Материалы международной научной конференции «Современные проблемы науки, техники и производства». Сборник статей. Часть 2
Қосымшада ыңғайлырақҚосымшаны жүктеуге арналған QRRuStore · Samsung Galaxy Store
Huawei AppGallery · Xiaomi GetApps

автордың кітабын онлайн тегін оқу  Материалы международной научной конференции «Современные проблемы науки, техники и производства». Сборник статей. Часть 2

Материалы международной научной конференции «Современные проблемы науки, техники и производства»

Сборник статей. Часть 2

Шрифты предоставлены компанией «ПараТайп»


Авторы: Алиев Ибратжон Хатамович, Билолов Иномжон Уктамович, Машрабжонович Жамшид, Исроилов Шаробиддин Махаммадюсуфович, Мавлонова Дилнозахон Шухратжоновна, Абдурахмонов Султонали Мукарамович, Отажонов Салим Мадрахимович, Абдулвахидов К., Юнусов Нурзод, Алимов Нодир Эсоналиевич, А. К., Абдуллаев Ш., Каримов Боходир Хошимович, Ахмедов Турсун Ахмедович, Абдуназарова Мехринисо, Холматова Нилуфархон Жахонгировна, Ботиралиевна Дилноза, Каримов Музаффар Мусахонович, Маъмурова Ойдиной Рахимбердиевна, Абдумажидов Нозимжон Акмалжонович, Муродов Ривожиддин Набижонович, Сайитов Шавкатжон Самиддинович, Хамзаев Дилшод Хамзаевич, Любимова Елена Михайловна, Ибрагимова Адолатхон Адхамжоновна, Кулдашов Голибжон Оббозжонович, Юсупова Анора Каримовна, Муминова О., М. М., Номанжанов Бахром, Юнусов А. Р., Шербековна Севинч, Ганиева Сохибахон, Хатамова Зумрадхон Назиржоновна, Азамов Валижон, Вавилова Екатерина Александровна, Х. М., Ибрагимова Б. Б., Якубова Нигора Мамадиёровна


Главный редактор, ответственный за выпуск, генеральный директор Electron Laboratory LLC, директор НИИ "ФРЯР" Ибратжон Хатамович Алиев

Редактор, кандидат физикоматематических наук, доцент кафедры "Технологического образования" физикотехнического факультета Ферганского Государственного Университета, Директор по науке НИИ "ФРЯР", Научный руководитель Electron Laboratory LLC Боходир Хошимович Каримов

Редактор, директор компании Clipper Energy SND. BHD., Директор по экономике НИИ "ФРЯР", Экономический руководитель Electron Laboratory LLC Ботирали Рустамович Жалолов

Редактор, кандидат физикоматематических наук, доцент кафедры "Электроники и приборостроения" факультета Систем компьютерного проектирования Ферганского Политехнического Института, Технический директор НИИ "ФРЯР", Первый заместитель Научного руководителя Electron Laboratory LLC Султонали Мукарамович Абдурахмонов

Академик Академии наук Республики Узбекистан, членкорреспондент Российской Академии технологических наук, доктор физикоматематических наук, профессор, Член учёного совета НИИ "ФРЯР" Рамизулла Абдуллаевич Муминов

Доктор юридических наук, профессор и заведующий отделом гражданско-правовых и международно-правовых наук и международных организаций Института государства и права, Член учёного совета НИИ "ФРЯР" Миродилжон Хомуджонович Боротов

Доктор технических наук, профессор Научноисследовательского института "Физики полупроводников и микроэлектроники" при Национальном Университете Узбекистана, Член учёного совета НИИ "ФРЯР" Оббозжон Хокимович Кулдашов

Старший научный сотрудник, заведующий ускорительным центром при Научно-исследовательском институте «Физики полупроводников и микроэлектроники» при Национальном университете Республики Узбекистан, Член учёного совета НИИ "ФРЯР" Ринад Фуадович Руми

Доктор физикоматематических наук, профессор, ведущий научный сотрудник Научнопроизводственного объединения «Melma», Член учёного совета НИИ "ФРЯР" Зокиржон Тохирович Азаматов

Доктор технических наук, профессор и ректор Ферганского политехнического института, Член учёного совета НИИ "ФРЯР" Уктам Рахимович Саломов

Доктор технических наук, профессор кафедры «Электроники и приборостроения» факультета систем компьютерного проектирования Ферганского политехнического института, Член учёного совета НИИ "ФРЯР" Сирожиддин Фаязович Эргашев

Доктор физикоматематических наук, профессор и заведующий кафедры «Технологического образования» физикотехнического факультета Ферганского государственного университета, Член учёного совета НИИ "ФРЯР" Салим Мадрахимович Отажонов

Доктор филологических наук, профессор филологического факультета Ферганского государственного университета, Член учёного совета НИИ "ФРЯР Мухаммаджон Хакимович Хакимов

