Многообразие тригонометрии. часть 1. или Трактат на тему «Элементарная теория дерадианных дробей»
Қосымшада ыңғайлырақҚосымшаны жүктеуге арналған QRRuStore · Samsung Galaxy Store
Huawei AppGallery · Xiaomi GetApps

автордың кітабын онлайн тегін оқу  Многообразие тригонометрии. часть 1. или Трактат на тему «Элементарная теория дерадианных дробей»

Юрий Николаевич Хахалкин

Многообразие тригонометрии. часть 1

или Трактат на тему «Элементарная теория дерадианных дробей»






12+

Оглавление


Автор произведения и данной теории Ю. Н. Хахалкин


Многообразие тригонометрии

Трактат по

теории дерадианных дробей

Предисловие от автора теории дерадианных дробей

…Было бы легче остановить Солнце, легче было сдвинуть Землю, чем уменьшить сумму углов в треугольнике, свести параллели к схождению и раздвинуть перпендикуляры к прямой на расхождение. (В. Ф. Каган)


Только с алгеброй начинается строгое математическое учение. (Н. И. Лобачевский)


Лучший способ изучить что-либо — это открыть самому.

(Д. Пойа)

Я приветствую всех любителей математики, всем доброго времени суток! Всем, кто любит что-то посчитать, чертить, измерять. В этой книге я хочу показать читателю новый способ подхода к новому осмыслению и пониманию угла в геометрии и тригонометрии, попробовать посмотреть на это фундаментальное понятие немного в другом ракурсе, непривычном для обычного человека, в ракурсе, дополняющем стандартное евклидово понимание угла и все, что что с ним связано в обычной школьной математике, геометрии, тригонометрии, планиметрии. Тем более что до меня никто еще такого не делал, не рассматривал понятие угла в таком новом ракурсе, возможно, я первый, кто так подошел к этому вопросу (вернее, рассматривали, как выяснилось мной намного позже, но совершенно в другой области и в чисто прикладной задаче, и ни о какой строгой математической дисциплине отдельно и речи не шло, о чем я, конечно, ничего не знал, но это нисколько не умаляет моей теории дерадианных дробей и всего, что из нее проистекает в дальнейшем, так как я к ней пришел самостоятельно, из собственных размышлений), тем, я думаю, и интересней будет эта книга для неискушенного читателя. Это лишь мой способ решения задач по геометрии, тригонометрии, который я наработал еще будучи студентом и абитуриентом, учась в училище, и спустя столько лет наконец-то решился написать об этих моих наработках для других интересующихся математикой людей и тебя, мой дорогой читатель, и показать, что в мире математики еще столько есть не изученного до сих пор, хоть нам и кажется порой, что мы ушли в понимании ее очень далеко. Но стоит копнуть даже в самых истоках ее чуть поглубже, и на свет появляются новые теории, переворачивающие обычное представление об обычных вещах, которые так давно нам знакомы, со школьной скамьи, что казалось настолько незыблемым и фундаментальным, к чему уже никакие, казалось бы, знания уже не приложишь и не отнимешь, но если посмотреть на эти же вещи под другим углом, то сразу открываются нам новые свойства и аспекты бытия.

Что подвигло меня написать эту книгу? Во-первых, то, что я нигде никогда ничего подобного не слышал и не читал (оказывается, я случайно наткнулся и нашел аналог похожего понятия, но об этом позже), возможно, это и есть уже в науке, но мне не встречалось. Во-вторых, это то, что с раннего детства, занимаясь математикой, я всегда пытался понять и открыть что-то новое для себя, никогда не переставал поражаться и удивляться красоте и логичности математических законов и теорий, и в один прекрасный день, еще будучи молодым студентом училища, когда я изучал тригонометрию, я начал задумываться, почему тригонометрия на сегодняшний день такая незавершенная и «несовершенная». Да, в ней многое есть — теорема синусов, теорема косинусов, тригонометрические функции, — но все же чего-то мне все время не хватало. Я стал задаваться вопросами, почему на сегодняшний день мы так мало знаем типов углов, в основном 30°, 45°, 60°, 90°, а также другие, да и на практике в основном только их и применяем, но этого мало для расчетов. Или другие вопросы, почему,

например, Sin (π/6) =1/2 существует в наших школьных тригонометрических таблицах, а выражения для тангенса, равного, например, одной второй:

Tan (x) =1/2, x=?

