Все науки. №6, 2024. Международный научный журнал
Қосымшада ыңғайлырақҚосымшаны жүктеуге арналған QRRuStore · Samsung Galaxy Store
Huawei AppGallery · Xiaomi GetApps

автордың кітабын онлайн тегін оқу  Все науки. №6, 2024. Международный научный журнал

Все науки. №6, 2024

Международный научный журнал

Шрифты предоставлены компанией «ПараТайп»


Авторы: Алиев Ибратжон Хатамович, Юлдашалиев Дилшод Қулдашалиевич, Усмонов Якуб Усмонович, Ахмедов Турсун Ахмедович, Каримов Боходир Хошимович, Жалолов Ботирали Рустамович, Каримов Шерзод Боходирович, Саломов Уктам Рахимович, Эргашев Сирожиддин Фаязович, Юсупов Сардорбек Маъруфович, Ременной Владимир, Абдурахмонов Султонали Мукарамович, Усмонов Шукурулло Юлбарсович, Султонов Рўзиматжон Анваржон ўғли, Кучкарова Дилноза Топтиевна, Шарофутдинов Фаррух Муроджонович, Обидов Фозилжон Орипович, Каримова Дилором Шавкатовна, Додобаев Юсубжон Таджибаевич, Юлдашев Муминжон Шакирджонович, Абдурахманов Фархад Мамирович, Вавилова Екатерина, Xatamova Zumradxon, Quchkarova Gulnora, Xolmatov Shahobiddin, Teshaboyev Muhiddin


Главный редактор Ибратжон Хатамович Алиев

Редактор Миродилжон Хомуджонович Баратов

Иллюстратор Султонали Мукарамович Абдурахмонов

Иллюстратор Фарходжон Анваржонович Иброхимов

Иллюстратор Оббозжон Хокимович Кулдошев

Дизайнер обложки Раънохон Мукарамовна Алиева

И.О.научного руководителя Султонали Мукарамович Абдурахмонов

Экономический руководитель Ботирали Рустамович Жалолов

Корректор Гулноза Мухтаровна Собирова

Корректор Дилноза Орзикуловна Норбоева





12+

Оглавление

ФИЗИКО-МАТЕМАТИЧЕСКИЕ НАУКИ

ИССЛЕДОВАНИЕ ДАВЛЕНИЯ НАСЫЩЕННОГО ПАРА ТВЕРДОГО РАСТВОРА BI2TE3-BI2SEИ ТВЕРДОГО РАСТВОРА С ЛЕГИРУЮЩЕЙ ДОБАВКОЙ

УДК: 531.1

Юлдашалиев Дилшод Қулдашалиевич

Преподаватель физико-технического факультета Ферганского государственного университета
Усмонов Якуб Усмонович
Кандидат технических наук, доцент физико-технического факультета Ферганского государственного университета
Ахмедов Турсун Ахмедович
Кандидат физико-математических наук, доцент физико-технического факультета Ферганского государственного университета
Каримов Боходир Хошимович
Кандидат физико-математических наук, доцент физико-технического факультета Ферганского государственного университета

Ферганский государственный университет, Фергана, Узбекистан

Аннотация. В работе показаны результаты исследований и разработок по получению легированного материала Bi2Te3-Bi2Seс новой легирующей добавкой. Для того, чтобы определить, как повлияла эта добавка на изменение упругости пара Bi2Te3-Bi2Se3 были проведены измерения упругости пара легированного материала.

Ключевые слова: термоэлемент, рабочая температура, легирующая добавка, давление насыщенного пара, Bi2Te3- Bi2Se3.

Abstract. In this work, show results about science works and technologies for getting ligate material Bi2Te3-Bi2Se3with new pluses. For descriptive, how did in this situation this pluses and for control pliability of the Bi2Te3-Bi2Se3was new works for control this pliability in other materials this it.

Keywords: term element, work temperature, ligatespluses, saturated steam pressure, Bi2Te3- Bi2Se3.