Доктор технических наук, старший научный сотрудник лаборатории «Материаловедения электронной техники и микроэлектроники» при Научноисследовательском институте «Физики полупроводников и микроэлектроники» при Национальном Университете Узбекистана, Член учёного совета НИИ "ФРЯР" Сайфулло Саидович Насриддинов

Доктор технических наук, профессор кафедры «Радиотехнических устройств и систем» факультета электроники и автоматики Ташкентского государственного технического университета имени Ислама Каримова, Член учёного совета НИИ "ФРЯР" Абдулазиз Муминович Назаров

Иллюстратор Ибратжон Хатамович Алиев

Иллюстратор Боходир Хошимович Каримов

Иллюстратор Раънохон Мукарамовна Алиева

Иллюстратор Асильбек Рахмоналиевич Тухтасинов

Дизайнер обложки Ибратжон Хатамович Алиев

Дизайнер обложки Боходир Хошимович Каримов

Дизайнер обложки Раънохон Мукарамовна Алиева

Корректор Ибратжон Хатамович Алиев

Корректор Боходир Хошимович Каримов

Корректор Фозилжон Орипович Обидов

Корректор Екатерина Александровна Вавилова

Корректор Ботирали Рустамович Жалолов





18+

Оглавление

СЕКЦИЯ 1. Современные исследования в области точных и естественных наук

АНАЛИЗ ПРОЦЕССА ПЕРЕНОСА ТЕПЛА В ПРОСТРАНСТВЕ

Билолов Иномжон Ўктамович

Отажонов Жамшид Машрабжонович
Исроилов Шаробиддин Махаммадюсуфович
Мавлонова Дилнозахон Шухратжон қизи
Абдурахмонов Султонали Мукарамович
Алиев Ибратжон Хатамович
ФерПИ, 150100, г. Фергана, Ферганская обл., Республика Узбекистан
ФФ ТУИТ, 150100, г. Фергана, Ферганская обл., Республика Узбекистан

НИИ «ФРЯР», Electron Laboratory LLC, 151100, г. Маргилан, Ферганская обл., Республика Узбекистан

Аннотация. В работе теоретически рассмотрены общие принципы переноса тепловой энергии в ограниченном пространстве. Для упрощения задачи задача, определяются в декартовой системе координат. Анализируются зависимость переноса от коэффициентов теплопроводности, теплоёмкости и собственных коэффициентов дифференциальных уравнений в частных производных неоднородного и однородного характера. При моделировании заданы начальные и граничные условия. В решении задачи применён метод множественного разделения переменных. В заключении выводится конечная форма функции явления теплопереноса в ограниченном пространстве от 4 переменных.

Ключевые слова: диффузия, конвенция, абсорбция, теплопроводность, теплоёмкость, поправочные коэффициенты.

Введение

В технологических процессах в основном главную роль играет передача и перенос энергии в зависимости от технологических условий. При анализе и расчёте создаваемых проектов необходимо учесть физические процессы, связанные с энергетическими параметрами на молекулярном уровне. В этих процессах участвуют явления диффузии, конвекции, абсорбции и другие, которые определяются некоторыми свойствами. Каждое явление в отдельности, теоретически обоснована и используется во всех расчётах. Теоретические работы, рассматривающие общий случай, то есть, когда участвуют все эти явления, досконально не рассмотрены.

Достаточно подробно рассмотрен один из случаев расположения термоэлемента под окнами, что обуславливалось тем, что при прохождении более прохладного потока воздуха, такой поток благодаря тому, что прохладный воздух тяжелее тёплого опускается вниз — в сторону нагревательного элемента. Затем увеличивая свою температуру и продолжая своё движение по направлению прохождения он начинает подниматься, а тем временем пребывают новые потоки прохладного воздуха и также поток воздуха, находящийся ближе к потолку, успевает остыть и опуститься к батарее, чтобы вновь продолжить этот цикл. В этом случае, важно заметить, что степень понижения температуры тёплого воздуха у потолка не сводит его температуру к значению поступающего потока, таким образом в помещении удерживается средняя температура.

Ныне активно стали применяться специальные модели нагревательных элементов, которые находятся ближе к потолку, где причина логически не обуславливается согласно вышеописанной модели, однако, известна конструктивная особенность, по сравнению с предыдущей моделью. Существование такой конструкции позволяет рассуждать о том, что возможно нахождение более благоприятных вариантов расположение нагревательных элементов и требует проведение теоретического анализа потока воздуха в помещении. Поэтому теоретическое исследование вышеуказанных вариантов установки нагревательных элементов и элементов потери является актуальным.

Материалы и методы

В исследовании использованы методы анализа полученных данных путём применения изначально алгоритма квантования параметров с последующим выведением отдельных дискретных результирующих последовательностей. Основным использованным методом является аналитический способ анализа физических явлений посредством приведения из общих закономерностей к дифференциальному уравнению в частных производных, с конечным его решением и выведением конечной функции описывающая процесс. Также, среди применённых методов отмечает анализ явления, теоретическое моделирование процесса.

