автордың кітабын онлайн тегін оқу О мироустройстве, коллайдере и токамаке
Афанасий Ким
О мироустройстве, коллайдере и токамаке
Шрифты предоставлены компанией «ПараТайп»
Дизайнер обложки Александр Грохотов
Редактор Евгения Кузьмина
© Афанасий Ким, 2019
© Александр Грохотов, дизайн обложки, 2019
Эта книга о мироустройстве из цикла научных фантазий Афанасия Кима о Едином мире.
Обосновано образование материи из физических и нефизических энергий, участвующих в процессах обновления материи во Вселенной.
Обоснованы возможные проблемы при применении в коллайдерах сверхвысоких энергий при протон-протонном разрушении вещества, что может привести к катастрофе Планеты.
Эта книга — предупреждение человечеству о необходимости осознания огромной и опасной мощности энергий нефизического мира.
ISBN 978-5-0050-3992-7
Создано в интеллектуальной издательской системе Ridero
Оглавление
- О мироустройстве, коллайдере и токамаке
- Предисловие
- Введение
- Основной перечень новых знаний о нефизическом
- Возможные экстремальные процессы при экспериментах на коллайдерах
- Проект нового коллайдера CERN
- Глава 1. Физика о глубоком проникновении вглубь материи
- 1. Классическая физика о нефизическом
- 2. Квантовая физика и теория относительности о нефизическом
- Вывод 1. Разрушение физического мира при силовой декогеренции
- Вывод 2. Разрушения при силовой делокализации
- 3. Интеллектуально-агрессивные атомы коллайдера и токамака
- Вывод 3
- Вывод по Главе 1
- Глава 2. Суть физики физического и нефизического в образовании частиц Пространственной и Физической материй
- 1. В поисках основы Всего Сущего
- 2. Интуитивная Вселенная
- 3. Обоснования элементарных частиц
- 4. Мономатерия
- 5. Материя, Пространство и Разум
- 6. Образование частиц с учётом новых знаний о свойствах пространств
- Глава 3. Субстанциональность пространств, материи и энергии
- 1. Первичные пространства в образовании материи
- 2. Пространство, Материя, Энергия
- 3. Материальная субстанция
- 4. Про-материя и реструктуризация природы
- 5. Дифференциация энергии и особенности обновления пространств и материй
- Заключение
- 1. О влиянии нефизического на физическое по классической физике
- 2. Развитие идей Единого мира
- Вывод 1. Только факт: расчётная плотность Тёмной материи в физических частицах может достичь р = 100 млрд. т/м3
- Вывод 2. При энергиях, планируемых к использованию в токамаке, цезий-бериллиевый комплекс может активизировать энергию Тёмной материи
- Вывод 3. Комплекс коллайдер-токамак несёт в себе опасность разрушения Планеты
- Вывод 4. Понадобится срочно разъединять системы детекторов от коллайдера, токамака от коллайдера, и систему бланкетов тороидальной камеры от токамака
- Литература
- Справочник аббревиатур
- Об авторе
Я приношу огромную благодарность моей жене Евгении, помогавшей мне в создании книги переводом рукописного текста в печатный, в его корректуре и организации издания.
Предисловие
Книга «О мироустройстве, коллайдере и токамаке». Это первая книга о новых знаниях мироустройства из цикла научных фантазий Афанасия Кима о Едином мире.
В книге представлены первичные знания о свойствах Нефизических энергий на основе законов классической физики. Обоснованы возможные опасные проблемы для человечества в случае системного нарушения установившихся в Природе условий обновления материи Вселенной во взаимодействиях физических и нефизических энергий Единого мира.
В классической физике открыты естественные мировые постоянные Д. Стони (1881), меньшие на порядок планковских мировых постоянных. Ни во времена Стони-Планка, ни в настоящее время, так и не найдены обоснования новым постоянным, не вскрыта их сущность. Мы нашли другие физические зависимости, подтвердившие мировые константы Стони, которые назвали атомными планковскими постоянными.