Верхний передел рабочей температуры термоэлемента определяется упругостью паров термоэлектрического материала. В настоящем исследований был разработан материал Bi2Te3-Bi2Se3, легированный новой соединяемой с ним добавкой.

Исследование проводились эффузионным методом Кнудсона [1,4] по потери веса камеры с веществом.

1. Твердый раствор Bi2Te3- Bi2Se3 с новой легирующей добавкой

Давление пара Bi2Te3-Bi2Se3с легирующей добавкой измерено в интервале 703—8230К. Испаряемый материал содержал 80% моли Bi2Te3 и 20% моли Bi2Se3,и 0,04% весовой легирующей добавка аммоний йодистый. Испарение материала осуществлялось в кварцевой эффузионной камере, калиброванной по хлористому калию.

Изменение состава сплавов во время опыта не учитывалась, так как полная потеря вещества после завершения всей серии измерений с одним составом не превышала 0,5% веса. Для каждого опыта по потере веса в эффузионной камере рассчитывалось количество испарившегося теллурида висмута и селенида висмута. Результаты исследования представлены в ниже приведённой таблице 1.

Таблица 1 Результаты измерения порционального давления пара теллурида висмута и селенида висмута над сплавом 80% моли Bi 2Te 3—20% моли Bi 2Se 3
Таблица 1
Результаты измерения порционального давления пара теллурида висмута и селенида висмута над сплавом 80% моли Bi 2Te 3—20% моли Bi 2Se 3

По результатам измерений рассчитано парциальное давление паров и получены следующие уравнения:

Графический зависимость lgP=f (1/T) для парциальных давлений теллурида висмута и селенида висмута с легирующей добавкой представлена на рис.1.

Рис. 1. Давление насыщенного пара Bi 2Te 3- Bi 2Se 3, NH 4J в интервале температур 703—823 0С.1-для чистого Bi 2Te 3- Bi 2Se [2].2-по нашим данным.

2. Твердый раствор с легирующей добавкой

Одним из способов легирования тройного сплава является предварительное изготовление лигатуры путем сплавления теллура с легирующей добавкой. Легированной теллур использовался в дальнейшем для приготовления шихты тройного сплава. Для оценки испарения такого теллура в процессе сплавления шихты необходимо знать давления его насыщенного пара.

Для определения давления насыщенного пара теллура, легированного с новой легирующей добавкой, был сплавлён теллур с легирующей добавкой в количестве 0,01% веса. Измерение проводились в интервале температур 593—683К [3].Результаты исследований приводится в таблице 2.

Таблица 2
Таблица 2

По результатам измерений рассчитано парциальное давление паров и получено уравнение:

Графическая зависимость lgP=f (1/T) для парциальных давлений теллура с легирующей добавкой представлена на рис.2.

Обсуждение результатов

Из полученных результатов следует, что графическая зависимость для парциальных давлений висмута и селенида висмута с добавкой (рис.1) хорошо согласуется, он также был получен в работе [3] для чистого теллурида висмута и селенида висмута. Согласно кривым, представленным на рис.1 можно сделать вывод, что сплавления малых количеств легирующих добавок с шихтой тройного сплава приводит к незначительному изменению давления насыщенного пара твёрдых растворов. Исследование давления, насыщенного пара теллурида с добавкой к чистому теллуру не сказывает заметного изменения давления насыщенного пара теллура.

Рис.2. Давление насыщенного пара твёрдого теллура с легирующей добавкой в интервале температур 593 0—683 0К.1- для чистого материала [2]. 2- по нашим данным.

Проведённые исследования показали, что испарение твёрдых растворов Bi2Te3­­-Bi2Seс легирующей добавкой, при рабочей температуре термоэлемента, незначительно, и оно не может препятствовать использованию их в качестве рабочих тел термоэлектрогенератора. Использование лигатуры теллурида возможно при получения легированных сплавов Bi2Te3-Bi2Se3, т.к. упругость пара лигатуры практически не отличается от упругости парачистого теллура.

