автордың кітабын онлайн тегін оқу Индексная оценка в ортопедической стоматологии. Руководство для врачей
Индексная оценка в ортопедической стоматологии
Руководство для врачей
16+
Оглавление
- Индексная оценка в ортопедической стоматологии
- Об авторе
- 1. Индекс разрушения окклюзионной поверхности зуба по В. Ю. Миликевичу (ИРОПЗ, 1984)
- 2. Выбор вида ортопедической конструкции для восстановления коронки зуба в зависимости от глубины разрушения коронки зуба — Индекс глубины разрушения коронки зуба по Терещенко Е. Н. (ИГРКЗ, 2004) — Модификация Индекса разрушения окклюзионной поверхности зуба по В. Ю. Миликевичу (ИРОПЗ, 1984)
- 3. Метод определения тканевого запаса реставрируемых коронок зубов (ТЗРК)
- 4. Показатель объемного разрушения тканей зуба (ПОРТЗ) Янишен И. В. (1997)
- 5. Индекс разрушения коронки зуба (ИРКЗ, В. А. Титоренко, В. Ю. Широков, 2013)
- 6. Классификации дефектов коронковой части передних зубов под армированные композитные реставрации по Меликяну
- 4. Индекс высоты коронки опорного зуба (ИВКОЗ, Верстаков Д. В., 2015)
- 7. Индекс определения объема сошлифованных тканей зуба (Стафеев А. А.)
- 8. Выбор восстановительной реконструкции вкладкой (Рогожников Г. И.) (1991)
- 9. Оценка состояния керамических вкладок
- 10. Способ определения индексной оценки качества штифтовой реставрации утраченных тканей коронок зубов
- 11. Индекс фиксации съёмного зубного протеза — индекс С. Б. Улитовского-А. А. Леонтьева (ИФСЗП Улитовского-Леонтьева, 2008)
- 12. Индекс определения отложений зубного налета у пациентов с мостовидными протезами
- 13. Гигиеническое состояние протезов (E. Ambjornsen, 1982)
- 14. Оценка гигиенического состояния базисов верхнечелюстных протезов (E. Ambjornsen)
- 15. Индекс оценки содержания зубного налета на поверхности полных съемных протезов (Ausberger и Elahi index)
- 16. Индекс определения зубного налета на поверхности полных съемных протезов — Индекс Quigley-Hein в модификации Palenik et al.
- 17. Индекс определения зубного налета на поверхности полных съемных протезов — Индекс Quigley-Hein в модификации Keng et al.
- 18. Индекс определения зубного налета на поверхности полного съемного протеза — Индекс Tarbet
- 19. Индекс зубного налета съемного протеза — Индекс Jeganathan et al. (1996)
- 20. Индекс зубного налета съемного протеза — Индекс Abelson (1981)
- 21. Индекс загрязненности зубным налетом поверхностей протеза — Индекс Budtz-Jörgensen & Knudsen Index (1977)
- 22. Индекс определения баллов для пятен, зубного налета и зубного камня на поверхности полных съемных протезов — Индекс McCabe et al.
- 23. Индекс чистоты зубного протеза — Denture Cleanliness Index (DCI)
- 24. Индекс гигиены зубного протеза — Denture Hygiene Index (DHI, Wefers)
- 25. Индекс оценки гигиенического состояния съёмных протезов DHI (Кузьмина Э. М. с соавт., 2012)
- 26. Индекс гигиены зубного протеза- Prosthesis Hygiene Index (PHI, Schubert & Schubert, 1979)
- 27. Индекс гигиены протезов Jeganathan S, Thean KT, Thong KT, в модификации Tarbet, (1982)
- 28. Индекс зубного налета на съемном зубном протезе ASKD-DPI — Denture plaque index (ASKD-DPI — Almas, Salameh, Kutkut, and Doubali-Denture Plaque Index, 2015)
- 29. Метод оценки гигиенического состояния съемных протезов при полном отсутствии зубов (S.S.Jeganathan, K.T.Thong, V.Chan, M.M.Singh)
- 30. Индекс гигиенического состояния зубных протезов и аппаратов различных конструкций (В. В. Трезубов, О. Н. Сапронова, Л. Я. Кусевицкий, А. В. Привалов ((2010)
- 31. Гигиенический индекс съемного зубного протеза (ГИ-СЗП или HI-RPD)
- 32. Методы диагностики гиперчувствительности тканей к материалам, используемым при протезировании и лечении (при Гальванозе)
- 33. Методы определения жевательной эффективности
- 33.1. Метод определения жевательной эффективности (Трезубов В. Н. с соавторами, 2010г.)