Обсуждение исследования

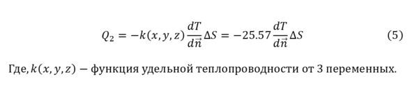
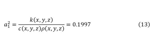
Для разработки настоящей модели, необходимо ввести некоторые данные. Так, пусть анализируется определённое полностью пустое помещение, с единственным окном. При этом известен объём помещения V, площадь окна So, а также установлено, в что в помещении имеется сухой воздух, состоящий из 78% азота и 22% кислорода, плотность которого равняется (1), коэффициент теплоёмкости (2) и коэффициент теплопроводности (3).

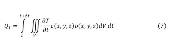
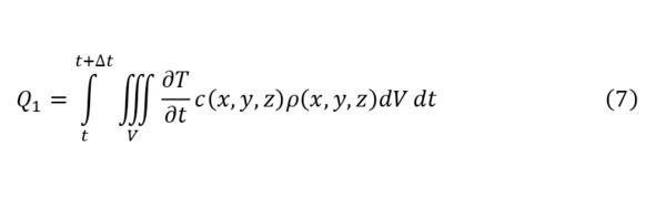
В описанном пространстве имеется единый источник тепла, с известными координатами и величиной энергии. Зная указанные значения в аналитическом виде, можно вычислить теплоёмкость всего воздуха в помещении (4), величину проходящей через произвольную виртуальную плоскость с известной площадью в этом пространстве (5) и температуру в любой точке этого пространства (6), что следует из (4).

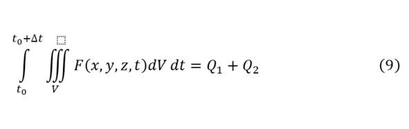
Однако, если обратить внимание в (4—6) получается цикл, для разрешения которого необходимо найти специальную функцию от температуры, зависящая от 4 переменных. Поскольку величина входящей энергии известна, и она равна сумме этих двух температур, принимая, что стены помещения достаточно толстые для изоляции помещения, а также указав, что сумма между температурой входящего потока и температурой, образуемая от вводимой энергии также известна и описывается специальной функцией, то можно принять (9). В функции (9) отдельно не указаны явления диффузии, конвекции, абсорбции, но они учитываются на этапе расчёта каждой из заданных функций. Отметив, что перед переходом к (9), необходимо предварительно переписать (4—5) в (7—8).

В результате выражение упрощается (10).

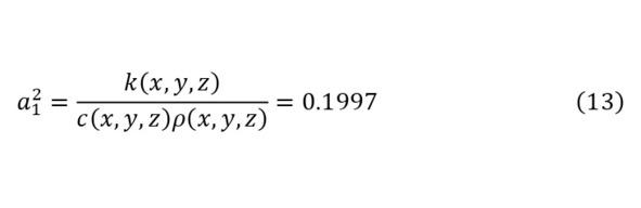
Принимая, что анализ ведётся в декартовом пространстве без перехода в сферическую или цилиндрическую систему координат, результирующее уравнение описывается в форме дифференциального уравнения в частных производных вида (11), что является уравнением теплопроводности, принимая (12—13).

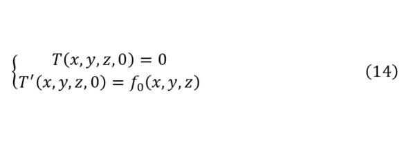
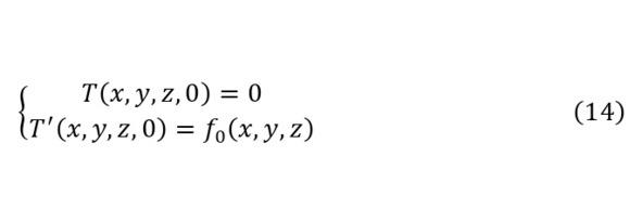
Для получения уравнения, описывающее исследуемое явление, определяется множество решений уравнения, граничные и начальные условия. Величина температуры в начальный момент времени берётся в качестве нуля и учитывается, что известна скорость её изменения в качестве отдельной функции (14).

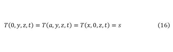
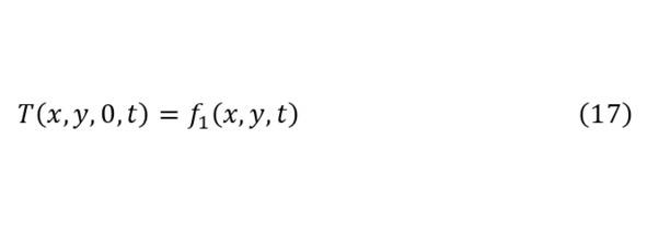
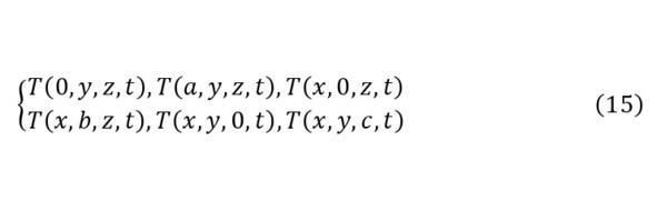
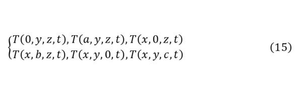
Замечается, что начало координат находится в левом нижнем углу помещения напротив стены с окном, при том, что длина помещения равняется a, ширина — b, высота — c, откуда следует (15).