нет, хотя, по идее, он также должен отображаться в таблицах? Или еще другие примеры, например:

Sin (π/4) = √2/2, Cos (π/4) = √2/2

Sin (π/3) = √3/2, Cos (π/6) = √3/2

Sin (π/2) =1, Cos (0) =1

А вот чему равны углы для соответствующих углов тангенсов, таблично никак не выражается, и это немного для меня всегда было странным, однако найти эти значения теперь не составляет особого труда в связи с появлением и наработками моей теории дерадианных дробей, теперь это сделать несложно, и эти углы будут равны:

Tan (x) =1/2, x ≡ (1 & 2)

Tan (x) = √2/2, x ≡ (2√2 & 2+ √6)

Tan (x) = √3/2, x ≡ (2√3 & 2+ √7)

Tan (x) = 1, x ≡ (2 & 1+ √2) и т. д.

Также меня волновали и другие вопросы, например, решая задачи тригонометрии, задачи на окружности и при вычислении обратных тригонометрических функций и многих других, я заметил, что выражения типа:

2Tan (α/2), 2Sin (α/2)

√ (4H2+A2), 2ArcTan (a/b),

Или вот еще мое интересное выражение:

ArcTan [1/2] = 2ArcTan [2 φ-1], φ-золотое сечение и т. д. очень часто встречается в этих задачах. Почему вся тригонометрия основана только на числе Пи, а не на каких-то иных константах? Их, наверное, должно быть на самом деле больше. А что если все это из-за единственности представления нами самого числа Пи? Просто, кроме него, ничего не предлагаем другого. А что, если вместо числа Пи ввести другие константы? Возможно, тригонометрий или «подтригонометрий» станет множество, для каждой универсальной константы будет своя тригонометрия. И я даже ввел одну такую константу и назвал ее γ-гамма. Выглядит она так:

γ = π/ (2ArcTan (1/2)) =3,3879…

А угол, соответствующий ей в градусах, назвал один дерадиан 1d: (1 & 1) ≡ 180°/ γ =53,1301…°=1d=1 дерадиан.

Собственно, от этой величины и началась когда-то моя новая теория. Хочу сказать, что для этой новой константы также существуют таблицы синусов, косинусов, тангенсов и т. д., все то же самое, что и для обычной универсальной константы числа Пи, разница лишь в том, какую константу мы берем за базис, все в этом мире относительно. Если бы мы, например, никогда не знали ничего о числе Пи, то мы могли бы точно так же находить длину окружности, площадь круга и т. д., но теперь только уже не через число Пи, а через новую универсальную постоянную — число Гамма, и только угловые меры бы уже выражались не радианами, как мы привыкли, а дерадианами. Также в этой новой тригонометрии сумма углов в треугольнике уже бы равнялась не числу Пи радиан, это точно пол-оборота на тригонометрической окружности, а числу Гамма, только уже дерадиан, так же равному половине оборота на тригонометрической окружности, и так же отношение длины дуги к диаметру было бы уже опять не число Пи, а число Гамма и т. д. В этой новой тригонометрии сохраняются все законы обычной классической тригонометрии, например:

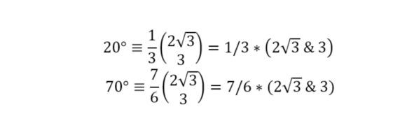
30°⁓ (π/6) r ⁓ (γ/6) d

45°⁓ (π/4) r ⁓ (γ/4) d

90°⁓ (π/2) r ⁓ (γ/2) d

r — в радианах, d — в дерадианах.

