автордың кітабын онлайн тегін оқу Развитие компетентностного подхода при обучении магистров по направлению подготовки «Биология». Монография
М. И. Гордеев, А. В. Москаев
Развитие компетентностного подхода при обучении магистров по направлению подготовки «Биология»
Монография
Информация о книге
УДК 378.147:57
ББК 74.58:28.0
Г68
Авторы:
Гордеев М. И., доктор биологических наук, профессор, заведующий кафедрой общей биологии и биоэкологии биолого-химического факультета Московского государственного областного университета;
Москаев А. В., кандидат биологических наук, доцент кафедры общей биологии и биоэкологии биолого-химического факультета Московского государственного областного университета, заместитель декана по научной работе.
Рецензенты:
Николаев В. И., доктор биологических наук, ведущий научный сотрудник национального парка «Валдайский»;
Андрианов Б. В., доктор биологических наук, ведущий научный сотрудник ФГБУН «Институт общей генетики имени Н. И. Вавилова РАН»;
Горячева И. И., доктор биологических наук, заведующая лабораторией генетики насекомых ФГБУН «Институт общей генетики имени Н. И. Вавилова РАН».
В монографии рассматриваются принципы применения компетентностного подхода при обучении магистров-биологов, анализируются формы, методы и этапы формирования компетенций обучающихся. Особое внимание уделено разработке и формированию профессиональных компетенций. Впервые рассмотрены базовые понятия и знания, необходимые для развития профессиональных компетенций, для подготовки магистерских диссертаций по направлению «Биология». В работе представлены результаты собственных исследований авторов, имеющие самостоятельное научное значение.
Содержание книги носит практический характер и адресовано работникам образования, занимающимся реализацией магистерских программ в области биологии, а также специалистам в области биологии, экологии, паразитологии и медицинской энтомологии. Материалы монографии могут быть использованы не только для подготовки магистров, но и для организации научно-исследовательской работы бакалавров и проектной деятельности учащихся средних образовательных учреждений.
УДК 378.147:57
ББК 74.58:28.0
© Гордеев М. И., Москаев А. В., 2019
© ООО «Проспект», 2019
ВВЕДЕНИЕ
Модернизация российской экономики, перестроение технологического уклада и отказ от экспортно-сырьевой модели экономического развития формируют абсолютно новые требования к содержанию, методам и реализации образовательных программ в высших учебных заведениях. В ХХ веке появилось четкое представление о характеристиках, необходимых выпускнику высшего учебного заведения: специалист-исследователь, способный самостоятельно проводить научные исследования и совершенствовать технологические процессы. Как основное достоинство выпускников классических университетов позиционировалась их универсальность как специалистов, что гарантировало востребованность на рынке труда.
В ХХI веке требования сместились. Основным критерием успешности молодого специалиста на рынке труда стали профессионализм, глубокое и детальное владение специальностью в сочетании со способностью применять профессиональные навыки в различных условиях. Это отразилось в сформировавшемся компетентностном подходе, переход к которому был нацелен на повышение степени подготовленности выпускника к непосредственной узкопрофессиональной деятельности. При этом для профессий творческого направления до сих пор сохранились требования универсальности. Современные образовательные стандарты ставят своей целью формирование универсальных компетенций (ответственности, инициативности, коммуникабельности и т. д.). Проявлением универсальности считается открытость и готовность к освоению новых навыков, технологий, инновационных решений, стремление к получению новых знаний. Несмотря на снижение престижа научных работников, для выпускников университетов по-прежнему важным критерием успешности остается их способность к организации и ведению самостоятельной научно-исследовательской деятельности, поскольку она отражает универсальность образования. Требование универсальности согласуется с интересами обучающихся, так как предоставляет им возможность получить большой спектр навыков и освоить целый ряд профессий. Это приобретает дополнительную ценность, так как функции современного образования должны быть нацелены не только на выполнение пожеланий работодателей, но и иметь самостоятельную ценность для учащихся, являясь способом развития их личностных и профессиональных умений.
Переход к многоуровневому образованию также способствует универсальности, поскольку предоставляет учащемуся возможность после каждого образовательного этапа корректировать дальнейшую траекторию обучения. Реалии современной экономики и быстрый технологический рост формируют новые требования к работнику, основным из которых является способность к непрерывному обучению на протяжении всей трудовой деятельности, порой с освоением смежных профессий. Такая трудовая деятельность в значительной мере напоминает труд научного работника. В свою очередь современная наука тоже модернизируется — главным образом за счет активного внедрения технологий. Это хорошо видно на примере молекулярной биологии и биотехнологии. Для достижения новых научных результатов возникает необходимость в современном оснащении лаборатории как дорогостоящим оборудованием и реактивами, так и специалистами, способными работать в быстро меняющихся условиях. Современные лаборатории напоминают высокотехнологичные предприятия с большой степенью автоматизации и роботизации производства. В условиях непрерывной научной гонки оборудование и его программное обеспечение требуют постоянного обновления, и персоналу приходится непрерывно совершенствовать свои навыки и знания, осваивать работу с новыми приборами. В связи с чем важнейшей характеристикой специалиста становятся такие его личностные и профессиональные характеристики, как стремление к самообразованию, аналитические способности, умение самостоятельно искать информацию и выбирать стратегии развития, способность применять навыки экспериментальной работы. Именно на формирование данных характеристик нацелен процесс научно-исследовательской деятельности в вузе.