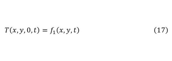
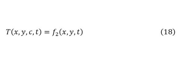
Из приводимых граничных условий можно сделать выводы (16—19), учитывая также, что величину температуры воздуха на уровне пола и потолка можно определить через (17—18), изменение температуры воздуха через окно можно определить через (18).

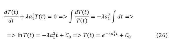
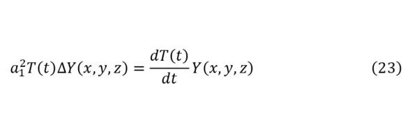
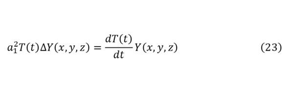
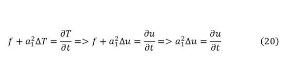
В решении дифференциального уравнения (11), можно применить метод разделения переменных (21), сделав замену (20) и уже из него изначально превратив настоящее неоднородное уравнение теплопроводности в частных производных второго порядка в однородное (22).

Подстановка значения (22) в (20) получается (23), с дальнейшим преобразованием в (24), где получается первое соотношение равное значению собственной функции.

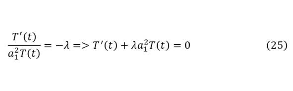
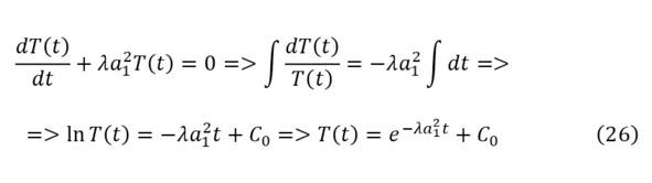
Далее необходимо перейти к первому решению относительно одной переменной времени, превратив вторую и третью часть соотношения (24) в обыкновенное дифференциальное уравнение (25), имеющее решение в (26).

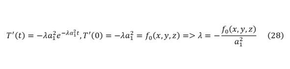
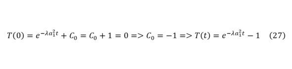
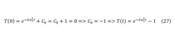
Дополнительный член в (26) вычисляется при использовании первого начального условия (27).

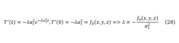
Собственное значение для времени определяется в данном случае посредством использования второго начального условия из (14) в виде (28).

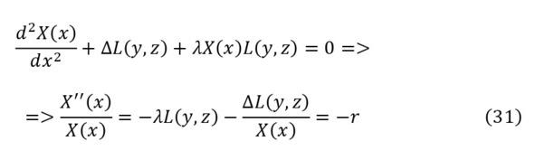
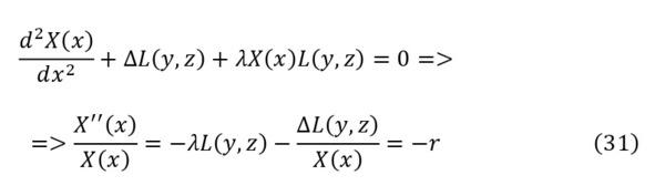
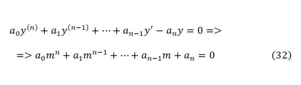
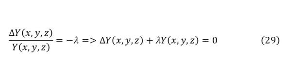
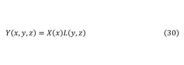
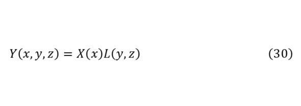
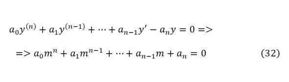
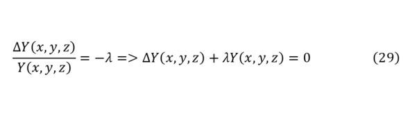
Продолжение решения задачи, переходит к пространственной форме (29), где выражается вновь представление через разделение переменных (30), откуда можно составить преобразование вида (31), которое превращается в равенство с новым собственным значением, откуда уже можно получить обыкновенное дифференциальное уравнение второго порядка для первой переменной (32).

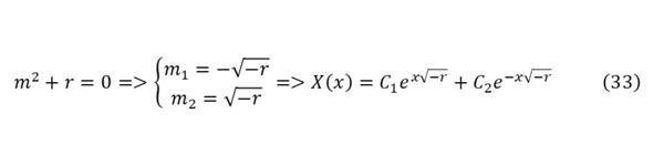
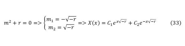
Далее, решение такого уравнение определяется через нахождение характеристического уравнения, согласно (32) в виде (33), где находиться решение с двумя неизвестными постоянными и собственным значением для обыкновенного дифференциального уравнения первой переменной.

