Таблица квадратов чисел до 100 за неделю. Как выучить квадраты чисел без зубрежки за неделю
Қосымшада ыңғайлырақҚосымшаны жүктеуге арналған QRRuStore · Samsung Galaxy Store
Huawei AppGallery · Xiaomi GetApps

автордың кітабын онлайн тегін оқу  Таблица квадратов чисел до 100 за неделю. Как выучить квадраты чисел без зубрежки за неделю

Станислав Баранов

Таблица квадратов чисел до 100 за неделю

Как выучить квадраты чисел без зубрежки за неделю






6+

Оглавление

Введение

Хороший способ лучше и быстрее запомнить что-либо — это попытаться объяснить другому человеку то, что нужно запомнить или понять вам самим. Таким образом, вы посылаете в мозг сигнал о том, что изучаемая тема крайне важна.

Автор следует данной рекомендации во многих своих книгах. Они были написаны в период обучения чему-то новому и в период изучения данного вопроса с точки зрения вопросов эффективного обучения[1].

Автор рекомендует дочитать эту книгу полностью, даже если Вы сочли вполне подходящими методы, представленные в начале книги. В первом разделе автор представит общепринятые методы для вычисления квадратов чисел. Среди этих методов будут известные (их изучают в школьном курсе) и малоизвестные, которые используют различные люди-счётчики (фокусники-математики и т.д.). Эти методы вполне подходят для учеников старших классов (8—11 класс).

Во втором разделе автор напишет собственные исследования и собственную методику вычисления квадратов чисел без использования формул (или с минимальным использованием формул из первого раздела. Этот метод можно уже применять для учеников младших классов (начиная с 3 класса), так формулы будут не очень понятны ученикам младших классов. Можно попробовать метод формул для учеников младших классов показать на многочисленных примерах. Но сам автор ученикам младших классов показывает метод первоначального подсчёта квадратов через поиск по квадрату ближайшего числа[2].

Для математиков и тех, кто хочет разобраться в формулах, я буду приводить доказательства. Доказательства не обязательны к прочтению и будут оформлены курсивом.

 Отсылка к авторским книгам: Метод Фридриха за месяц (в 2-х частях); Блаинд за месяц; Таблица умножения за 3 дня

 Метод описан в главе Метод близкого квадрата

 Отсылка к авторским книгам: Метод Фридриха за месяц (в 2-х частях); Блаинд за месяц; Таблица умножения за 3 дня

 Метод описан в главе Метод близкого квадрата

Метод формул

Формула квадратов чисел от 11 до 19

Данная формула применима для вычисления квадратов, как частного случая умножения чисел от 11 до 19, когда оба числа одинаковые.

Детям младших классов (3—5 класс) формулу объясняю как методику.

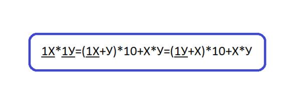
Обозначим цифры единиц чисел из интервала [11, 19] как Х и У. Тот факт, что число десятков равно 1, учтём в формуле как 1 в нужном разряде. Нижним подчёркиванием (вместо математического верхнего) покажем, что умножаются числа и . Тогда вся формула будет иметь вид:

*= (+У) *10+Х*У= (+Х) *10+Х*У

Формула умножения, чисел из отрезка [11, 19]

Словами можно объяснить так:

Приумножении чисел из промежутка [11, 19] нужно поступить таким образом. К первому числу надо добавить единицы второго числа (можно наоборот ко второму числу прибавить единицы первого числа). Полученный результат умножить на 10 (приписать справа 0) и прибавить произведение единиц первого и второго числа.

Так как данная книга о квадратах чисел, то применим данную формулу к частным случаям (когда Х=У):

112=11*11= (11+1) *10+1*1=120+1=121;

122=140+22=144;

132=160+32=169;

142=180+42=196;

152=200+52=225;

162=220+62=256;

172=240+72=289;

182=260+64=324;

192=280+81=361;

Необходимо добиться навыка подсчета таких чисел, как в последних двух примерах (18 и 19), когда многие промежуточные выкладки сведены к сумме двух слагаемых. Вполне можно добиться навыка простого запоминания этих квадратов. Подробнее о технике запоминания будет изложено в другом разделе книги, касающегося мнемотехники.

...