которую справедливо назвать политикой. Вследствие этого-то риторика и принимает вид политики и люди, считающие риторику своим достоянием, выдают себя за политиков, по причине ли невежества, или шарлатанства, или в силу других причин, свойственных человеческой природе. <...>
3.
Три элемента, из которых слагается речь. — Три рода слушателей. — Три рода риторических речей. — Предмет речей совещательных, судебных, эпидейктических. — Время, которое имеет в виду каждый из трех родов речи. — Цель каждого рода речи. — Необходимость знать посылки каждого рода речи.
Есть три вида риторики, потому что есть столько же родов слушателей. Речь слагается из трех элементов: из самого оратора, из предмета, о котором он говорит, и из лица, к которому он обращается; оно-то и есть конечная цель всего (я разумею слушателя). Слушатель необходимо бывает или простым зрителем, или судьей, и притом судьей или того, что уже совершилось, или же того, что может совершиться. Примером человека, рассуждающего о том, что имеет быть, может служить член народного собрания, а рассуждающего о том, что уже было, — член судилища; человек, обращающий внимание [только] на дарование [оратора], есть простой зритель. Таким образом, естественно является три рода риторических речей: совещательные, судебные и эпидейктические. Дело речей совещательных — склонять или отклонять, потому что как люди, которым приходится совещаться в частной жизни, так и ораторы, произносящие речи публично, делают одно из двух [или склоняют, или отклоняют].
Что же касается судебных речей, то дело их — обвинять или оправдывать, потому что тяжущиеся всегда делают непременно одно что-нибудь из двух [или обвиняют, или оправдываются].
Дело эпидейктической речи — хвалить или порицать. Что касается времени, которое имеет в виду каждый из указанных родов речи, то человек, совещаясь, имеет в виду будущее: отклоняя от чего-нибудь или склоняя к чему-нибудь, он дает советы относительно будущего. Человек тяжущейся имеет дело с прошедшим временем, потому что всегда по поводу событий, уже совершившихся, один обвиняет, а другой защищается. Для эпидейктического оратора наиболее важным представляется настоящее время, потому что всякий произносит похвалу или хулу по поводу чего-нибудь существующего; впрочем, ораторы часто сверх того пользуются и другими временами, вспоминая прошедшее или строя предположения относительно будущего. У каждого из этих родов различная цель, и так как есть три рода речей, то существуют и три различные цели: у человека, дающего совет, цель — польза и вред: один дает совет побуждая к лучшему, другой отговаривает, отклоняя от худшего; остальные соображения, как то: справедливое и несправедливое, прекрасное и постыдное — здесь на втором плане.
[41] Античные риторики. М., 1978. С. 15—164.
Часть 1.
АРГУМЕНТАЦИЯ
Раздел А.
Логико-фактуальные основы аргументации
§ 1. Понятие, виды и основные способы аргументации
Если читателю задать вопрос: «Что значит аргументировать?», то ответ будет таким: «Приводить аргументы (доводы, основания)». Ответ правильный, но, если его квалифицировать с логической точки зрения, слабый42. В процессе аргументации нужно еще установить логическую связь аргументов с тем положением, которое обосновывается.
Аргументация — это обоснование какого-либо знания посредством других знаний или фактических данных и логики. Исходя из определения, в аргументации можно выделить три части: знание (положение), которое обосновывается, знания (положения) и фактические данные, посредством которых происходит обоснование, а также логические средства (логику аргументации).
Знание, которое обосновывается, называется тезисом аргументации.
Знания и фактические данные, которые используются при обосновании тезиса, называются аргументами, или основаниями, или доводами.
Логическая структура аргументации, т. е. логическое отношение между аргументами и тезисом, называется формой аргументации.
Тезис обозначается буквой Т. Тезисом может быть суждение и система суждений, норма и система норм, оценка, приказ, управленческое решение и решение проблемы, проблема, гипотеза, концепция и т. д. Все эти виды тезиса объединены общим названием «знание»43.
Аргументы, или основания, или доводы, будем обозначать так: А1, ..., An, где n ≥ 1. В качестве аргументов выступают суждения, нормы, оценки и т. д., т. е. тоже знания, а также фактические данные, которые также можно выразить в языке. Для обозначения формы аргументации введем символ •⇒
Аргументацию можно представить следующим образом:
{А1,..., An} •⇒ T.
(Множество аргументов {А1, ..., An} подтверждает тезис Т или тезис Т логически следует из указанных аргументов, если, конечно, аргументация правильная. Если аргументация неправильная за счет логической формы, т. е. является частным случаем мнимого обоснования (по Аристотелю) тезиса, то знак •⇒ обозначает отношение между тезисом и аргументами по логическим формам, не являющееся ни следованием, ни подтверждением, например, отношение логической независимости44.) Фигурные скобки можно опускать.
Обоснование посредством фактических данных (посредством наблюдения и предметно-практической деятельности) можно сводить к логической аргументации, т. е. аргументации посредством имеющихся знаний и средств логики. Сведение осуществляется путем описания процесса такого обоснования. При этом, конечно, происходит потеря части информации, а именно зрительной или иной информации, влияющей на эмоциональное восприятие, т. е. усиливающей или ослабляющей аргументацию.