- 33.2. Статические методы определения жевательной эффективности по Н. И. Агапову и И. М. Оксману
- 33.4. Метод определения жевательной эффективности (ЖЭ) по методике В. А. Кондрашова (1969) — жевательный индекс (ЖИ)
- 33.5. Оценка функционирования жевательной системы. Мастикациографический индекс (МИ)
- 33.6. Оценка функционирования жевательной системы. Жевательный индекс
- 33.7. Пародонтограмма по В. Ю. Курляндскому
- 33.8. Динамический метод определения жевательной эффективности
- 33.9. Функциональная жевательная проба по С. Е. Гельману
- 33.10. Физиологическая проба по И. С. Рубинову
- 33.11. Индекс функции жевания (ифж)
- 33.12.Оценка скорости жевания по В. Я. Дымшицу
- 34. Индексная оценка качества эндодонтической штифтовой реставрации коронок зубов
- 35. Методика оценки эффективности протезирования съемными протезами (М. Ю. Огородников (2004))
- 36. Индекс Капура
- 36. Способы определения адаптации к ортопедическим стоматологическим конструкциям
- 36.1. Способ определения адаптации к зубным протезам
- 36.2. Способ определения адаптации к зубным протезам, включающий помещение в полость рта обследуемого больного сметаны
- 36.3. Индекс определения адаптации к ортопедическим стоматологическим конструкциям (Галонский В. Г., Радкевич А. А., 2009)
- 37. Способ определения адаптации к ортопедическим стоматологическим конструкциям
- 37.1. Способ определения адаптации к зубным протезам
- 37.2. Способ определения адаптации к зубным протезам (И. С. Рединов, 1990)
- 38. Методы окклюзионной диагностики
- 38.1. Количественный индекс окклюзиограмм (ОКГ) Н. Н. Аболмасов и соавт. (2002)
- 38.2. Количественный индекс окклюдограммы (ОКГ-М, 2014)
- 39. Способы оценки атрофии опорных тканей протезного ложа
- 39.1. Способ оценки атрофии опорных тканей протезного ложа
- 39.2. Способ оценки атрофии опорных тканей протезного ложа (Галонский В. Г., Радкевич А. А., 2007)
- 39.3. Определение степени атрофии тканей протезного ложа под базисом съемного протеза
- 40. Способ определения податливости слизистой оболочки протезного ложа
- 41. Способы выявления зон повышенной механической нагрузки на слизистую оболочку под базисом съемного протеза
- 41.1. Способ определения дескератозов слизистой оболочки полости рта и красной каймы губ (Кунин А. А., 1969)
- 41.2. Способы выявления зон повышенной механической нагрузки на слизистую оболочку под базисом съемного протеза с помощью специальной окраски слизистой оболочки протезного ложа в 1-2-й фазах острого воспаления
- 42. Способ прогнозирования осложнений после протезирования зубов с вторичной частичной адентией (Копытов А. А., 2006)
- 43. Тесты В. И. Наумова (1974) и Б.В.Свирина (1983) для оценки старых изготовленных протезов с позиций сопротивления окклюзионной нагрузке, сопротивления движению тканей (ретенции) и устойчивости к латеральной нагрузке (стабилизации)
- 44. Способ объективной оценки результатов ортопедического лечения с помошью энцефалогаммы (ЭЭГ)
- 45. Способ объективной оценки результатов ортопедического лечения стоматологических больных с цереброваскулярной патологией — индекс приспособительного эффекта системы жевания (ИПЭ)
- 46. Оценка эффективности протезирования
- 47. Оценка прочности конструкций несъемных зубных протезов
- 48. Оценка качества протезирования искусственными коронками
- 49. Оценка качества съемных протезов (Свирин Б. В., 1989)
- 50. Оценка качества съемных пластиночных протезов (Языкова Е. А., Тупикова Л. Н., 2011)
- 51. Комплексный количественный индекс для оценки качества несъемных ортопедических конструкций (Арушанян А. Р., 2017)
- 52. Оценка качества протезирования пациентов с полным отсутствием зубов
- 52.1. Оценка качества протезирования пациентов с полным отсутствием зубов (Садыков М. И., 2004)
- 52.2. Оценка качества протезирования пациентов с полным отсутствием зубов на нижней челюсти (Кобзева С. А. и др., 2014)
- 52.3. Критерии оценки теста «БОФСАЗ» — параметры и критерии к полным съемным протезам, а также объективные и субъективные критерии их оценки с коррекцией процессов адаптации
- 53. Состояние тканей протезного ложа — критерии Buser D. с соавт. (2004)
- 54. Полный съемный протез на нижней челюсти
- 54.1. Величина, характеризующая адаптацию пациента к полному съемному протезу на нижней челюсти