Поиск сути атомных планковских постоянных по новым зависимостям привёл к пониманию интегрального влияния полей различных природ на физические процессы и к необходимости рассмотрения видимых проявлений связей нефизического в физическом. Последующими исследованиями обосновано:
• взаимодействие магнитных моно-потоков с выделенной зоной Тёмной материи — ТМ0;
• создание в ТМ0 первичного давления;
• формирование первичной пространственной материи в виде совместной про-физической частицы — ТМч.
Развитие такого понимания Пространств и материи позволило увидеть и рассчитать огромные мощности нефизического мира и присутствие её энергий в частицах физической материи в свёрнутом состоянии.
Логическое представление нефизических свойств энергий на основе их проявлений в физическом мире, и их косвенное подтверждение физической наукой, требует развить их до состояния методических инструкций с целью верификации научных экспериментов и исследований:
• по контролю глубины их безопасного проникновения в Природу;
• по уточнению безопасности планируемых методов исследований;
• по недопущению нарушения системной целостности природных условий в обновлении материи во Вселенной.
Представлены модели частиц, субстанциональность Пространств и материи на основании единых свойств физического и нефизического, предложены основания по механизмам обновления материи и реструктуризации Природы.
На основе моделей электрона, протона и нейтрона обозначена концепция строения многоэлектронного атома, его ядра, механизм формирования протонов и нейтронов, совместное их адресное управление s-электроном и совместное формирование нейтроном и электроном наведённых энерго-центров в (p–d–f–) плоскостях атома.
Предложено представление системы Пространств и системы Пространственного Разума.
В Природе Пространств и формируемых ими материй, и энергий, предложено представление о Единой Программе их развития, подчиненной Единой цели Эволюции Природы. Это то, что для нас является Провидением, Божественным.
Обосновано, что при дифференциации вещества, каждое вещество наделяется возможностью некоторой активизации своих нематериальных пространств, и обладает энергией Разума в той минимальной мере, которая позволяет управлять этим материальным телом со стороны Программ Высшего Разума Саморазвития Природы.
Эта книга — это краткое представление основных идей по образованию физической части Единого мира. Мы надеемся в следующих книгах представить более подробные обоснования системного единства мироустройства и более уточнённое их толкование.
Все люди знают, что в их организме происходит постоянное обновление клеток и нарушение условий их обновления может привести к летальному исходу. Почему же мы так бездумно и безответственно относимся к своей Планете, к своей среде обитания?
Отсутствие знаний о Едином мире разрешает сознанию человека планировать грубое вмешательство в установившиеся природные процессы по обновлению материи во Вселенной, не заботясь о последствиях их разрушений.
Эта книга предлагает первичные знания о Едином мире, как предупреждение учёным о необходимости осознания единства физического и нефизического, и осознания огромной и опасной мощности энергий нефизического мира. И об их огромной ответственности перед человечеством за судьбы Мира и Планеты.
В Заключении книги представлены расчёты и выводы по тем чудовищным мощностям, которые могут быть активизированы человеческой деятельностью. Мы просим воспринять эти расчёты и наши предупреждения не за очередную пиар-акцию, или рекламную кампанию, а внимательно прочитать обоснования, выполненные на основе понятий общедоступных и признанных формул классической физики. Представленные механизмы образования огромных мощностей нефизической энергии и их возможные проявления в нашем мире Вам будут понятны, и Вы признаете, что мы правы.
Введение
В новые знания о Едином мире и о проблемах естественного обновления материи во Вселенной.
Уважаемые ученые Планеты Земля!
Уважаемые учёные по физике и по всем другим специальностям, привлечённые для работы на современных коллайдерах CERN! Вы — самые высококвалифицированные специалисты на Планете Земля, и у Вас самые интересные и увлекательные исследования, о которых можно только мечтать. Честь Вам и хвала!