Частным случаем аргументации является доказательство.
Доказательство — это полное обоснование какого-либо положения с использованием логических средств и полностью обоснованных положений или фактических данных45. Если обосновывается суждение посредством аргументов, являющихся суждениями, то доказательство — это аргументация, в которой аргументы являются утверждениями, истинность которых установлена, а формой является рассуждение, которое обеспечивает получение истинного заключения при истинных посылках46.
Аргументация является недоказательной (не доказательством), когда аргументы, по крайней мере некоторые из них, являются не достоверными, а лишь правдоподобными, или/и когда формой является рассуждение, которое не обеспечивает получение истинного заключения при истинных посылках.
Примеры недоказательных аргументаций.
(1) Рассуждение Лейбница.
Если идея Бога является врожденной, то Бога должны почитать выше всякого другого предмета. Бога почитают выше всякого другого предмета. Следовательно, идея Бога является врожденной.
Очевидно, что тезис здесь — утверждение «Идея Бога является врожденной». Второй аргумент — утверждение «Бога почитают выше всякого другого предмета» является достоверным (по крайней мере, во времена Лейбница это было так). Первый аргумент — недостоверное утверждение даже для Лейбница, поскольку он допускал случаи, когда врожденные идеи осознаются не большинством людей. Форма — рассуждение, которое не обеспечивает получение истинного заключения при истинных посылках (вывод от подтверждения следствия к подтверждению основания).
(2) Рассуждение Шпенглера47.
Поскольку живые организмы проходят в своем развитии ступени рождения, расцвета, упадка и гибели, постольку и общество в своем развитии проходит те же ступени.
Это недоказательная аргументация, поскольку ее формой является аналогия48, не обеспечивающая получения истинного заключения при истинных посылках.
Логических способов аргументации много. Среди них можно выделить два. Это прямая и косвенная аргументации.
В прямой аргументации рассуждение идет от аргументов к тезису. Рассуждение {А1, ..., An} •⇒ T обосновывается само по себе, без использования допущений49. В частности, тезис выводится из аргументов по правилам логики.
Пример. «В это время Эратосфен и явился; служанка тут же разбудила меня и сказала, что он здесь. Приказав ей следить за дверью, чтобы не упустить его, я потихоньку спустился вниз и, выйдя на улицу, отправился созывать друзей и знакомых. Некоторых я дома не застал, некоторые вообще оказались в отъезде. (24) Ну, а всех, кого мог, я собрал и повел за собой. В лавочке близ моего дома мы запаслись факелами и вошли в дом всей толпой, благо наружная дверь была заранее отперта служанкой.
Вышибив дверь, ведущую в спальню, мы застали его прямо в постели с моей женой: те, кто ворвался первым, его застали еще лежащим; подоспевшие чуть позже видели, как он голый стоял на кровати. (25) Ударом кулака я, судьи, сбил его с ног, скрутил и связал ему руки за спиной и стал допрашивать, как посмел он забраться ко мне в дом. Отрицать свою вину он даже не пытался и только слезно умолял не убивать его, а предлагал откупиться деньгами. (26) На это я отвечал: «Не я тебя убью, но закон, который ты преступил, поставив его ниже своих удовольствий. Ты сам предпочел совершить тяжкое преступление против моей жены, моих детей и меня самого, вместо того, чтобы соблюдать законы и быть честным гражданином». <...> Он не отрицал, судьи, своей вины; он сам признал себя виновным и умолял не убивать его. Он даже предлагал откупиться деньгами, но на это я не согласился. Я считал, что законы важнее, и покарал его той карой, которую установили вы сами и которую вы сочли справедливой для такого рода преступников. Прошу свидетелей подняться сюда. [Читает показания свидетелей.] (30) Прочти мне и тот закон, что вырезан на камне по указу ареопага. [Читается закон.] Вы слышите, судьи, что сам ареопаг, который исстари вершит суд по делам об убийстве, которому и в наши дни предоставлено это право, постановил в совершенно ясных и определенных выражениях, что неповинен в убийстве тот, кто покарает смертью прелюбодея, если застигнет его вместе с женой»50.
В этой аргументации тезисом, хотя он явно и не высказан, является утверждение, что (T) причинение смерти Эратосфену совершено на законных основаниях. Аргументами являются утверждения, что (A1) Эратосфен совершил прелюбодеяние, (A2) сам в этом сознался, (A3) свидетели его застали в постели с женой обвиняемого в доме обвиняемого, а также норма права (A4): «Неповинен в убийстве тот, кто покарает смертью прелюбодея, если застигнет его вместе с женой». Из этих аргументов логически следует тезис. То есть:
А1, А2, А3, A4 ⇒ T
Прямой является так называемая разделительная аргументация. Тезис обосновывается путем исключения всех членов разделительного суждения, кроме одного.