И таких констант можно ввести превеликое множество, по аналогии с константой Гамма. И, кто знает, возможно, этих новых констант конечное число, а не бесконечное, ну или по крайней мере счетное множество. Возможно, даже существует какая-то сводная таблица таких констант, мировой закон тригонометрических констант, ну или что-то в этом духе. Но это уже, как мне видится, немного из фантазии или, возможно, наука будущего. И вообще я долго колебался написать данную книгу, пока наконец-то не решился окончательно. Все думал, и казалось, что это все несерьезно для теории, кому это интересно, а вдруг не поймут, а вдруг засмеют, раскритикуют и т. д. Как хорошая идея — да, но как теория, думал, слишком несерьезна, но, несмотря на все свои колебания, вдруг все-таки решился написать сию книгу. Ладно, думаю, может, эта идея или теория и вправду кого-то заинтересует и подтолкнет к последующим шагам и великим открытиям, тогда для таких людей и стоит написать эту книгу. Также, учитывая все это и задавая себе эти и другие вопросы, я пришел к выводу, что нам просто не хватает понятной величины для выражения в удобном виде угла, чтобы с этой величиной удобно было работать и обозначать ее как-то стандартно и желательно в целых числах, и решил изобрести такое новое обозначение, и назвал это обозначение «дерадианная дробь». Для меня это новое понятие и в математике с конструкцией, с которой я еще никогда не сталкивался и нигде не встречал (оказывается, похожее понятие уже существует в дисциплине «инженерная графика», и это понятие «К-Конусность», о котором я узнал после написании уже 70% книги), и эта конструкция дерадианного угла частично сняла некоторые мои вопросы, но, как обычно бывает, добавила новых, еще более запутанных и непонятных. Например, все мы знаем тригонометрическую окружность с ее стандартным делением на части:

{0, 2π, π, π/2, π/3, π/4…} °

и т. д., и почему наша окружность непременно при решении задач должна делиться на такие части, умножая которые на какой-то n, n∈, обязательно получим полную окружность? Может, пора нашу окружность поделить на какие-то иные части, не столь пропорциональные полной окружности? В каждой конкретной задаче, возможно, нужна своя измерительная система угла Gn, не связанная с числом Пи, ведь числовая окружность (мое понятие — аналог понятия числовой прямой) на самом деле бесконечна и не ограничивается одной только угловой измерительной системой. Иначе мы всю геометрию должны замкнуть в парадигме числа Пи и при этом никак не развиваться дальше в изучении глубины и новых свойств пространства, а ведь на самом деле углы тоже имеют свою внутреннюю математическую природу и множественную структуру, например, прямой угол — 90° — это не то же самое, что угол 53,1301…°. Как станет ясно в дальнейшем из этой книги, оказывается, существуют углы разной природы. Как мы отличаем на числовой прямой множество всех целых чисел от множества рациональных и иррациональных точек, то же самое, как мне видится, существует и на числовой окружности. В основном об этом всем и пойдет речь в этой книге.

И казалось бы, зачем нам еще одна новая константа Гамма, которая к тому же еще и находится через число Пи? Зачем изобретать велосипед еще раз, когда его уже давно изобрели другие? А оказывается, что углы в тригонометрии этой константы мы можем записывать как целые или дробные значения, ну или как алгебраические, в то время как в тригонометрии постоянной числа Пи они трансцендентны и не очень понятные на письме величины, а это бывает не совсем удобно при письме и усложняет понимание при решении задач. Возможно, отсюда и родилась у меня такая странная мысль так странно назвать свою книгу — «Многообразие тригонометрии, или Теория дерадианных дробей», что значит много образов тригонометрий, построенных на записи дерадианных дробей и множества констант. Возможно, кого-то заинтересует это новшество и этот человек сможет развить, переработать, почерпнуть что-то для себя новое и понести дальше эту идею, тем более что, занимаясь этой теорией, я все больше и больше убеждаюсь, что нет, наверное, области в математике, которую бы эта теория не пронизывала и не затрагивала так или иначе, и во многих областях математики я вижу отражение или присутствие ее идей, пусть она и выглядит немного притянуто и наивно, но возможно, что-то в этом и окажется правдой в будущем.

Также вторая идея, которая меня осенила или озарила, — глядя на пирамиды Египта, я удивлялся все время, как, не зная синусов, косинусов и современной тригонометрии, древние египтяне построили такие стройные и большие сооружения с такой точностью. Значит, они обладали какой-то иной тригонометрией, которая позволяла им обходить вычисления тригонометрических функций, и, возможно, я нашел гипотетически, какой они могли пользоваться тригонометрией, а именно тригонометрией с использованием дерадианных дробей — это тригонометрия, которая все считает в целых числах и дробях и для которой тригонометрические функции — это лишь дроби, которые зависят только от апофемы и высоты угла, а также от гипотенузы. Вот поэтому в этой книге я и хочу познакомить читателя с этой новой, еще, видимо, никому не известной тригонометрической теорией, которую мне пришлось придумать самому от самого начала. А уже читатель будет сам решать, что здесь вымысел, а что правда.