Мы глубоко уважаем Вас, но вынуждены обратиться к Вам, чтобы поделиться с Вами нашими знаниями, накопленными нами с момента запуска Большого Адронного Коллайдера в 2008 году. Эти знания нас очень тревожат в связи с Вашими запланированными экспериментами на FCC — коллайдере будущего [1], и ближайшем запуске его главного структурного устройства — термоядерной установки токамак Т-15МД [2]. Или другого токамака, которым Вы решите воспользоваться, если Т-15МД, по каким-то причинам Вами будет отклонён к использованию в Программе FCC.
Основной перечень новых знаний о нефизическом
1. Мировые физические константы имеют двойственные значения:
• для локализованного физического пространства — общеизвестные;
• для переходного в нелокальное состояние пространства — другие, но рассчитываемые на основе известных функций классической физики;
2. Существование нефизического мира не только по утверждениям конфессиональных учений, но и из современных достижений физической науки. Комплексно-мнимая сущность «пространство-время» внутри атомного пространства и его переходные свойства;
3. Основные свойства нефизической составляющей в материи и её возможное воздействие на физическое. Опасность недооценки энергетических и качественных преобразований физического в нефизическое и обратно в природном обновлении материи во Вселенной;
4. С. Хоккинг и Р. Пенроуз о коллапсе волновой функции, как о зарождении мыслительной функции в материи. Эксперименты на коллайдерах — это накопление мыслительной материи во внутриатомных пространствах технических устройств. Предсказания Винера могут осуществиться, если технический интеллект станет разумным.
5. Другие исследования по физическим и нефизическим основам Единого мира.
Все эти обоснования Вы прочитаете в предлагаемой книге новых знаний о Едином мире. Принципиальное отличие наших знаний от Ваших в том, что мы изучаем природу физического и нефизического в их сущностном взаимодействии и единстве на основе достижений физической науки, и не отвергаем свойства нефизического только из-за того, что они могут истолковываться нефизическими, а изучаем их и обосновываем на основе новых знаний.
Эти знания дают нам уверенность в том, что Вы не сможете довести свои эксперименты до их завершения. Более того, наши обоснования убеждают нас в правоте критических высказываний по Вашей деятельности по программам БАК. Мы подтверждаем некоторые негативные предположения, анализируем и рассматриваем их на основе новых знаний о Едином мире.
В соответствии с этим анализом и теоретическим обоснованием развития событий экспериментов на коллайдерах, мы определили следующие технически возможные сценарии экстремальных процессов при разрушении природных условий обновления материи во Вселенной. Именно эти разрушения природных условий, предусмотренных для обновления материи, осуществляются в коллайдерах.
Все люди знают, что в их организме происходит постоянное обновление клеток и нарушение условий их обновления может привести к летальному исходу.
Почему же мы так бездумно и безответственно относимся к своей Планете, к своей среде обитания?
Возможные экстремальные процессы при экспериментах на коллайдерах
1. Разрушения при силовой декогеренции.
Процесс прямого воздействия нефизической энергии на физический процесс может произойти, если наведение нефизической энергии происходит в условиях мгновенно разрушенного физико-нефизического субстрата и может завершиться Большим взрывом. Уже можно рассчитать, при каких энергиях встречных пучков протонов и образовании физико-нефизического субстрата из осколков разрушенной материи, переход Тёмной энергии из состава частиц ТМч в физический мир станет необратимым. Обоснование представлено.
2. Разрушения при силовой делокализации.
При нарушении естественного процесса обновления материи в процессах делокализации должна произойти интеграция обломков материального объекта в единую поглощающую дыру и вовлечение в этот процесс всего окружающего пространства. Тогда, это становится опасным для пространства… Это какой-то новый феномен — материя поглощает пространство. Это чёрная дыра, сформированная материей.
3. В обычных условиях делокализации материального объекта при обновлении материи выполняется равенство давлений ядра пространственной свёртки, нейтральной энергии и антигравитационной энергии: ρя= Δρнэ = Δρагэ. При разрушении естественных условий обновления материи непременно возникнет условие, что Δρагэ> ρя. Тогда произойдёт поглощение пространством ядра Свёртки. Пространство, проходя через ядро, имея большую плотность, расщепит материю ядра на его составляющие элементы и поглотит их. Это пространственно — ядерная Чёрная дыра, сформированная пространством.