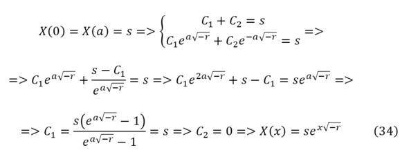
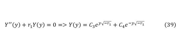
Учитывая вывод для граничных условий, определяется решение уравнения (32) с уже определёнными значениями для постоянных (34).

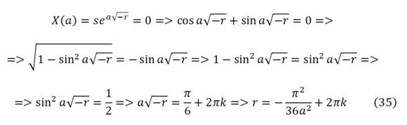
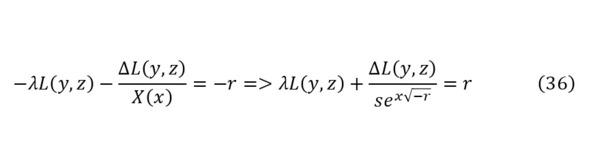
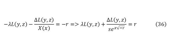
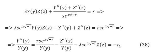
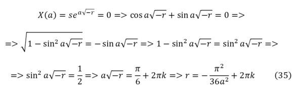
Остаётся найти собственное значение этого уравнения, для чего применяется (35), после чего полученный результат в (34) подставляется во вторую часть (31) получая (36), как новое дифференциальное уравнение с новым разделением оставшихся переменных (37).

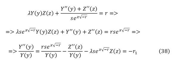
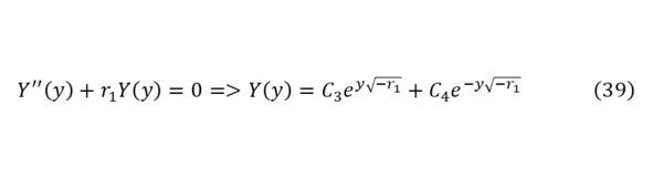
После подстановки, уравнение вновь преобразуется, приходя к новому равенству, где появляется новое собственное значение для второй и третьей переменной (38) и определяя часть уравнения для второй пространственной переменной, можно прийти к обыкновенному дифференциальному уравнению второго порядка, практически идентичный с обыкновенным дифференциальным уравнением второго порядка для случая с первой пространственной переменной, откуда становится очевидным его решение с двумя постоянными неизвестными коэффициентами (39), которые достаточно легко находятся через систему (40) в виде (41).

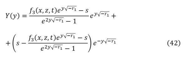
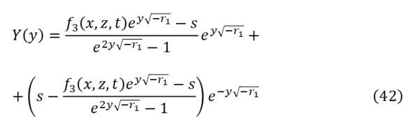
Легко подставляя полученные значения для констант, организуется конечная форма для функции второй пространственной переменной (42).

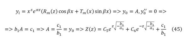
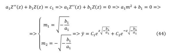
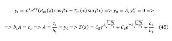
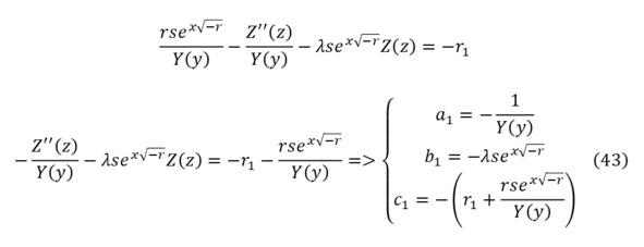
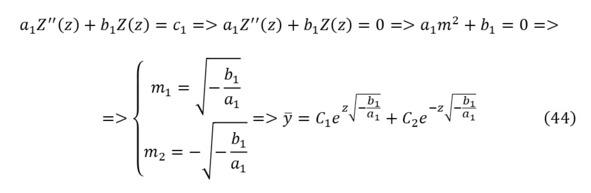
Продолжение решения представляется после подстановки решения уравнения (42) для уравнения с третьей пространственной переменной, которая является дифференциальным уравнением второго порядка (43) и для которого вводятся специальные переменные (43).

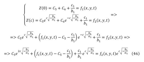
Поскольку полученное обыкновенное дифференциальное уравнение второго порядка неоднородно, изначально находиться решение для его однородной части, а после вычисляется решение неоднородной части в результате приходя к единому решению (45).

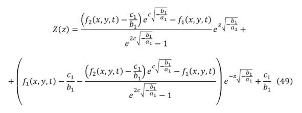
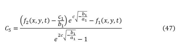
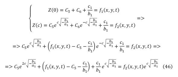
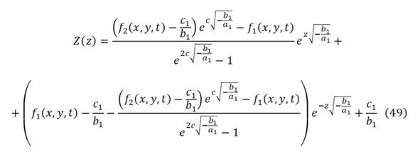
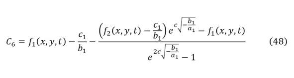
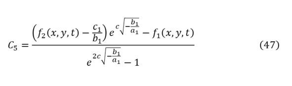
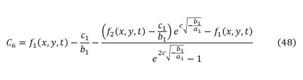
Используя граничные условия также находятся значения для постоянных неизвестных коэффициентов (46), получая значение для первого коэффициента (47) и второго (48), получая конечное значение уравнения для третьей переменной (49).