Литература

1. Knudsen. M. J.Ann.Phys, 1969,28, C.75.

2. Горбов. М.И., Крестовников А. Н.-Изв. АН Россия. Серия неоргонические материалы,1966, 2, №9, С.1702.

3. Устюгов Г. П., Вигдорович Е. Н.- Изв. АН Россия. Серия неорганические материалы,1969, 5, №1, С.166.

4. Горлек С. С., Лашевский М. Я., Материаловедение полупроводников и диэлектриков: Учебник для вузов.-М.:МИСиС, 2003.

РОЛЬ РЕЗОНАНСНЫХ ЯДЕРНЫХ РЕАКЦИЙ В СОВРЕМЕННОЙ ЭНЕРГЕТИКЕ. THE ROLE OF RESONANT NUCLEAR REACTIONS IN MODERN ENERGY

УДК: 537.5

Жалолов Ботирали Рустамович

Генеральный директор «Clipper Energy» LLC и «Clipper Associates» Corp
«Clipper Energy» LLC, «Clipper Associates» Corp., Malaysia
Каримов Боходир Хошимович
Кандидат физико-математических наук, доцент физико-технического факультета Ферганского государственного университета
Алиев Ибратжон Хатамович
Студент 2-курса факультета математики-информатики Ферганского государственного университета
Ферганский государственный университет, Фергана, Республика Узбекистан
Zhalolov Botirali Rustamovich
General Director of «Clipper Energy» LLC and «Clipper Associates» Corp
«Clipper Energy» LLC, «Clipper Associates» Corp., Malaysia
Karimov Bahodir Khoshimov
Candidate of Physical and Mathematical Sciences, Associate Professor of the Faculty of Physics and Technology of Fergana State University
Aliev Ibratjon Khatamovich
2nd year student of the Faculty of Mathematics and Computer Science of Fergana State University

Ferghana State University, Ferghana, Republic of Uzbekistan

Аннотация. Современную энергетику просто невозможно представить без составляющей в лице атомных электростанций, в основе которых лежат явления распада урана-238 и урана-235, в том числе с использованием саморазмножающихся методов деления. Но как известно источники не вечны, по этой причине важно нахождение нового способа по выделению максимально большого количества электрической энергии и, если верить результатам современных исследований, явным кандидатом на подобный титул могут стать резонансные ядерные реакции, которые изучаются на основе совершенно новой науки — физики резонансных ядерных реакций (ФРЯР).

Ключевые слова: физика резонансных ядерных реакций, энергетическая составляющая, кулоновский барьер, ядерные реакций, физика атомного ядра и элементарных частиц, ядерное эффективное сечение, длина волны.

Annotation. It is simply impossible to imagine modern energy without a component in the face of nuclear power plants, which are based on the decay phenomena of uranium-238 and uranium-235, including using self-multiplying fission methods. But as you know, the sources are not eternal, for this reason it is important to find a new way to release as much electrical energy as possible and, if you believe the results of modern research, resonant nuclear reactions, which are studied on the basis of a completely new science — physics of resonant nuclear reactions (PRNR), can become a clear candidate for such a title.

Keywords: physics of resonant nuclear reactions, energy component, Coulomb barrier, nuclear reactions, physics of atomic nucleus and elementary particles, nuclear effective cross section, wavelength.

А. Русская версия

1. Общие понятия ядерных реакций

Сама по себе ядерная реакция, это процесс взаимодействия атомного ядра с другим ядром или элементарной частицей, которая может сопровождаться изменением структуры, строения, состава ядра, образованием новых ядер или элементарных частиц и введением дальнейших изменений. Также последствием ядерной реакции может стать его деление, спускание как элементарных частиц, так и безмассовых протонов. Вместе с этим, из-за действия несколько иных законов, при которых масса активно может превращаться в энергию и обратно, кинетическая энергия результирующих частиц вполне, может быть, не равна сумме изначальных.