4. Интеллектуально-агрессивный атом коллайдера и токамака.
Это отдельная новая тема, как результат пренебрежения знаниями, полученными ещё от Норберта Винера [3] (1948, Кибернетика) и до Стивена Хокинга [4] и Роджера Пенроуза [5] (2004, Путь к реальности) и в других публикациях великих учёных [6], [7], [8].
В настоящее время атом постепенно приобретает самостоятельность из-за безответственных действий физиков при выполнении многочисленных опытов на токамаках и коллайдерах, в которых бесчисленное множество целенаправленных коллапсов волновых функций квантовых состояний материи привели к самообразованию мыслительного процесса в атомах рабочего вещества коллайдеров. Это вот о чём. Противостояние волновых функций нейтронов и протонов, в соответствии с выполняемыми ими функциями в атоме, приводит к совместному коллапсу их волновых функций во всех множественных экспериментах с разрушенными на осколки протонами и электронами. Протоны и электроны воспринимают свои вынужденные состояния, в которых они оказываются в экспериментах, как собственные решения. Происходит их самообучение по сопротивлению против вынужденных решений, накопление этого негативного опыта и, значит, сопротивление против организаторов экспериментов.
Уважаемые господа Учёные!
Мы очень надеемся, что Вы ознакомились с настоящими предварительными сведениями об опасности Ваших намерений и прониклись нашей озабоченностью о безопасности нашей Планеты. Очень надеемся, что после ознакомления с основными материалами книги Вы получите новые знания о нашем Едином мире, остановите Ваши эксперименты и выполните безопасные расчёты по новой методике с учётом энергий, наводимых нефизическими пространствами.
Мы глубоко убеждены в том, что изучение физического и нефизического миров можно и нужно осуществлять только на основе природных процессов, без грубого нарушения естественных условий их функционирования, без варварского отношения к своей среде обитания. Только тогда мы получим в ответ доброе отношение к себе от Создателя Всего Сущего и от Природы!
Мы будем обращаться к Вам, и будем дискутировать с Вами по устройству Единого мира до тех пор, пока Вы не остановитесь в своих варварских экспериментах по поиску того, что можно найти с помощью Разума и физических законов, проявляемых Природой.
Мы представим эти проблемы и наши новые знания широкому кругу общественности с целью создания информированной дискуссии, определения более здравой технологической политики в будущем и представим поимённо всех ответственных за негативные последствия для Природы и мира в результате варварских экспериментов.
Проект нового коллайдера CERN
1. Общая информация.
Европейский центр по ядерным исследованиям — CERN обнародовал план нового гигантского ускорителя частиц, который должен стать намного мощнее существующего сегодня Большого адронного коллайдера (БАК). Концептуальный проект называется Циклический коллайдер будущего (Future Circular Collider — FCC). Длина его окружности должна быть около 100 километров [1], [9].
Большой адронный коллайдер, самый мощный построенный на данный момент ускоритель частиц, был запущен в 2008 году. Его длина составляет 27 километров, что позволяет ему сталкивать протоны на энергиях до 13 ТэВ (1012 эВ).
Большая надежда физиков на обнаружение новых частиц не оправдалась. БАК не нашел никаких принципиально новых физических явлений.
В 2015 году детектор Большого адронного коллайдера MoEDAL произвёл поиск магнитных монополей при энергии столкновений 13 ТэВ. Никаких следов магнитных монополей с массой вплоть до 6 ТэВ и магнитным зарядом вплоть до 5 дираковских единиц обнаружено не было, вопрос их существования остался открытым.
В 2013 году началась разработка нового циклического коллайдера. В его обоснованиях подробно описана реализация задумки, а также возможные физические результаты, которые удастся с его помощью получить.
Первым этапом должно стать строительство электрон-позитронного коллайдера (FCC-ee) с длиной окружности около 100 километров. Энергия частиц в нем будет постепенно увеличиваться от 91 до 360 ГэВ, что позволит на принципиально новом уровне детализации исследовать W- и Z-бозоны, бозон Хиггса, а также t-кварки — самые массивные частицы в Стандартной модели. Следующим этапом станет строительство в том же 100 километровом туннеле протон-протонного коллайдера — FCC-hh.