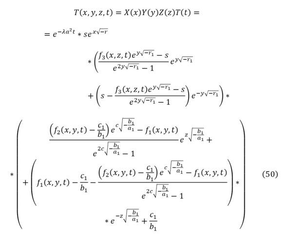
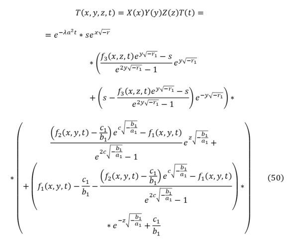
Откуда легко определить собственные значения для предыдущего и раннего показателя, либо прибегнуть к расчёту посредством изначальных равенств и продемонстрировав конечную форму выражения (50).

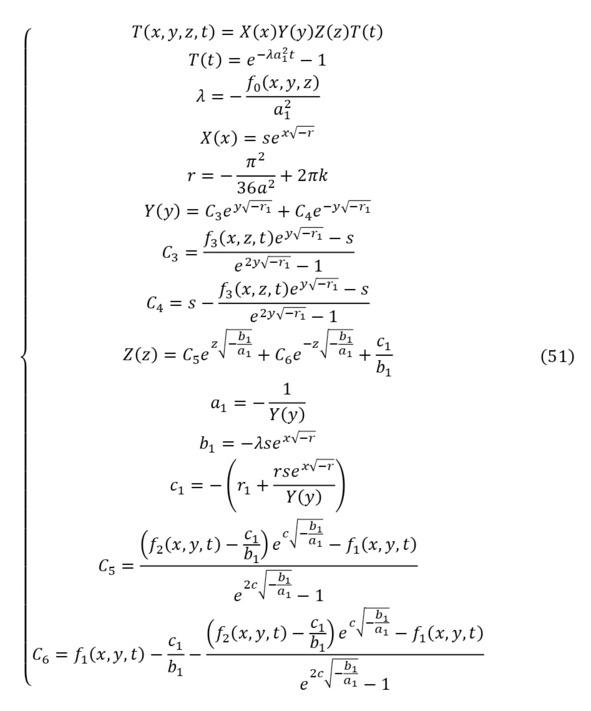
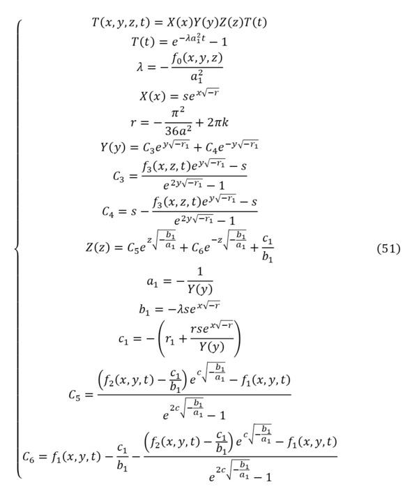
Что легче выразить через систему (51).

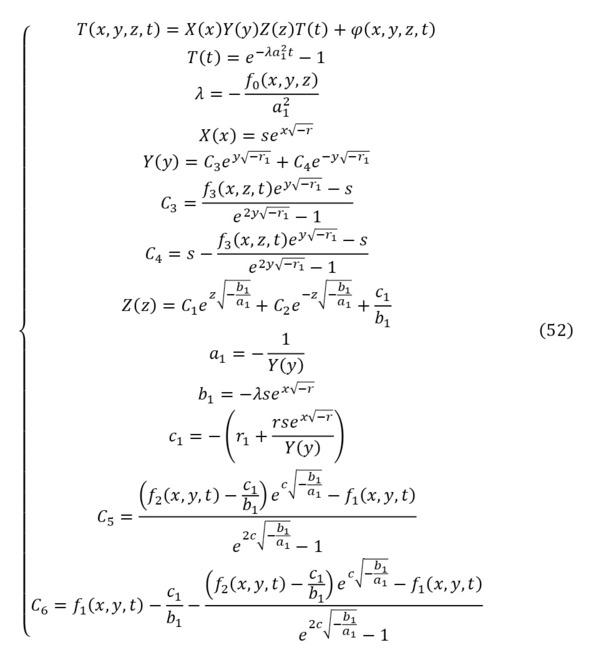
Поскольку настоящее решение является решением именно однородного 4 мерного дифференциального уравнения в частных производных, для этого уравнения, но с неоднородной формой необходимо применить тот же алгоритм, который применялся в ходе решения частных уравнений пространственных переменных с неоднородными обыкновенными дифференциальными уравнениями второго порядка, а именно добавление к решению определённого члена, который находился бы посредством использования вышеуказанного алгоритма, приводя к конечному решению поставленной задачи (52).