Эта книга будет изложена простым математическим языком, известным еще со школьных лет, которому нас учили в школе, и знаний каких-то сложных абстракций не потребует. Конечно, эта моя теория не закончена, и ее еще можно развивать и углублять дальше и шире, и это может сделать любой желающий, и, возможно, ты тот человек, кто разовьет и понесет дальше эту идею для потомков и всего человечества. Я в этой книге хочу лишь заложить фундамент для нового осмысления старых истин, прошу не судить меня строго, если где-то что-то я изложу не совсем так, как требует этого фундаментальная наука (например, где-то совсем очевидные высказывания не стану строго доказывать или в терминах или обозначениях буду не совсем строг, но из контекста будет понятно, о чем идет речь). Также постараюсь не углубляться в дебри абстракций, и все, что будет написано в этой книге, по уровню понимания не будет превышать знаний 9—10 класса, но все же постараюсь соответствовать ей настолько, насколько хватит мне умения и знаний, ведь я не профессиональный математик, а всего лишь скромный любитель математики. Все доказательства буду стараться приводить чисто геометрически, избегая по возможности каких-то сложных строго аксиоматических подходов теории множеств, но иногда без этого просто будет не обойтись. Также, так как эта дисциплина нова в тригонометрии и в целом в математике, могу в чем-то и ошибаться, но время все расставит по своим местам: или откинет эти мои рассуждения, или они станут еще одним из разделов математики. Я, если честно, даже еще толком не знаю, к какому разделу или дисциплине математики отнести эту теорию, настолько уж она похожа и не похожа одновременно на некоторые другие разделы математики: у нее присутствуют признаки как геометрии, так и тригонометрии, и, возможно, что-то от планиметрии и от алгебры, и от теории множеств, и от линейной алгебры и т. д. Возможно, со временем она станет отдельным тригонометрическим классом знания. А пока для меня главное в этой книге — не писать все на заумном языке, а показать саму суть теории в общих чертах, заинтересовать читателя и показать, как эту теорию можно использовать на практике и применять в других научных дисциплинах. А строгость и научность оставим глубокоуважаемым нашим профессорам, они в этом больше понимают. Так как я не имею каких-то особых степеней и заслуг и также не обладаю особо большими знаниями в высшей математике — чуть выше среднего, буду все излагать с точки зрения, так сказать, математика-любителя, поэтому возможны какие-то огрехи, неточности в обозначениях и доказательствах, оговорки в терминах и т. д., но в общем это сути дела не меняет, главное — передать саму суть, мысль и соль идеи. Ну что, давайте тогда приступим! Удачи всем и терпения в понимании и в познании всего нового и забытого старого знания!

Хахалкин Ю. Н.

P. S. Все, что написано в этой книге, что касается дерадианной теории, ее идей и терминов, — сугубо моя личная разработка, опубликованная впервые. До меня никто ничего подобного не писал и не издавал. И сама элементарная теория дерадианных дробей — это моя сугубо личная теория, и всю ответственность за термины и идеи несу лично я. Прошу не судить меня строго и приношу свои извинения, если где-то что-то написано немного коряво, вычурно, нелепо и непонятно, а также, возможно, порой притянуто за уши и где-то даже наивно. Я думаю, в дальнейшем последующие математики этого поколения или следующего разберутся, принять или отвергнуть эту теорию, я лишь только выношу на ваш суд и рассмотрение свою идею в попытке внести новую и свежую струю мысли в современную тригонометрию.