Этот ускоритель будет использовать БАК в качестве вспомогательного ускорителя для предварительного разгона частиц. Максимальная энергия должна составить около 100 ТэВ (1013 эВ). Срок службы установки должен составить по крайней мере 25 лет, то есть практически до конца XXI века.
2. Технические особенности планируемых экспериментов
2.1. Физики надеются на то, что FCC-hh сможет подтвердить или опровергнуть существование вимпов — гипотетических частиц Темной материи.
Как можно обнаружить частицы ТМч по методологии физической науки?
Только разрушением частиц пространственной материи — ПМ = ТМ), которое предсказуемо коллапсом поглощения Тёмной материей барионной части в частицах Пространственной материи.
Возможно ли этот процесс удержать в рамках эксперимента?
Очень сомнительно. Объясним ниже.
2.2. Еще одним направлением будет исследование кварк-глюонной плазмы, для создания которой в ускоритель будут отправляться не протоны, а тяжелые ядра.
Этот процесс опасен в ещё большей степени. При разрушении частиц Пространственной материи ещё есть какая-то надежда на локальный исход событий без лавинного захвата процессом всего и вся. Но при разрушении кварк-глюонной плазмы, которое непременно случится при планируемых к использованию энергиях, произойдёт грубое вторжение в основы процессов образования материи нефизическими системами, вмешательство в установившуюся программу обеспечения устойчивости кварк-глюонного соответствия нуклонов и их разрушение вплоть до порчи их кодов. И если процесс перейдёт локальные границы случайных событий, допускаемых системой, это уже повлечёт разрушение Мироздания.
Конечно, Создатель Всего Сущего, не допустит такого развития Событий, если мы с Вами, каждый на своём месте, поможем Ему в этом. И не важно, как мы с Вами сейчас представляем себе Создателя Всего Сущего — Бог это или Природа. Важно, что мы должны все вместе не допустить разрушения основ нашей среды обитания.
2.3. О российской термоядерной установке токамак Т-15МД
Российская программа по ИТЭР должна включать в себя отработку технологий, необходимых для создания нейтронных источников. Это идеология нейтронных источников для выжигания актинидов и наработки топлива для атомной энергетики.
В России была создана установка токамак Т-15МД с длинным импульсом стационарного горения плазмы с высокими параметрами и перехода на неиндуктивное поддержание тока, с мощным дополнительным нагревом плазмы, вытянутым сечением и дивертором. Согласно техническому описанию, установка Т-15МД имеет вытянутую конфигурацию плазменного шнура с аспектным отношением 2.2, током плазмы 2 МА в тороидальном магнитном поле 2 Tл с квазистационарной системой дополнительного нагрева суммарной мощностью до 20 МВт. Установка рассчитана на длительность импульса до 30 с.
В статье [2] «Экспериментальная термоядерная установка токамак Т-15МД» (ВАНТ, Сер. Термоядерный синтез, 2019, т. 42, вып. 1), представлены технические обоснования и подробные описания проведённых исследований, обеспечивающих надёжную работу установки во всех режимах её проектного функционирования.
Научный руководитель П. П. Хвостенко заверил, что в экспериментах с замкнутым контуром циркуляции лития и изотопов водорода в квазистационарном режиме работы длительностью 30 с ожидается достижение рекордной, превышающей в 3 раза известные зарубежные аналоги, энергонапряжённости первой стенки токамака-реактора на уровне 0,3 МВт/м2, что обеспечивает технологический переход к промышленным термоядерным и гибридным реакторам УТС.
В результате проведённых исследований получена физическая и технологическая база в обоснование создания стационарных термоядерных реакторов [24] и перспективных гибридных систем на основе токамаков. Установка оборудована системой дополнительного нагрева плазмы и поддержания тока при уровне вводимой в плазму мощности Pдоп ≈ 15—20 MВт, которая позволит достичь высокой температуры (Ti — Te ~ 5—9 кэВ) и плотности плазмы (ne ~ 1020 м-3) в разряде с длительностью импульса до 30 с.
