автордың кітабын онлайн тегін оқу Микроэкономика
Информация о книге
УДК 811.111:330.101.542(075.8)
ББК 81.2Англ-923
А 50
Автор:
Алленых М. А., кандидат экономических наук, доцент, доцент Департамента экономической теории Финансового университета при Правительстве Российской Федерации.
Рецензенты:
Орусова О. В., кандидат экономических наук, доцент, доцент Департамента экономической теории Финансового университета при Правительстве Российской Федерации;
Будович Ю. И., доктор экономических наук, доцент, профессор Департамента экономической теории Финансового университета при Правительстве Российской Федерации;
Карасева Л. А., доктор экономических наук, профессор, заведующая кафедрой экономической теории института экономики и управления Тверского государственного университета;
Смирнова О. В., кандидат экономических наук, доцент, доцент кафедры экономической теории института экономики и управления Тверского государственного университета.
Учебно-методическое пособие составлено в соответствии с программой Финансового университета при Правительстве Российской Федерации, рассчитанной на студентов экономических факультетов, обучающихся на английском языке. Пособие содержит комплекс учебно-методических материалов с базовыми понятиями, типовыми заданиями, тестами для проведения как семинарских занятий, так и для самостоятельной работы студентов.
Дисциплина «Микроэкономика» является общей теоретико-методологической основой для всех экономических дисциплин, входящих в состав ООП бакалавриата по направлению подготовки 38.03.01 «Экономика» и 38.03.02 «Менеджмент».
УДК 811.111:330.101.542(075.8)
ББК 81.2Англ-923
© Алленых М. А., 2022
© ООО «Проспект», 2022
1. PRINCIPALS OF ECONOMIC. ECONOMIC MODELS: TRADE-OFFS AND TRADE
1.1. Basic concepts
Review of Microeconomic Concepts
1. All economic analysis is based on a list of basic principles.
These principles apply to three levels of economic understanding. First, we must understand how individuals make choices; second, we must understand how these choices interact; and third, we must understand how the economy functions overall1.
2. Everyone has to make choices about what to do and what not to do. Individual choice is the basis of economics — if it doesn’t involve choice, it isn’t economics.
3. The reason choices must be made is that resources — anything that can be used to produce something else — are scarce. Individuals are limited in their choices by money and time; economies are limited by their supplies of human and natural resources.
4. Because you must choose among limited alternatives, the true cost of anything is what you must give up to get it — all costs are opportunity costs.
5. Many economic decisions involve questions not of whether, but of “how much” — how much to spend on some good, how much to produce, and so on. Such decisions must be taken by performing a trade-off at the margin — by comparing the costs and benefits of doing a bit more or a bit less. Decisions of this type are called marginal decisions, and the study of them, marginal analysis, plays a central role in economics.
6. The study of how people should make decisions is also a good way to understand actual behavior. Individuals usually exploit opportunities to make themselves better off. If opportunities change, so does behavior: people respond to incentives.
7. Interaction — my choices depend on your choices, and vice versa — adds another level to economic understanding. When individuals interact, the end result may be different from what anyone intends.
8. The reason for interaction is that there are gains from trade: by engaging in the trade of goods and services with one another, the members of an economy can all be made better off. Underlying gains from trade are the advantages of specialization, of having individuals specialize in the tasks they are good at.
9. Economies normally move toward equilibrium — a situation in which no individual can make himself or herself better off by taking a different action.
10. An economy is efficient if all opportunities to make some people better off without making other people worse off are taken. Resources should be used as efficiently as possible to achieve society’s goals. But efficiency is not the sole way to evaluate an economy: equity, or fairness, is also desirable, and there is often a trade-off between equity and efficiency.
11. Markets usually lead to efficiency, with some well-defined exceptions.
12. When markets fail and do not achieve efficiency, government intervention can improve society’s welfare.
13. One person’s spending is another person’s income.
14. Overall spending in the economy can get out of line with the economy’s productive capacity, leading to recession or inflation.
15. Governments have the ability to strongly affect overall spending, an ability they use in an effort to steer the economy between recession and inflation.
16. Almost all economics is based on models, “thought experiments” or simplified versions of reality, many of which use mathematical tools such as graphs. An important assumption in economic models is the other things equal assumption, which allows analysis of the effect of a change in one factor by holding all other relevant factors unchanged.
17. One important economic model is the production possibility frontier. It illustrates: opportunity cost (showing how much less of one good can be produced if more of the other good is produced); efficiency (an economy is efficient in production if it produces on the production possibility frontier and efficient in allocation if it produces the mix of goods and services that people want to consume); and economic growth (an outward shift of the production possibility frontier). There are two basic sources of growth: an increase in factors of production, resources such as land, labor, capital, and human capital, inputs that are not used up in production, and improved technology.