Подобные ядерные реакции являются экзо-энергетическими или выделяющими энергию. Первая ядерная реакция была проведена Эрнестом Резерфордом в 1917 году, при бомбардировке альфа-частицами ядра атомов азота. Она была полностью зафиксирована благодаря появлению вторичных ионизирующих частиц, пробег коих в газе был больший чем пробег альфа-частиц, после чего и были идентифицированы как протоны. Процесс же позже был сфотографирован.

К слову, об этом, важно сказать, что для фотографирования ядерных реакций используется камера Вильсона. Говоря же о механизмах взаимодействия, то можно выделить два вида такого взаимодействия, а именно:

1. Реакция с образованием составного ядра, этот процесс состоит из двух стадий, при этом налетающая частица соединяется с самим бомбардируемым ядром, составляя общее ядро, которое позже распадается. Такая ядерная реакция протекает на небольших энергиях, до 10 МэВ;

2. Прямые ядерные реакции, проходящие уже сразу, за ядерное время, которое составляет мельчайшие доли секунды и рассчитываются исходя из иных факторов, одним из которых является время пересечения ядра частицей. Главным образом такой вид реакции выражается лишь на очень больших энергиях бомбардирующих частиц.

В случае сохранения первоначальных ядер после самой ядерной реакции, также не рождаются новые частицы, то реакция считается упругим рассеянием в поле ядерных сил, без какого-либо внутреннего взаимодействия. Такая реакция сопровождается лишь передачей кинетической энергии и импульса одной налетающей частицы ядру-мишени, называясь потенциальным рассеянием и полноценно подчиняясь законам сохранения импульса в этом случае.

Ранее были упомянуты механизмы реакции, но стоит несколько подробнее на них остановиться. Первая реакция, а именно механизм составного ядра был впервые разработан и предложен Нильсом Бором в 1936 году совместно с знаменитой теорией капельной модели. Данная теория даже сегодня лежит в основе больших представлений о всех ядерных реакциях.

Если следовать данной теории, то как и было описано, ядерная реакция следует в два этапа, при этом весь процесс от столкновения, образования составного ядра и его распада занимает в рамках 10-23-10-21 с. И важно отметить, что какое бы не было составное ядро, оно всегда является возбуждённым из-за избыточной энергии, которая вносится частицей в лице энергии связи нуклонов в составном ядре и части кинетической энергии составного ядра, которая равна сумме кинетической энергии ядра-мишени с определённым большим массовым числом и налетающей частицы в системе так называемого центра инерции.

Здесь важно определить такое понятие как энергия возбуждения составного ядра, которое образовалось при поглощении свободного нуклона. Она составляет сумме энергии связи нуклонов ядра-мишени и части его кинетической энергии (1).

Часть кинетической энергии из-за большой разницы в массах ядра и нуклона в таких случаях становится равной кинетической энергии бомбардирующего нуклона. В среднем же энергия связи равна 8 МэВ и может изменяться только при отличительных особенностях образуемого в этом процессе составного ядра, но для точно указанного ядра-мишени и нуклона, это значение — константа. Кинетическая же энергия частицы может быть какой угодно, к примеру, в ядерных реакциях, где налетает нейтрон, за счёт того, что отсутствует отталкивающая сила ядра — кулоновский барьер, их энергия может быть крайне близка к нулю.

Таким образом, кинетическая энергия является минимальной энергией возбуждения составного ядра.

И именно из утверждения наличия составного ядра и существованию каналов распада ядер, можно сделать вывод о существовании каналов реакций. Сами по себе каналы реакции — это способы перехода из возбуждённого в невозбуждённое состояние. Типа и квантовое состояние налетающих частиц и ядер до начала реакции определяют входной канал ядерной реакции, после завершения же реакции совокупность образовавшихся частиц, то есть продуктов реакции и их квантовое состояние определяется результирующий выходной канал реакции. Полная характеристика ядерной реакции осуществляется входными и выходными каналами.