Указанные особенности осуществляются в установке, имеющей следующие основные параметры: одно- и двухнулевая (SN, DN) конфигурация плазмы со значениями аспектного отношения А~2, вытянутостью плазмы по уровню 95% потока k95 ≈ 1,7—1,9 и треугольностью δ95 ≈ 0,3. Основные геометрические размеры выбраны следующими: большой радиус тора R0 = 1,48 м, малый радиус плазмы — а = 0,67 м. Эти параметры при значении магнитного поля на оси плазмы BТО = 2,0 Тл определяют максимальную величину тока плазмы Iр = 2 MA. Требуемый запас магнитного потока в центральном соленоиде ΔΨcs = 6 Вб. Для параметров установки Т-15МД предел Гринвальда для плотности плазмы nе составляет nе, G = Ip/πa2 ≈ 1,4·1020 м-3.
Перечень технических параметров сложнейшей установки, предназначенной для работы в составе FCC-hh, показывает её научную фундаментальность и высокий класс инженерных разработок, по которым гарантируется расчётная безопасность её функционирования.
К сожалению, опасности, которые нами представлены в п.2.1. и п.2.2. совершенно реальны независимо от декларируемой безопасности. И это связано с тем, что земные учёные и конструкторы не знают и не учитывают наведённые нефизические параметры на физические процессы.
3. Об опасности экспериментов на коллайдерах
3.1. Применяемые энергии.
БАК, 13 ТэВ (1012 эВ)
• способен разгонять протонные пучки и сталкивать их с энергией до 14 тераэлектронвольт 40 млн раз в секунду;
• протоны будут сталкиваться на энергиях до 30 ТэВ в Международном линейном коллайдере (International Linear Collider, ILC в составе БАК;
• по светимости в области до 200 ГэВ циклические коллайдеры превосходят линейные;
• пучок протонов с импульсом 26 ГэВ/c (кинетическая энергия ~ 1,4 ГэВ), выпущенный из протонного синхротрона PS, сбрасывается на мишень и рождает ливни;
• максимальная энергия протонов в ISR составила 31.5 ГэВ.
FCC. 100 ТэВ (1013 эВ), по мощности — на порядок выше, чем БАК.
3.2. Основная критика по БАК.
Некоторые специалисты и представители общественности высказывают опасения, что существует вероятность выхода из-под контроля, проводимых в коллайдере экспериментов, и развития цепной реакции, которая при определённых условиях теоретически может уничтожить всю Планету. Многие ученые считают недостаточно обоснованным обзор безопасности CERN «Review of the Safety of LHC Collisions» группы безопасности (LHC safety assessment group (LSAG), и требуют прекратить эксперименты на коллайдере и рассмотреть все аспекты безопасности экспериментов независимой междисциплинарной комиссией.
В связи с опасностью экспериментов на БАК наиболее часто упоминается теоретическая возможность появления в коллайдере микроскопических Чёрных дыр, а также теоретическая возможность образования сгустков антиматерии и магнитных монополей с последующей цепной реакцией захвата окружающей материи.
3.3. Основная антикритика
В качестве основных аргументов в необоснованности катастрофических сценариев приводятся ссылки на то, что Земля, Луна и другие Планеты постоянно бомбардируются потоками космических частиц с гораздо более высокими энергиями. Природные частицы, энергии которых эквивалентны и даже на порядки выше энергий на БАК, обнаруживают в космических лучах, такие, как Зэватрон — гипотетический источник элементарных частиц с энергией в 1 зеттаэлектронвольт (1021 эВ, или 1 ЗэВ) и более. Название придумано по аналогии с существующими в США ускорителями Бэватроном (109 эВ) и Теватроном (1012 эВ). Это от лукавого. И ответчики понимают, что природные частицы в установившихся условиях взаимодействий не опасны, так как они не разрушают основы материи — единство физического и нефизического в частицах материи. Потому что, для космических лучей пространство и материя просто раздвигаются, материальные частицы отскакивают и не подвергаются прямому разрушительному массовому воздействию на внутренние связи частиц. Потому, что в Природе нет такого прицельного сталкивания пучков частиц и их разрушения, как это происходит в коллайдерах. При прицельном сталкивании встречных пучков в коллайдерах, массово разрываются внутренние связи между физическим и нефизическим состоянием материй за такой промежуток времени, когда система её обновления не успевает отреагировать на восстановление своих процессов. Именно это и опасно для Природы.