18. Another important model is comparative advantage, which explains the source of gains from trade between individuals and countries. Just as individuals benefit from specialization, so too do larger groups. There are two types of advantages that economists focus on when comparing countries (or other groups of individuals). A country is said to have an absolute advantage in the production of a good when it can produce that good using fewer resources per unit of output than another country. A country is said to have a comparative advantage in the production of a good when it can produce that good at a lower opportunity cost (a smaller loss in terms of the production of another good) than another country. The opportunity for two countries to benefit from specialization and trade rests only on the existence of a comparative advantage in production between the two countries.
19. In the simplest economies people barter — trade goods and services for one another — rather than trade them for money, as in a modern economy. The circular-flow diagram represents transactions within the economy as flows of goods, services, and money between households and firms. These transactions occur in markets for goods and services and factor markets, markets for factors of production — land, labor, capital, and human capital. It is useful in understanding how spending, production, employment, income, and growth are related in the economy. Ultimately, factor markets determine the economy’s income distribution, how an economy’s total income is allocated to the owners of the factors of production.
20. Economists use economic models for both positive economics, which describes how the economy works, and for normative economics, which prescribes how the economy should work. Positive economics often involves making forecasts. Economists can determine correct answers for positive questions, but typically not for normative questions, which involve value judgments. The exceptions are when policies designed to achieve a certain prescription can be clearly ranked in terms of efficiency.
21. There are two main reasons economists disagree. One, they may disagree about which simplifications to make in a model. Two, economists may disagree — like everyone else — about values.
Systems of Government and Economic Decisions
The allocation of scarce resources can be largely influenced by the system of government in a country or region. This section provides a brief thumbnail of three forms of government and the prominent decision-making mechanisms they entail.
Communism is a system designed to minimize imbalance in wealth via the collective ownership of property. Legislators from a single political party — the communist party — divide the available wealth for equal advantage among citizens. The problems with communism include a lack of incentives for extra effort, risk taking, and innovation. The critical role of the central government in allocating resources and setting production levels makes this system particularly vulnerable to corruption.
Socialism shares with communism the goal of fair distribution and the pitfall of inadequate incentives. Rather than the government controlling wages as under a communist system, wages are determined by negotiations between trade unions and managers. Another difference between socialism and communism is that under socialism, a single political party does not rule the economy.
Under a capitalist system, private individuals control the factors of production and operate them in the pursuit of profit. Wages are determined by negotiations between managers and employees or their unions. The market forces of supply and demand largely determine the allocation of scarce resources. Government may regulate businesses and provide tax-supported social benefits. The next section describes how product markets can determine prices and quantities for goods and services, and later sections will describe the influence of various government policies.
1. The market system — known also as the private-enterprise system or capitalism — is characterized by the private ownership of resources, including capital, and the freedom of individuals to engage in economic activities of their choice to advance their material wellbeing. Self-interest is the driving force of such an economy, and competition functions as a regulatory or control mechanism.
2. In the market system, markets and prices organize and make effective the many millions of individual decisions that determine what is produced, the methods of production, and the sharing of output.
3. Specialization, use of advanced technology, and the extensive use of capital goods are common features of market systems.
4. Functioning as a medium of exchange, money eliminates the problems of bartering and permits easy trade and greater specialization, both domestically and internationally.
5. Every economy faces Four Fundamental Questions: (a) What goods and services will be produced? (b) How will the goods and services be produced? (c) Who will get the goods and services? (d) How will the system used accommodate changes in consumer tastes, resource supplies, and technology?
6. The market system produces products whose production and sale yield total revenue sufficient to cover all costs, including a normal profit (a cost). It does not produce products that do not yield a normal profit, or more.
7. Economic profit indicates that an industry is prosperous and promotes its expansion. Losses signify that an industry is not prosperous and hasten its contraction.
8. Consumer sovereignty means that both businesses and resource suppliers are subject to the wants of consumers. Through their dollar votes, consumers decide on the composition of output.
9. Competition forces firms to use the lowest-cost and therefore the most economically efficient production techniques.
10. The prices that a household receives for the resources it supplies to the economy determine that household’s income. This income determines the household’s claim on the economy’s output. Those who have income to spend get the products produced in the market system.
11. By communicating changes in consumer tastes to resource suppliers and entrepreneurs, the market system prompts appropriate adjustments in the allocation of the economy’s resources. The market system also encourages technological advance and capital accumulation.