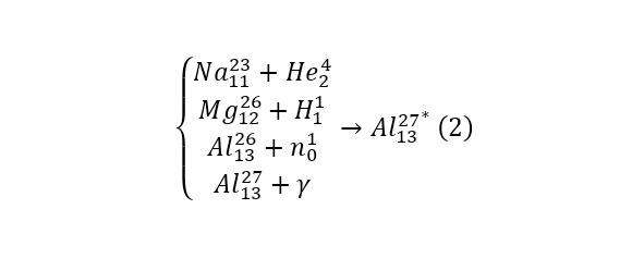
Составное ядро само по себе живёт довольно долгое время, благодаря чему сам выбор канала реакции вовсе не зависит от способа образования составного ядра, благодаря чему оно «забывает», как было образовано. Это становится причиной для утверждения независимости процессов организации составного ядра и его распада. Ярким примером может быть ситуация образования возбуждённого ядра алюминия-27 следующими способами (2).

Но распадается это яро одинаково во всех случаях, при условии одинаковой энергии возбуждения. Но при этом имеется и возможно распада обратным любой из этих реакций, с определённой вероятностью, не зависящей от истории возникновения самого возбуждённого ядра. Если же говорить о вероятности таких событий, то зависимость становится между сортом ядра-мишени и энергий.

Как и было ранее указано, ядерные реакции могут также протекать и по прямому каналу взаимодействия при больших энергиях, поскольку нуклоны ядра можно рассматривать как свободные. Отличие от предыдущей модели составного ядра от модели прямых реакции состоит изначально в распределении векторов импульсов частиц-продуктов ядерной реакции, относительно импульса бомбардирующих частиц. Если же в составной модели действует сферическая симметрия, то в данном случае геометрия более проста и преимущество в выборе направлений результирующими частицами состоит в направлении входящих частиц.

Ранее упоминалось понятие вероятности ядерной реакции, которая представляется величиной, которая называется эффективным сечением ядерной реакции. В лабораторной системе отчёта принимается ситуация покоя ядра-мишени, вероятность взаимодействия определяется произведением сечения на поток падающих частиц, при этом сечение выражается в единицах площади, а поток в количестве частиц, пересекающих единицу площади в единицу времени. Само сечение ядерной реакции исчисляется в крайне малых единицах площади — барнах, равных 10—24 см2.

Отношение случаев реакции, отнесённое к числу бомбардировавших мишень частиц, называется выходом ядерной реакции. Эта величина определяется экспериментально при количественных измерений, что связано с сечением реакций, а измерение этого выхода в самой сути — измерения сечения реакции.

Законы физики, в том числе и законы сохранения конечно же действуют и в ядерных реакциях. Эти законы накладывают определённых ограничения на возможность самого осуществления ядерной реакции. Также существуют и некоторые более специфичные законы сохранения, свойственные для микромира, примером таких могут стать закон сохранения барионного или лептонного числа. Они выполняются на всех известных реакциях, но некоторые другие законы сохранения чётности, изоспина, странности, лишь действуют в фундаментальных взаимодействиях. Следствие из них — это правила отбора, определяющие настоящие и невозможные ядерные реакции, которые можно осуществить.

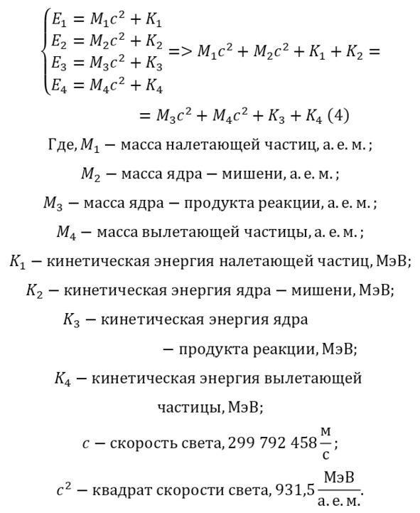
Закон сохранения энергии в ядерных реакциях действуют предсказуемо, но очень специфически для представителей макромира. При этом выполняется равенство сумм полных энергий (3).

Если же расписать (3), то можно получить (4), из которого следует энергия реакции (5), которая удовлетворяет (6).

...