- 54.2. Карта — опросник «Оценка адаптации пациента к ортопедическим конструкциям» (Радкевич А. А., Галонский В. Г., 2008)
- 54.3. Опросник удовлетворенности зубным протезом
- 54.4. Метод определения объема атрофии тканей протезного ложа под базисами полных съемных протезов на нижней челюсти (М. И. Садыковый, 2002)
- 54.5. Способ оценки качества фиксации полного съемного протеза на нижней челюсти
- 54.6. Протокол исследования качества фиксации полного съемного протеза нижней челюсти
- 54.7. Карта обследования пациента с полным отсутствием зубов на нижней челюсти
- 55. Определение центрального соотношения у пациентов с полной утратой зубных рядов
- 56. Количественнный индекс для анализа окклюзионных взаимоотношений зубов и зубных рядов (Е. Н. Пичугина, А. Р. Арушанян, В. В. Коннов, Д. Х. Разаков, В. Н. Сальников, 2016)
- 57. Способ оценки окклюзионных взаимоотношений зубов
- 58. Специальные методы исследования больных с полным отсутствием зубов
- 58.1. Электромиографический жевательных и (ЭМГ) височных мышц с полным отсутствием зубов
- 58.2. Метод окклюзиографии
- 59. Обобщенный индекс уровня гигиенического состояния (ОИУГС) конструкций челюстных протезов-обтураторов (Арутюнов С. Д., Перцов С. С., Муслов С. А., Шанидзе З. Л., Степанов А. Г., 2017)
- 60. Индекс Стираемости Зубов С. Б. Улитовского (2008) — Индекс Стираемости Улитовского
- 61. Стандартная карта стоматологического больного, со специальным вкладышем (Степанов П. С., 2017)
- Дополнение
- 1. Критерии для основных ортопедических конструкций: несъемных протезов, частичных съемных протезов и полных съемных протезов (Кусевицкий Л. Я., 2013)
- 2. Стадии развития воспаления
- 3. Систематизация корней по Ф. Н. Цукановой (1971)
- 4. Определение устойчивости зуба в норме и при резорбции альвеолярной кости
- 5. Способ проверки правильности определения протетической плоскости при полном отсутствии зубов
- 6. Диагностика состояния пародонта по количеству десневой жидкости
- 7. Влияние жевательной нагрузки на состояние зубов при наличии дефекта целостности зубного ряда
- 8. Показатели функциональной активности головного мозга (Ритмы ЭЭГ)
- 9. Степень тонуса мимических мышц — метод И. С. Рединова (2000)
- 10. Определение степени нормализации функции речи
- 11. Анкета
- 12. Анкета ортопедического пациента (Арутюнян М. Р., 2018)
- 13. Анкета для пациентов (Рубцова Е. В., 2017)
- 14. Анкета пациента ортопедического отделения
- 15. Анкета. Оценка эффективности протезирования съемными протезами (М. Ю. Огородников, 2004)
- 16. Оценка параметров качества жизни до и после протезирования пациента
- 17. Опросник Oral Health Impact Profile (OHIP-49-RU) — «Степень важности стоматологического здоровья»
- Приложения
- 1. Приложение 1. Система ABC/I
- 1.1. Alignment (Расположение зубов в зубном ряду)
- 2.2. Brightness (Яркость)
- 3.3. Character (Характер)
- 4.4. Incisial effects (Эффекты режущего края)
- 2. Приложение №2. Методика определения ИРПОЗ по В.Ю.Миликевичу
- 2.1. Оценка разрушения твердых тканей зубов по диагностическим моделям
- 2.2. Усовершенствованная методика определения индекса на диагностической модели челюсти с использованием прозрачной стандартной пластины с миллиметровой сеткой (непрямой метод)
- 2.3. Методика определения индекса по диагностической модели челюсти на основании соотношения геометрических параметров окклюзионной поверхности зуба с дефектом твердых тканей
- 2.4. Визуальное определение ИРОПЗ по диагностической модели
- 2.5. Определение ИРОПЗ по анатомическим образованиям зуба
- 2.6. Использование компьютерной технологии для определения ИРОПЗ
- Библиографический список
Об авторе
1. Индекс разрушения окклюзионной поверхности зуба по В. Ю. Миликевичу (ИРОПЗ, 1984)
2. Выбор вида ортопедической конструкции для восстановления коронки зуба в зависимости от глубины разрушения коронки зуба — Индекс глубины разрушения коронки зуба по Терещенко Е. Н. (ИГРКЗ, 2004) — Модификация Индекса разрушения окклюзионной поверхности зуба по В. Ю. Миликевичу (ИРОПЗ, 1984)
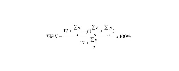
3. Метод определения тканевого запаса реставрируемых коронок зубов (ТЗРК)
4. Показатель объемного разрушения тканей зуба (ПОРТЗ) Янишен И. В. (1997)