В качестве гарантии безопасности упоминается успешная работа ранее введённых в строй коллайдеров RHIC и Теватрон. Но концентрация протонов и тяжелых ионов в БАК на порядок выше, чем в этих ускорителях, а энергии разрушения в FCC выше чем в БАК на порядок! Поэтому коллайдеры, подобные LHC и FCC, представляют глобальную опасность, как реакционные системы, генерирующие уже не единичные явления, а экстремальные процессы, отсутствующие в земных условиях.
Такой довод о значительно более высоких концентрациях активных веществ и энергий уже приводился для того, чтобы остановить работы на БАК, но на практике ничего катастрофического по экспериментам по БАК, не произошло.
Нам очень повезло, что названные концентрации веществ и энергий в БАК ещё не достигли критических значений.
Но это не повод для того, чтобы забыть про опасности экспериментов на FCC коллайдере. Пока ещё не было сделано теоретического обоснования экстремальных процессов, происходящих во взаимосвязанных пространствах эксперимента и внутриатомного. Сейчас мы уже знаем много о Едином мире, и можем выполнить ориентировочные расчёты по пределу допустимого в применяемых энергиях и предсказать возможный сценарий событий.
Возможность образования микроскопических Чёрных дыр не отрицается специалистами CERN, однако при этом заявляется, что в нашем трёхмерном пространстве такие объекты могут возникать только при энергиях на 16 порядков больших энергии пучков в БАК. Гипотетически микроскопические Чёрные дыры могут появляться в экспериментах на БАК в предсказаниях теорий с дополнительными пространственными измерениями. Эти теории пока не имеют каких-либо экспериментальных подтверждений.
Когда появятся экспериментальные подтверждения, будет поздно.
Если Чёрные дыры будут возникать при столкновении частиц в БАК, предполагается, что они будут чрезвычайно неустойчивыми вследствие излучения Хокинга и будут практически мгновенно испаряться в виде обычных частиц [10]. Излучения Хокинга слишком маломощны, чтобы так кардинально повлиять на микродыры. Более существенны излучения, образуемые гидроциклонным разделением потоков уплотняемой материи в Чёрной дыре и образованием значительного разряжения давления в центрально-осевом направлении, противоположном основному направлению движения материи, и выбрасывающего на большую высоту мелкодисперсную и про-физическую часть уплотняемого вещества. Подозреваем, что из этого излучения формируются квазары. Для того, чтобы это произошло, микродыра должна разрастись до большого размера.
Указанные в критике теоретические возможности были рассмотрены специальной группой CERN, подготовившей соответствующий доклад, в котором все опасения признаются необоснованными. По их расчётам максимальная верхняя оценка вероятности катастрофического сценария на БАК составляет 10−31.
Можно ли доверять таким расчётам?
Можно было бы, если бы мы были уверены в том, что расчёты соответствуют действительности, а не тем знаниям, которыми мы обладаем. Хотелось бы быть уверенными до того, как Вы приступите к экспериментам, что шансы непреднамеренно запустить глобальную катастрофу действительно очень малы.
Невозможно найти аргументы с достаточным уровнем достоверности, которые могли бы оправдать Ваши выводы и Вашу деятельность, которая может привести к катастрофе.
Мы опровергаем Ваш вывод о малой вероятности катастрофического сценария БАК на основе новых знаний, накопленных с момента запуска БАК в 2008 года, которые Вам предлагаем для изучения.