P.P.S. Когда я написал уже более чем 70% книги и прошло два года после этого, я встретил наконец-то в «Википедии» статью под названием «Конусность», я был, конечно, очень удивлен такому простому и редкому понятию, так как ничего не знал об этом понятии, хоть и предполагал, что что-то похожее уже есть в жизни, пусть не прямо в самой математике, а в ее прямом приложении. Оказывается, похожее понятие уже было известно и до меня, о котором я, конечно же, ничего не знал, и, оказывается, это понятие в виде дроби применяют для измерения конусности деталей на чертежах, поэтому я всегда и говорю, что все новое — забытое старое. По сути, понятие «конусность» — это и есть тангенциальная дробь первого типа в моей теории, только применяется к трехмерной фигуре под названием «конус» или «усеченный конус», в отличие от меня, где я применяю похожее понятие «дерадианная дробь» к плоскому углу и даже ввожу новые понятия — «дерадианный угол» и «дерадианный треугольник» (двух других понятий — это второго типа (синусоидального) и третьего типа (косинусоидального) типа дерадианных дробей — я пока в аналогах технических понятий не встретил). Единственное, в этом понятии «конусность» дается две, возможно, три формулы максимум и таблицы дробей стандартов утвержденных конусов (можно ли назвать это теорией, не знаю), и на этом все, вся теория конусности заканчивается, возможно, кто-то где-то и считает эти дроби по какой-то теории, но ни о какой математической общей концепции или общедоступной теории я нигде и никогда не слышал, поэтому я это понятие «конусность» буду считать хорошим применением, приложением в качестве хорошего примера на практике чисто математической теории дерадианных дробей, которая совсем о другом — эта теория о чистой математике как она есть, например, так же как мы для операции дифференцирования находим отражение во многих прикладных задачах физики, таких как скорость, перемещение, ускорение в механике, астрономии и так далее, но это не отменяет того факта, что существует чисто математическая теория «Дифференциальное исчисление», и в этом случае я буду считать точно так же: есть прикладные понятия, а есть чисто абстрактные математические, без привязки к каким бы то ни было материальным предметам: втулка, подшипник, дом, скамейка, ракета и так далее. Так как я к этой теории пришел совершенно самостоятельно, еще будучи студентом, и руководствовался совершенно другими идеями, задачами и принципами чистой математики и геометрии, и ставил изначально другие задачи и вопросы для нее, и в целом такого понятия, как «конусность», мы в геометрии в школе не изучали и до сих пор никто не изучает, и это странно, потому что это, по сути, чисто математическое и геометрическое понятие, например, есть понятие, родственное понятию «конусность», — это понятие «уклон» — чисто техническое понятие, уклон трубы, уклон дорожного полотна, уклон пандуса и так далее, в математике этому понятию соответствует свое чисто математическое понятие «коэффициент угла наклона» или «тангенс угла наклона», но вот о понятие «конусность» впервые и случайно прочитал на «Википедии», и такое бывает в жизни. Поэтому прошу и с этой стороны не судить меня строго, возможно, в будущем еще откроется что-то такое, о чем я и близко понятия не имел, но оно до меня существовало, но в другом виде! Это проблема всех ученых и исследователей — а вдруг то, что ты исследуешь, уже известно, а ты просто об этом не знаешь, и это сильно подкашивает что-то исследовать! Меня, конечно, это не остановит от дальнейшего написания книги, и даже не столь важно, что уже что то было до меня открыто кем-то, а главное, что это мои мысли, придуманные мной от начала и до конца, и моя личная идея, которой я и хочу поделиться со всеми вами, по крайней мере, я в этой книге и последующей выражу все, что я хочу выразить, и донести все, что хочу донести до читателя, а вы уже, мой дорогой читатель, сами решите, что вам будет полезно, а что нет, что может пригодиться, а что нет, и что было до меня, а что останется после этой книги.