12. Competition, the primary mechanism of control in the market economy, promotes a unity of self-interest and social interests; as though directed by an invisible hand, competition harnesses the self-interest motives of businesses and resource suppliers to further the social interest.
1.2. Questions and tasks
Questions
1. Economists generally agree that people are most likely to change their behavior when they:
a) are asked to do so voluntarily.
b) are given incentives to do so.
c) live in a world without scarcity.
d) live in a world without opportunity costs.
2. With which one of the following statements would economists be most likely to agree?
a) When transactions occur voluntarily, the seller gains and the buyer loses.
b) Market economies generate economic growth, but they do not promote efficiency.
c) People usually exploit opportunities to make themselves better off.
d) If people make wise decisions, they can avoid incurring any opportunity cost.
3. In his book The Wealth of Nations, Adam Smith used the example of pin-making to illustrate the advantages of:
a) equity.
b) specialization.
c) marginal analysis.
d) interaction of choices.
4. The basic economic problem is:
a) inflation.
b) unemployment.
c) scarcity.
d) poverty.
e) lack of money.
5. Assume that we have a PPF. Point A lies inside (to the left) of the frontier. Point B and C are located along the frontier and Point D is located outside (to the right) the frontier. Which of the following points represent feasible (attainable) production points?
a) All points (A, B, C and D) are feasible.
b) Points A, B and C are feasible.
c) Points B and C are feasible.
d) None of the points are feasible.
6. When economists want to describe how much an economy can produce with a given amount of resources, they use a model known as:
a) the positive model.
b) the normative model.
c) comparative advantage.
d) the production possibilities frontier.
7. When doing economics, observations, models, measurements, tests and reports are used:
a) to improve the mathematical elegance of the theories.
b) to dismiss the state of existing knowledge.
c) to develop a better explanation for some phenomenon than existing models.
d) to demonstrate that the model is always correct.
e) to find the mistakes that markets make.
8. Which of the following statements is false?
a) In a market economy, the government does not interact with other organizations and individuals.
b) In a command economy (centrally planned), decisions concerning production and consumption and pricing decisions are made by government officials.
c) Two alternative approaches to production, consumption and pricing are command economies and market economies.
d) In a market economy, decisions concerning the production, consumption and pricing result from interactions that take place in markets.
9. Fred and Alma are motor mechanics. It takes Alma 4 hours to replace a clutch and 12 hours to replace a set of brakes. It takes Fred 8 hours to replace a clutch and 16 hours to replace a set of brakes.
a) Alma has a comparative advantage in replacing clutches relative to Fred because she can do it faster than Fred.
b) Alma has a comparative advantage in replacing brakes relative to Fred.
c) Fred has a comparative advantage in replacing clutches relative to Alma.
d) Fred has a comparative advantage in replacing brakes relative to Alma.
e) If Alma and Fred go into business together, they can’t gain from specialization.
10. Suppose the relative price of rice in terms of computers in Japan is 2 computers per unit of rice. The relative price of rice in Korea is 1/2 computer per unit of rice. If the two countries trade without government restrictions, transportation costs are negligible, and markets are competitive, then the likely terms of trade will fall in the range of:
a) 4 to 5 computers per unit of rice.
b) b. 3 to 4 computers per unit of rice.
c) 2 to 3 computers per unit of rice
d) 1/2 to 2 computers per unit of rice.
e) 1/4 to 1/2 computer per unit of rice.
| Country | Feature Films (film/year) | Fine Red Wine (kl/year) |
| U | 200 | 8000 |
| F | 100 | 6000 |
11. Consider the production possibility table immediately above, which shows the maximum annual production rates of films and wine for two countries (U and F). Which of the following statements is true?
a) Country U has a comparative and absolute advantage in wine production.
b) At an international film price of 45 kl wine/film, country F should specialize in films and country U should specialize in wine production.
c) Country F has no comparative advantage.
d) At an international film price of 30 kl wine/film, both countries should specialize in wine production.
12. The farther the Lorenz curve bows down away from the line of income equality, the:
a) more proportional is the income distribution.
b) more even is the income distribution.
c) the wealthier is the lowest quintile of the income distribution.
d) less likely the economy is to maintain its equilibrium.
e) the greater is the inequality of the distribution of income.
13. Why do our illustrative models for the PPF of a country involve only two goods, like guns and butter, or swords and plowshares?
a) Because these are the only two goods the country is producing.
b) Because economics is totally unrealistic.
c) Because a flat blackboard does not lend itself well to depictions of economies with millions of distinct goods among which production choices must be made, and two goods is the minimum number for which important insights can be derived, despite the lack of realism.
d) because economists are not very imaginative; they should use things like waffles and underwear.