Благодарности

Авторы приносят благодарности за оказание помощи при проведении математических вычислений, решении дифференциальных уравнений д.ф.-м.н., профессору ФерГУ Каримову Ш. Т.

Заключение

Таким образом была получена единая функция, которая описывала бы полноценно, распространение тепла в пространстве в описанной системе с прохождением воздуха, при учёте введения всех необходимых дополнительных вводных функций. При вводе граничных и начальных условий получается результирующая величина температуры в произвольной точке ограниченного пространства.

Использованная литература

1. S. M. Abdurakhmonov, Sh. Sayitov and I. X. Aliyev. Mathematical modeling of soldering iron heating process in automated terminal soldering installations. E3S Web of Conferences 401, 05064 (2023)

2. Mamirjon Turdimatov*, Farrukh Mukhtarov, Sultonali Abdurakhmonov, Umidjon Khudoynazarov and Mastura Muminova. Specialized processors and algorithms for computing standard functions. E3S Web of Conferences 389, 07012 (2023)

3. Sultonali Abdurakhmonov, Shavkatjon Sayitov, Makhmud Mirzajonov, Inomjon Bilolov and Abbos Khaydarov. Research of terminal soldering technology for auto glass heating systems. E3S Web of Conferences 389, 01036 (2023)

4. Simona Olmi, Lucia Valentina Gambuzza, Mattia Frasca. Multilayer control of synchronization and cascading failures in power grids. Chaos, Solitons & Fractals. Volume 180, March 2024, 114412.

5. Przemysław Borys, Paulina Trybek, Beata Dworakowska, Anna Sekrecka-Belniak, Ewa Nurowska, Piotr Bednarczyk, Agata Wawrzkiewicz-Jałowiecka. Selectivity filter conductance, rectification and fluctuations of subdomains — How can this all relate to the value of Hurst exponent in the dwell-times of ion channels states? Chaos, Solitons & Fractals. Volume 180, March 2024, 114492.

6. Yuan Zhang, Jinde Cao, Lixia Liu, Haihong Liu, Zhouhong Li. Complex role of time delay in dynamical coordination of neural progenitor fate decisions mediated by Notch pathway. Chaos, Solitons & Fractals. Volume 180, March 2024, 114479.

7. Willian Cintra, Mirelson M. Freitas, To Fu Ma, Pedro Marín-Rubio. Multivalued dynamics of non-autonomous reaction–diffusion equation with nonlinear advection term. Chaos, Solitons & Fractals. Volume 180, March 2024, 114499. https://doi.org/10.1016/j.chaos.2024.114499

8. Cao Wen, Jinfeng Wang, Yang Liu, Hong Li, Zhichao Fang. Unconditionally optimal time two-mesh mixed finite element algorithm for a nonlinear fourth-order distributed-order time fractional diffusion equation. Physica D: Nonlinear Phenomena. Available online 6 February 2024, 134090.

9. Diana S. Maltseva, Roman O. Popovych. Point-symmetry pseudogroup, Lie reductions and exact solutions of Boiti–Leon–Pempinelli system. Physica D: Nonlinear Phenomena. Available online 5 February 2024, 134081. https://doi.org/10.1016/j.physd.2024.134081

10. Zhongjian Wang, Jack Xin, Zhiwen Zhang. A DeepParticle method for learning and generating aggregation patterns in multi-dimensional Keller–Segel chemotaxis systems. Physica D: Nonlinear Phenomena. Available online 3 February 2024, 134082. https://doi.org/10.1016/j.physd.2024.134082

11. Nang X. Ho, Hung V Vu, Truong V Vu. Migration of a multi-core compound droplet in a ratchet microchannel. European Journal of Mechanics — B/Fluids. Available online 3 February 2024. https://doi.org/10.1016/j.euromechflu.2024.01.016

12. U.S. Mahabaleshwar, A.B. Vishalakshi, Martin Ndi Azese. Corrigendum to «The role of Brinkmann ratio on non-Newtonian fluid flow due to a porous shrinking/stretching sheet with heat transfer» [Eur. J. Mech. B Fluids 92 (2022) 153–165]. European Journal of Mechanics — B/Fluids. Available online 16 January 2024.

PHYSICAL AND GALVANOMAGNETIC PROPERTIES OF NANOSTRUCTURED COMPOSITIONS OF (1-х) АFe12O19 — xBTiO3 (A-Ba, Pb, Cd; B-Ba, Pb)

K. Abdulvakhidov1, S. Otajonov2, N. Yunusov2

1Prof. Southern Federal University, Rostov-on-Don.Russia

2Prof. Fergana state university, Uzbekistan

2Teach. Fergana state university, Uzbekistan

Abstract

In this work, the physical and galvanomagnetic properties of nanostructured compositions of (1-х) АFe12O19 — xBTiO3 (A-Ba, Pb, Cd; B-Ba, Pb) ceramics in the range of x=0.0–1.0 with a concentration step Δx=0.1 were studied by complex methods. X-ray difraction revealed that the YbMF compositions in the range of x=0.1–0.5 were hexagonal (H) phase solid solutions. In the concentration range of x=0.6–0.8, the hexagonal and orthorhombic (O) systems coexist, and the unit cell parameters of these phases rise with increasing x. The study of the lattice parameters, bond lengths, bond angles and the main parameters of the magnetic hysteresis loop of the H-phase revealed the presence of a singular point x=0.5 in the concentration range, where extrema of the corresponding parameters were observed.