ВВЕДЕНИЕ

С давних времен человечеству было известно понятие угла, это произошло еще во времена Пифагора и Евклида, а возможно и раньше их, где-то витало в воздухе общее понимание, что такое абстрактное понятие «угол». По сути, вся современная математика и началась с геометрии. Во времена, когда геометрия заменяла алгебру, и с тех пор вот уже тысячелетия ничего нового не происходило с этим фундаментальным понятием «угол», разве только увеличивалась размерность в пространстве: плоский угол, двух- или трехмерный угол и далее, более многомерный, и, соответственно, все измерения, которые с ним проводились по одним и тем же неизменным правилам тригонометрии и геометрии посредством таких формул, как теорема синусов, теорема косинусов, основное тождество тригонометрии, и основных отношений в треугольнике противолежащих и прилежащих сторон, где главным объектом всегда выступал прямоугольный треугольник, через который производились все вычисления, и связанной с ним крепко теоремой Пифагора, но, возможно, настала пора что-то поменять в обычном ходе вычислений и выбрать иной базис измерений, а именно: заменить базис «прямоугольный треугольник» на базис «равнобедренный треугольник» как бы взять калибр побольше, который, так или иначе, все равно в конечном счете основан на прямоугольном треугольнике, но, возможно, такой новый подход откроет какие-то новые грани в процессе вычислений и высветит новые аспекты пространственной природы. Что я и попытался сделать в данной книге. Данный подход не умаляет и не отбрасывает методы «обычной» тригонометрии, а берет на вооружение все, что в ней есть лучшее, и применяет в своих сугубо внутренних целях для нахождения тех или иных аспектов величин, таких как апофема, высота, гипотенуза, и лишь касающихся только самой теории дерадианных дробей, или «дерадианной тригонометрии», можно ли назвать новый подход самостоятельной тригонометрией или нет, в этой книге мы попробуем понять и выяснить вместе с читателем. Также я думаю, что в геометрии давно произошла революция и переосмысление самого понятия «геометрия», что само понятие имеет не только одномерное понимание как Евклидова геометрия, но и существуют наряду с первой и геометрия Лобачевского, геометрия Римана, топология и другие, поэтому, возможно, настало или назрело время совершать революцию и в таком фундаментальном понятии, как «тригонометрия», расширив его до понятия «дерадианная тригонометрия». С расширением понятия «геометрия» произошла параллельно революция в физике, астрономии и других разделах естествознания, в которых появились в первую очередь такие теории, как квантовая физика, термодинамика, теория относительности и так далее, без которых современная наука просто немыслима и в которых «новые геометрии» играют основополагающую роль, поэтому еще неизвестно, к каким новым открытиям и свершениям может привести расширение понятия «тригонометрия», или, возможно, это лишь мои только желания, ничем не подкрепленные, но, как бы то ни было, этим все равно надо заниматься, и на то и существуют математики, в том числе и математики-любители, которые как первопроходцы и энтузиасты идут впереди, освещая и размечая путь, по которому уже могут пройти и проложить основательные рельсы настоящие профессионалы своего дела — ученые разных областей знания.

Хахалкин Ю. Н

03.02.2025

Глава 1. ОСНОВНЫЕ ПОНЯТИЯ ТЕОРИИ ДЕРАДИАННЫХ ДРОБЕЙ

Дерадианный треугольник. Дерадианный угол. Дерадианная дробь

В геометрии Евклида есть базовое и фундаментальное понятие угла, и оно звучит так:

угол — это геометрическая фигура, образованная двумя лучами, выходящими из одной точки (которая называется вершиной угла).

Это понятие угла нам интуитивно понятно, и мы уже давно привыкли к нему, с самого раннего детства, но я бы хотел дать немного другое определение, которое рассматривает угол немного с иного ракурса, чем наше обычное представление этого замечательного понятия, это новое определение и понимание угла дало бы нам более полное раскрытие и дополнение к уже существующему общепризнанному знанию. А также ввести еще два важных понятия: дерадианный треугольник и дерадианная дробь.

Определение 1

Дерадианный треугольник — это равнобедренный треугольник с углом альфа при вершине, в котором угол задается какой-либо парой чисел:

{M, N}, где A — это длина основания (называемая апофемой угла) этого равнобедренного треугольника, H — высота угла этого равнобедренного треугольника, а R — гипотенуза угла этого равнобедренного треугольника, и такой треугольник всегда будем называть дерадианным треугольником ABC и обозначаться на письме d (ABC).

См. рис. 1.1.1.