Схема разделительной аргументации:
Пример. В закрытом помещении находились три человека, и один из них оказался убит. Точно установлено, что в помещение никто не входил и никто из него не выходил. Рассуждать можно так. Установлено, что имеет место именно убийство, а не самоубийство, т. е. умерший человек не убивал (самого себя) — неверно A1, второй не убивал — неверно A2. Следовательно, третий человек совершил убийство — А3. Схематически:
В некоторых областях человеческого знания, например в праве, такое доказательство тезиса является недостаточным. Требуется не только опровергнуть все альтернативы, кроме одной, но еще и привести аргументы для обоснования последней.
Пример. «То, что застали в номере Башкировой лица, прибежавшие на крик Славышенского, могло быть самоубийством, или убийством случайным, или, наконец, убийством умышленным. Сначала старались выдать это за самоубийство; это остроумная выдумка, ложь очень удачная, показывающая, что она придумана умною головой. Но с таким объяснением не согласовались обстоятельства, при которых произошло убийство; этому противоречит направление и положение раны, нанесенной Славышенскому. Рана, произведенная пулей, оказалась перпендикулярною кости черепа и находящеюся позади левого уха, почти на затылке. Что в номере Башкировой произошло не самоубийство, тому служат неотразимым доказательством слова, которые произносил с криком Славышенский после раздавшегося выстрела. «Меня убивают», «меня убили» — вот зов, на который сбежались люди. <...> Она говорит, что в запальчивости ударила Славышенского револьвером, из которого произошел выстрел. Но это неправда. При убийстве в запальчивости к нему не готовятся. А что Башкирова готовилась к убийству, в этом не может быть никакого сомнения. Зачем оказался у нее револьвер? <...> Он не только приходит в подготовленную ему ловушку, но за ним еще запирают дверь, — это ли не приготовление? Если какое-нибудь действие производится человеком в безотчетном состоянии крайнего возбуждения, то за этим действием тотчас следует реакция, ослабление всех сил. Не так было с Башкировой. Убедившись, что рана, нанесенная ею Славышенскому, не сразу привела к желанному концу, она с остервенением бросается на него с подушкой и начинает душить его. В этом нельзя не видеть проявления той кипучей злобы, которая охватывает человека, когда он видит, что обдуманное и опасное предприятие его не хочет осуществиться. Действительно, люди, сбежавшиеся на крик Славышенского, застали Башкирову со зверским выражением и распущенными волосами сидящею на кровати и судорожно вцепившеюся в окровавленную подушку. Не так проступает после преступления человек, совершивший его в исступлении, как поступила Башкирова. Хранить концы и уничтожать следы преступления может только тот, кто сознательно и умышленно совершил его. Башкирова же вслед за убийством принимает различные меры предосторожности, выковыривает шпилькой пулю, сидящую в печной глазури, и бросает ее в ведро с водой, выбрасывает ящик с патронами и, наконец, учит Никифорову, как ей показать о случившимся. Важно также вспомнить, что за несколько дней до убийства Башкирова пробует стрелять из револьвера в своем номере, и то, что рассердившись на Никифорову, она говорит ей: "Смотри, чтоб я не пустила тебе пулю в лоб вместо Славышенского"»51.
Тезисом рассуждения является утверждение, что (T) убийство Славышенского является умышленным. Аргументы: (A1) то, что случилось со Славышенским, могло быть самоубийством, или убийством случайным, или, наконец, убийством умышленным; (неверно A2) самоубийства не было; (неверно A3) случайного убийства не было. Структура аргументации:
Далее доказывается тезис путем указания на то, что «за несколько дней до убийства Башкирова пробует стрелять из револьвера в своем номере», и на то, что «рассердившись на Никифорову, она говорит ей: "Смотри, чтоб я не пустила тебе пулю в лоб вместо Славышенского"».
Можно выделить несколько наиболее простых видов косвенной аргументации: аргументацию от противного, или апагогическую (от греч. 'απα'γω — отводить); аргументацию разбором случаев.
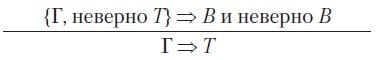
Аргументация от противного. Пусть требуется обосновать некоторое утверждение (тезис). Выдвигается утверждение, являющееся отрицанием тезиса, т. е. антитезис (допущение косвенной аргументации)52. Из имеющихся аргументов и антитезиса выводят противоречие (некоторое утверждение и отрицание этого утверждения). В результате делается вывод об обоснованности тезиса.
Схема косвенной аргументации от противного:
(Буквой Г обозначено множество аргументов, возможно пустое, а горизонтальной линией и знаком ⇒ — отношения следования.)
Примеры.
(1) Требуется доказать, что из точки, лежащей вне прямой, на эту прямую можно опустить только один перпендикуляр (Т). Есть аргументы: сумма углов треугольника равна 180° (А1); перпендикуляр образует с прямой, на которую он опущен, угол, равный 90° (А2). Допущение: можно опустить более одного перпендикуляра (¬ T), например два. (Если допускаем, что можно опустить более двух, например, сорок, то среди них есть и два.) Образуется треугольник:
Сумма углов полученного треугольника составляет более 180° (неверно А1). Следовательно, из точки, лежащей вне прямой, на эту прям
...