Key words: Structure, spintronics, magnetoelectric sensors, multiferroic, Néel temperature, ferroelectric, antiferromagnet.

Introduction

Rare-earth multiferroic (1-х) АFe12O19 — xBTiO3 (A-Ba, Pb, Cd; B-Ba, Pb) is interesting because it is a potential candidate for use as a functional element in information storage devices, spintronics, magnetoelectric sensors, etc. Such applications are based on the presence of magnetic and ferroelectric sublattices in YbMF and the possibility of cross-infuence on them by electric and magnetic felds, respectively. The initial (1-х) АFe12O19 — xBTiO3 (A-Ba, Pb, Cd; B-Ba, Pb) component crystallizes in the hexagonal syngony (hereinafter h-YbMO), while the second YbFeO3 component crystallizes in the hexagonal (hereinafter h-YbFO) and orthorhombic (hereinafter o-YbFO) syngonies. Hexagonal h-YbMO is a multiferroic with a ferroelectric phase transition temperature Tc=993 K. The temperature of the antiferromagnetic phase transition difers in diferent works: According to, the antiferromagnetic transition in these manganites occurs at TN ≈ 70–130 K, according to other sources, TN is 81 K and 82 K, respectively. The stable orthorhombic phase o-YbMO can be obtained by heating the hexagonal h-YbMO under a pressure of 5 GPa and a temperature of 1100° C [14] or by quenching under high pressure. According to, the magnetic phase transition occurs at TN =43 K. Hexagonal h-YbFO is also multiferroic. At room temperature, its symmetry space group is P63cm, and it is characterized by two ferroelectric phase transitions. The transition temperature from the paraelectric to ferroelectric phase is Tc1=470 K, and the transition between the ferroelectric phases occurs at a temperature of Tc2=225 K. The Néel temperature is TN =120 K. The symmetry above 470 K is described by the space group P63cm. At temperatures below 1000 K, ferroelectricity in h-RMnO3 and h-RFeO3 is induced by lattice distortion with a tilt angle (θ) of the FeO5 (or MnO5) trigonal bipyramid. In the orthorhombic phase, o-YbFO is an antiferromagnet with a Néel temperature TN =627 K and is described by the symmetry space group Pbnm. According to, no ferroelectric properties were found in o- (1-х) АFe12O19 — xBTiO3 (A-Ba, Pb, Cd; B-Ba, Pb). At room temperature, the structure and physical properties of rare-earth manganites (ReMnO3) and rare-earth orthoferrites (ReFeO3) change depending on the radius of Re3+ ions. ReMnO3 compositions with a greater Re3+ ionic radius than Dy (1.05 Å) have an orthorhombic distorted perovskite-type crystal structure, whereas those with a smaller Re3+ ionic radius than Dy have a hexagonal crystal structure. (1-х) АFe12O19 — xBTiO3 (A-Ba, Pb, Cd; B-Ba, Pb) can crystallize in diferent space symmetry groups depending on the Fe/Mn molar ratios; therefore, the physical properties of (1-х) АFe12O19 — xBTiO3 (A-Ba, Pb, Cd; B-Ba, Pb) can be purposefully changed over a wide range. It was discovered that the Néel temperature TN of hexagonal YbMnO3 manganites doped with Fe3+ ions increases from 81 to 116 K (for YbMn0.45Fe0.55O3), and YbMn0.45Fe0.55O3 crystals exhibit antiferromagnetic properties. In addition, its magnetization M (H) is more than 100 times higher than that of YbMnO3. The Mössbauer spectra of the hexagonal and orthorhombic phases of the YbMn1–xFexO3 compounds were studied in, and the magnetic susceptibility was studied during zero feld cooling (ZFC). However, YbMn1-xFexO3 compositions have not been studied by dielectric, FTIR and optical absorption spectroscopy over the entire concentration range; and there is practically no data on their magnetodielectric properties. There are no data on the morphotropic region (MR) of these compositions. In order to fll this gap, such measurements are carried out for the frst time. The aim of this work was to study the structural-phase state and physical properties of the YbMn1-xFexO3 compositions, as well as establish the «structure–property» relationship using complex physical methods.

Synthesis, sample preparation and measurement apparatus

The (1-х) АFe12O19 — xBTiO3 (A-Ba, Pb, Cd; B-Ba, Pb) compositions studied in this work were obtained by the solid-phase reaction method using the oxides Yb

...