Рис. 1.1.1

Определение 2

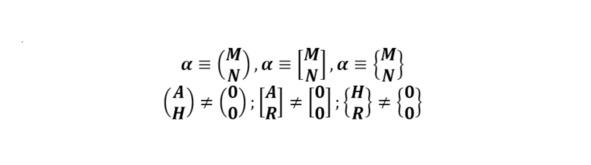
Дерадианный угол — это, угол который задается какой-либо парой значений {M, N}, где пара чисел — это всегда какие-то два элемента из множества {A, H, R}, которые принадлежат дерадианному треугольнику d (ABC), и такой угол обозначается:

…… … … … … … (A & H) = [A & R] = {H & R}

Есть еще обратные, называемые мной транспонированные дерадианные углы (или дроби) — это обычная дробь, только перевернутая, тот аргумент, который был в числителе, становится в знаменатель, и наоборот, тот аргумент, который был в знаменателе, становится в числитель, и обозначаю:

…… … … … … ((A & H)), [[A & R]], {{H & R}}

Но пока мы такие дерадианные дроби рассматривать не будем.

Определение 3:

Дерадианная дробь — это запись-обозначение дерадианного угла дробью вида:

…… … … … α ≡ (A & H) = [A & R] = {H & R}

…… … … … (A & H) ≠ (0 & 0), [A & R] ≠ [0 & 0]

…… … … … … … … … … … …. {H & R} ≠ {0 & 0}

И записывается в квадратных, круглых или иных скобках, а также где M — это числитель дерадианной дроби, а N — знаменатель дерадианной дроби.

В настоящей записи дерадианные дроби записываются так: см рис.1.1.2.

Рис.1.1.2

Но, так как я не могу их так изображать, мой редактор книги этого не позволяет делать, то я буду писать в строчку, но надо всегда помнить, что чисто математическое, алгебраическая их запись — это запись в столбец.

Определение 4

Дерадианная дробь первого типа (или тангенциальная де-дробь) для угла при вершине альфа в дерадианном треугольнике — это (всегда выражение, записываемое в круглых скобочках) соответствие апофемы к высоте:

…… … … … … α ≡ (A & H), -2R≤A≤2R

…… … … … … … … …..A∈ℝ, H∈ℝ, R∈ℝ

И читается: угол альфа соответствует дерадианной дроби первого типа — апофема А к высоте Н, или сокращенно — А к Н.


Определение 5

Дерадианная дробь второго типа (или синусоидальная де-дробь) для угла при вершине альфа в дерадианном треугольнике — это (всегда выражение, записываемое в квадратных скобочках)

соответствие апофемы к биссектрисе:

…… … … … … α ≡ [A & H], -2R≤A≤2R

…… … … … … … … ….. A∈ℝ, H∈ℝ, R∈ℝ

И читается: угол альфа соответствует дерадианной дроби второго типа: апофема А к гипотенузе R, или сокращенно — А к R.


Определение 6

Дерадианная дробь третьего типа (или косинусоидальная де-дробь) для угла при вершине альфа в дерадианном треугольнике — это (всегда в фигурных скобочках) соответствие высоты к биссектрисе:

…… … … … … α ≡ {H & R}, -R≤H≤R

…… … … … … … … ….. A∈ℝ, H∈ℝ, R∈ℝ

И читается как: угол альфа соответствует дерадианной дроби третьего типа высоты Н к гипотенузе R, или сокращенно — H к R.


Напоминание 1

В числителе дерадианной дроби n-го типа всегда стоит какой-то из катетов половинного дерадианного треугольника: или A, или H.


Напоминание 2

Параметры дерадианного треугольника для лучшего запоминания лучше в уме упорядочить по старшинству:

{A, H, R}, сначала идут катеты, потом гипотенуза для прямоугольника половинного угла.

Дроби типа (0 & 0), [0 & 0], {0 & 0} считаются неопределенными (но не невозможными) или определены только как дроби центра окружности, обладают таким свойством: что с ними ни делай, как ни преобразуй, они всегда будут равны сами себе, — это главное свойство этих дробей, я их называю «неизменяемые дроби», или «дроби точки отсчета».

Дерадианные дроби — это аналоги своего рода функций Tan (x), Sin (x), Cos (x), только уже не для прямоугольного треугольника, а для равнобедренного, или, еще можно иначе сказать, дерадианного треугольника, и не деление катета на гипотенузу, а их приведение или их бинарный набор. Также в обычной тригонометрии, я бы назвал ее тригонометрией прямоугольного треугольника, для нахождения параметров треугольника и углов существуют основные понятия синуса, косинуса, тангенса и других тригонометрических функций, а в тригонометрии же дерадианного треугольника, если мы знаем дерадианные дроби углов, эти функции решаются намного проще, все углы можно находить без каких-либо сложных вычислений, поэтому в нашем случае теорию дерадианных дробей можно смело назвать тригонометрией равнобедренного треугольника, поэтому я и дал такому равнобедренному треугольнику особое название — дерадианный треугольник, дабы отделить его от всех прочих треугольников.