14. On an outwardly bowed production possibility frontier, the opportunity cost of an additional unit of the good on the horizontal axis changes systematically as a country tries to produce more and more of that good. The opportunity cost:
a) increases as you move out to the right (and down along the PPF).
b) decreases as you move out to the right (and down along the PPF).
c) first increases and then decreases as you move out to the right.
d) first decreases and then increases as you move out to the right.
15. Combinations of goods and services that lie outside the boundary of the production possibility frontier are unattainable because:
a) the majority of the citizens of our fictional two-dimensional country are too poor to afford all these things.
b) given the technology of the country, and its current endowment of all factors of production, no combination of these factors will allow the country to produce a combination of goods and services in those quantities.
c) a nice war might allow the country to push its boundaries out far enough so that the populace could take possession of foreign goods and services.
d) the citizens of the country do not wish to use their scarce resources to produce these combinations of goods and services.
16. When the resources available to devote to two competing uses are homogenous (identical across all units), then the opportunity frontier (consumption or production opportunities, as appropriate) is:
a) a straight line.
b) bowed outward.
c) bowed inward.
d) a right angle.
17. In microeconomics, the term capital is used:
a) to refer to the amount of money a firm has to work with.
b) to describe research that is really impressive.
c) to describe the top of a column on the US Treasury building.
d) to refer, most typically, to real, physical, tangible assets that are used in the production process, including machinery, equipment, and buildings.
e) to describe where the US congress meets.
18. What is the difference between the positive and the normative in economics?
a) A positive question is one for which the answer is yes.
b) A normative question is one for which the answer is no.
c) Positive questions concern matters of fact, while normative questions concern matters of opinion.
d) Economic theory can answer normative questions, but not positive ones.
19. The correct spelling of the latin term meaning: everything else held constant:
a) seterus parabus.
b) ceteris paribus.
c) ceterus parabus.
d) cetaris parubis.
20. One economic model is the graphical model of a demand curve. Along a demand curve:
a) we vary quantity demanded and see what happens to price, all else held constant.
b) we vary price and see what happens to quantity demanded, all else held constant.
c) we vary quantity demanded and price and see what happens to equilibrium quantity traded.
d) nothing can be happening to incomes or the prices of substitutes and complements, but consumer preferences are changing, since more is demanded as price falls.
21. Consider the following statement: If gasoline prices increase by ten percent, quantity demanded of gasoline will fall by five percent, so the government should offset gasoline price increases by lowered taxes, in order to minimize the negative impact of such a change on low-income families. Is this statement positive or normative?
a) Positive, because if gas prices increase by ten percent, we could observe what happened to quantity sold.
b) Normative, because we could argue forever about whether low-income families are sufficiently in need of stable gasoline prices that tax revenues from all consumers should be reduced.
c) Neither, since economists only worry about inflation and unemployment.
d) Both, because the first part is a positive issue that could be resolved by empirical inquiry (a matter of fact), while the second part, about what the government should do, is a normative issue (a matter of opinion).
22. Scarcity is best defined as:
a) the difference between limited wants and limited economic resources.
b) the difference between the total benefit of an action and the total cost of that action.
c) the difference between unlimited wants and limited economic resources.
d) the opportunity cost of pursuing a given course of action.
e) the difference between the marginal benefit and marginal cost of an action.
23. Which of the following statements describes a capitalist market economy?
I. Economic resources are allocated based upon relative prices.
II. Private property is fundamental to innovation, growth, and trade.
III. A central government plans the production and distribution of goods.
a) I only.
b) II only.
c) III only.
d) I and II only.
e) I and III only.
24. A Lorenz curve can be used to evaluate which of the following economic issues?
a) The allocative and technical efficiency of markets.
b) The comparative advantage of trading partners and the terms of trade.
c) The degree of specialization and growth within countries.
d) The degree of equity in income distribution.
e) The equilibrium of market prices and quantities throughout the world.
Answers: 1b, 2c, 3b, 4c, 5b, 6d, 7c, 8a, 9d, 10d, 11d, 12e, 13c, 14a, 15b, 16a, 17d, 18c, 19b, 20b, 21d, 22c, 23d, 24d.
Tasks
1. The table below shows the percent of all Hypothetical Country family income received by households in each quintile of the income distribution for the years 2019 and 2022. It also shows this same information for the distribution of wealth in 2022. (Wealth is all marketable assets less debts.)