Уважаемые господа!
В нашей с Вами дискуссии по устройству Единого мира, мы предлагаем использовать Ваш колоссальный опыт и Ваш интеллект на поиски идей и технологий обуздания стихии цепных реакций в пока неуправляемых процессах возможных катастроф. Тем самым помочь себе и людям жить безопасно на Планете.
У нас есть предложения для совместного их развития. Это более достойное занятие, чем планирование и осуществление разрушительных экспериментов. Нужно разработать технологию регулирования потоков энергии во взаимодействиях физического и нефизического путём внесения, например, в циклоиды Фридмана режимов струйного циклонирования с кольцевым струйным уплотнением и памятью свойств первичной материи в них. Это может привести к регулируемому, а не взрывному перетоку материи в новое пространство и к устранению опасности катастрофического сценария в экспериментах на коллайдерах. Это предложение мы делаем Вам, потому что Вы, как никто из других специалистов, хорошо знаете практические особенности скинирования потоков энергии и пинч-кольцевания их струйного течения, условий их образования и другие практические знания для проведения экспериментов в экстремальных условиях. Вы можете применить свои знания в таких же глобальных, но более тонких процессах регулирования взаимодействий Природ с новыми знаниями свойств Единого мира.
Другие предложения могут быть предоставлены после обсуждения настоящего.
Глава 1. Физика о глубоком проникновении вглубь материи
Энергетические воздействия на частицы материи и возможные последствия.
Обоснования.
A. О существовании нефизического мира не только по утверждениям конфессиональных учений, но и из современных достижений физической науки.
Б. Основные свойства нефизической составляющей в материи и её возможное воздействие на физическое. Опасность недооценки энергетических и качественных преобразований физического в нефизическое и обратно.
1. Классическая физика о нефизическом
Парадоксально, но это так. Классическая физика демонстрирует нам воздействие про-физического и нефизического на результаты расчётов и измерений в физическом мире. Покажем удивительные влияния нефизического на взаимодействия физического и нефизического в рамках классической физики.
1.1. Об открытии новых мировых констант
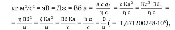
1.1.1. В классической физике имеются следующие признанные в мире равенства:
1.1.2. Имеются и другие системные зависимости:
где: с — скорость света, с — секунда.
Справедливость равенств проверена множеством исследователей и сами равенства использованы во всей многовековой деятельности человечества и их истинность является объективной при современном состоянии физической Природы в нашем уголке Вселенной и по тем знаниям, которыми мы владеем. Из приведённых равенств следует, что имеются такие взаимозависимости, как: м = θ/эВ, ħαη= Кл2 с и другие, по которым можно определить чему эквивалентен метр, секунда или килограмм и другие величины.
Мы покажем, чему эквивалентен метр по приведённой выше формуле через θ.
θ = кг м3/с2 и θ = м·эВ.
эВ = Дж при е эквивалентном Кл в размерности эВ. В таком рассмотрении эВ = кг м2/с2 и отношение θ/эВ по своей размерности точно равно метру.
Длина, вычисленная по приведённым выше многочисленным равенствам, оказалась меньше планковской на целый порядок. Меньшими оказались и другие показатели фундаментальных размерностей, а именно — секунда и килограмм.
Приводим их значения в сравнении:
pl — планковской и а — атомного планковского числа.
• длина
— lpl = 1,6160510·10—35 м.
— lа = 1,380513554·10—36 м.;
• время
— tpl = 5,3905634·10—44 c.
— tа = 3,563971755·10—45 c. (с учётом энергии наведения);
• масса
— mpl = 2,1767114·10—8 кг.
— mа = *) 1,859461053·10—9 кг.,
Мы назвали новые мировые константы атомными планковскими числами, но это мировые константы Д. Стони [11]. Величины естественных мировых констант Стони имеют значения меньшие планковских и предшествуют им.
Физическая суть естественных мировых единиц Стони до сих пор не выявлена, есть только шуточное отношение к ним великих учёных: Ландау, Иваненко, Гамова [12].
В отличии