Дерадианную дробь первого типа я не зря поставил первой, она сходственна тангенсу прямоугольного треугольника, но для меня она дороже всех других типов дробей, с нее все и началось, благодаря ей я увидел и осознал всю красоту и силу данной теории, благодаря ей я понял, что это не просто наборы каких-то значений, а новая дисциплина в математике и, в частности, в тригонометрии, и мне с ней проще всего работать: у нее самые короткие, простые и понятные решения в задачах, также дерадианные дроби других типов проще всего решать и выражать через дерадианную дробь первого типа, поэтому и поставил ее на первое место, а не на третье, как это делается в тригонометрии для функции тангенса, возможно, в последующем все изменится и обозначаться и называться все это будет по-другому, я не против и буду только рад. Для меня главное сейчас — это обозначить суть явления и поставить круг задач для этой новой теории, теории дерадианных дробей, а остальное со временем благодаря уже тому, кто будет продолжать и систематизировать эту дисциплину, встанет на круги своя, и тогда уже эта дисциплина будет или, возможно, новым разделом тригонометрии и станет таким же привычным, как другие разделы математики, вырастет в настоящее полноценное математическое знание, или откинется как не имеющая особого смысла, а пока пусть будет как-то так.

Хорошо, давайте подытожим: дерадианный угол, дерадианный треугольник, а также дерадианная дробь — это три центральных понятия теории дерадианных дробей. Вокруг них в основном и происходят все основные действия.


Далее условимся всегда понимать и обозначать:

а) на чертеже дерадианный треугольник d (ABC) чертить вершиной вниз, а основанием или апофемой — вверх, как на рисунке 1.1.1;

б) угол при вершине на рисунке по умолчанию, если другое не оговорено, всегда будет (1& 1), т.е. (A =1, H=1). Так будет удобно в дальнейшем понимать, что перед нами конкретно дерадианный треугольник, а не какой-то другой, также это будет удобно в дальнейшем при изучении свойств, рассмотрении чертежа при доказательстве теорем и т. д.;

в) обозначение (M& N) (в круглых или других скобках) будем называть дерадианной дробью n-го типа, дерадианный угол и дерадианная дробь — это синонимы. Обозначают один и тот же геометрический объект или геометрическую фигуру, а именно: угол, который находится при вершине дерадианного треугольника.

Дерадианный угол — это геометрический объект, а дерадианная дробь — алгебраический. Одно понятие сугубо геометрическое, другое алгебраическое;

г) пару M и N, апофему и высоту или иные парные параметры дерадианного треугольника обозначать на письме как:

…… … … … … … … … …. …. α ≡ (M& N)

и читать как «угол альфа соответствует дерадианной дроби n-го типа M к N».

Наименования числителя и знаменателя менять местами нельзя!!!

…… … (M & N) ≠ (N & M), [M & N] ≠ [N & M],

…… … {M & N} ≠ {N & M}

Так как это сродни и аналогично делению в тригонометрии прямоугольного треугольника противолежащего катета (или прилежащего) на гипотенузу, но не наоборот.

Апофема никогда не бывает в знаменателе, так же как гипотенуза никогда не бывает в числителе дробей (кроме транспонированных де-дробей). Сами, конечно, М и N можно численно менять местами, эту операцию назовем реверсированием дерадианной дроби, а вот уже сами названия и наименования менять местами нельзя, иначе это уже будет иной тип дроби, а не исходный;

д1) Существует два типа записи дерадианных дробей: в столбик и в строчку, — в этой книге мы в основном пишем все де-дроби в строчку, но вообще намного нагляднее писать в столбик (см. рис. 1.1.3).

Рис 1.1.3

Рис 1.1.3. Пример записи одного и того же выражения двумя способами. Другие дроби других типов так же можно записать, но только в квадратных или фигурных скобках.

д2) числитель M дерадианной дроби писать всегда сверху (в начале пр

...