1) Draw the Lorenz curves for income distribution in 2019 and 2022 and draw the Lorenz curve for wealth distribution in 2022 all on the same graph.
2) Does the Lorenz curve for 2022 show more or less income inequality than the one for 2019?
3) Which distribution, income distribution or wealth distribution, is more unequal in 2022?
| Quintile | 2019 (Inco- me) |
2022 (Inco- me) |
2022 (We- alth) |
Cumu- lative Perce- ntage of House- holds |
2019 (Inco- me) |
2022 (Inco- me) |
2022 (wea- lth) |
Equa- lity |
| 0% | 0% | 0,0% | 0,0% | 0% | ||||
| Bottom 20% | 5,2% | 3,7% | 0,1% | 20% | 5% | 3,7% | 0,1% | 20% |
| Second 20% | 11,5% | 9,1% | 0,1% | 40% | 17% | 12,8% | 0,2% | 40% |
| Third 20% | 17,5% | 15,2% | 3,8% | 60% | 34% | 28,0% | 4,0% | 60% |
| Fourth 20% | 24,3% | 23,3% | 11,0% | 80% | 59% | 51,3% | 15,0% | 80% |
| Top 20% | 41,5% | 48,7% | 85,0% | 100% | 100% | 100,0% | 100,0% | 100% |
1) The Lorenz curves for 2019 and 2022 are shown above.
2) The 2019 income Lorenz curve is everywhere above the 2022 income Lorenz curve and, consequently, closer to the complete equality line (also shown in the graph as the line with triangle bullets). The income distribution in 2019 is more equal than the one in 2022.
3) Following the same argument, wealth is more unequally distributed than income in 2022.
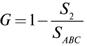
2. In the country, society consists of two groups unequal in number and level of income: rich and poor. Calculate how much income the rich get if the number of poor in the country is 60% of the total population and the Gini coefficient is 0.4.
Decision.
Let’s take the income received by the poor group of the population as X%. In this case, the rich will have (100 – X)%. We use the formula to calculate the Gini coefficient:
SABC is the area between the line of absolute equality and the line of absolute inequality.
X = 20%.
Answer. The poor part of the population receives 20% of the total income, and the rich — 80% of the total income.
1. Assume that two countries, A and B, have equal amounts of resources. Country A can produce 30 cars or 10 airplanes or any combination, as shown by the line MN in the figure above. Country B can produce 20 cars or 40 airplanes or any combination, as shown by the line PQ in the figure above.
1) Which country has an absolute advantage in the production of airplanes? Explain how you determined your answer.
2) Which country has a comparative advantage in the production of cars? Using the concept of opportunity cost, explain how you determined your answer.
3) If the two countries specialize and trade with each other, which country will import cars? Explain why.
4) If the terms of trade are such that one car can be exchanged for one airplane, explain how country A will benefit from such trade.
2. Two carpenters: Ivan and George — can produce tables and chairs from various types of wood. If Ivan devotes all his time to the production of tables, then he can make them in the amount of 10, if for chairs, then 30 pieces. George can produce 15 tables or 24 chairs in the same amount of time. Draw a production possibilities frontier.
3. A farmer can grow 300 tons of potatoes in one field or 100 tons of wheat, and on another field the opportunity cost of growing 1 ton of wheat is 2 tons of potatoes with a maximum potato harvest of 400 tons. Plot the production possibility frontier.
4. Can the following points lie on the same curve production possibility frontier:
1) A (15, 3); B (8, 13); C (13, 6); D (5, 12)?
2) A (0,60), B (20,35), C (30,20), D (40,0)?
5. Suppose a manager working in a small company can earn 500 rubles every hour of his work. Suppose he needs to fix a small breakdown of his own car. If he does it himself, it will take him 30 hours, and he will not get much pleasure from the work. The manager can use the services of a private car repair service, where an hour of work costs 250 rubles. The service estimated the amount of work at 40 hours. What is more profitable for the manager: to repair the car himself or use the services of a service? Support your answer with calculations. What can be said about the absolute and relative advantages of a manager and a private repair?
6. The country’s society consists of two unequal groups in size and income: the rich and the poor. Calculate how much income the rich receive if the number of poor in the country is 60% of the total population, and the Gini coefficient is 0.4.
[1] Krugman P., Wells R. Microeconomics. 2nd edition. Worth Publishers, 2009. P. 41.
2. SUPPLY AND DEMAND
2.1. Basic concepts
1. The supply and demand model illustrate how a competitive market, one with many buyers and sellers, none of whom can influence the market price, works.
2. The demand schedule shows the quantity demanded at each price and is represented graphically by a dema
...