Научно-исследовательская работа над магистерской диссертацией является основой обучения в магистратуре, вокруг нее должна выстраиваться вся остальная деятельность. Сроки выполнения определенных этапов научной работы строго нормированы: первый семестр направлен на проработку литературы и освоение методик; второй семестр посвящен сбору и обработке первых экспериментальных данных и представлению их на конференции. В Московском государственном областном университете организована ежегодная научно-студенческая конференция, традиционно проходящая в конце апреля и позволяющая магистрантам апробировать результаты своих научно-исследовательских работ. По материалам конференции публикуется сборник работ обучающихся. Получив необходимые рекомендации педагогов и других участников конференции, магистрант имеет возможность продолжить научно-исследовательскую работу в течение второго года обучения. За счет углубления и расширения экспериментальной части, магистрант может получить новые результаты и подготовить доклад и вторую публикацию к очередной апрельской научно-исследовательской конференции. Таким образом, он успевает выполнить одно из необходимых условий для защиты магистерской диссертации: две публикации и апробация результатов работы.
Оптимально, если магистрант развивает направление исследований, выбранное на этапе подготовки выпускной квалификационной работы в бакалавриате. В этом случае он, как правило, уже владеет основными методиками и имеет свой собранный ранее биологический материал. Это наиболее важно в случаях, когда научно-исследовательская работа включает в себя этап полевых исследований. У магистрантов, осваивающих новое для себя научное направление, имеется возможность использовать наблюдения, полученные только в рамках одного полевого сезона — после первого года обучения. В таком случае, чтобы исключить риск несвоевременной подготовки магистром диссертации, научный руководитель может предоставить магистранту биологический материал, собранный другими студентами или сотрудниками.
В Московском государственном областном университете успешно ведется подготовка магистров по аккредитованному направлению 06.04.01 — биология, программа подготовки «Биоэкология». Магистрантам предоставляется возможность участвовать в проведении научных проектов на кафедре общей биологии и биоэкологии в рамках грантов Российского фонда фундаментальных исследований, ездить в экспедиции в различные регионы Европейской части России. Одно из научных направлений кафедры — исследование возбудителей и переносчиков малярии — востребовано как в России, так и в государствах Азии, Африки и Латинской Америки. В настоящее время на кафедре в рамках бакалавриата, магистратуры и аспирантуры проходят обучение граждане ряда других стран. Сотрудники кафедры проводят исследования в сотрудничестве с Всемирной организацией здравоохранения, высшими учебными заведениями и научно-исследовательскими институтами США, ФРГ, Турции и ряда стран СНГ.
Московский государственный университет предоставляет магистрантам возможность продолжить обучение в аспирантуре по направлению 06.06.01 — «Биологические науки», а также продолжить научные исследования в учреждениях Российской академии наук. По нашему мнению, ориентация на работу в научной отрасли не только не ограничивает возможности трудоустройства выпускников, но и повышает шансы получить работу на производстве, а также помогает сформировать профессиональную пластичность и готовность к постоянному освоению новых знаний, а при необходимости — освоению смежных профессий. Следует оговорить, что в настоящее время не сформирован единый профессиональный стандарт для профессии «научный работник», квалификационные требования к работникам научной отрасли отражены в Едином квалификационном справочнике должностей руководителей, специалистов и других служащих (ЕКС).
Глава 1. РЕАЛИЗАЦИЯ КОМПЕТЕНТНОСТНОГО ПОДХОДА ПРИ ПОДГОТОВКЕ МАГИСТРОВ ПО НАПРАВЛЕНИЮ «БИОЛОГИЯ»
1.1. Компетентностный подход: основые принципы
В процессе реформирования отечественного образования произошла смена основной парадигмы, которая определяла основное содержание образовательного процесса: от «образования на всю жизнь» к «образованию через всю жизнь» (Андреев, 2014; Евстюхина, 2015). Новая парадигма основывается на фундаментальном принципе непрерывности образования, нашедшем отражение в законе Российской федерации «Об образовании» и в разработанных на базе этого закона нормативных документах, относящихся к подготовке магистров (федеральный закон от 29.12.2012 № 273-ФЗ; постановление Правительства РФ от 18.11.2013 № 1039; приказ Минобрнауки РФ от 17.02.2011 № 201; приказ Минобрнауки России от 12.09.2013 № 1061; Приказ Минобрнауки России от 18.11.2013 № 1245; Приказ Минобрнауки России от 13.07.2017 № 653; ФГОС ВО утв. приказом Министерства образования и науки РФ от 23.09.2015 № 1052). Принцип непрерывности способствует гуманизации образовательного процесса, реализации права личности на раскрытие своих способностей и интересов, обеспечивает свободу выбора образовательной траектории.
Важным этапом этого непрерывного процесса является обучение в магистратуре.
Компетентностный подход при обучении магистрантов базируется на следующих принципах (Евстюхина, 2015; Орлова, 2011; Лонская, Савина, 2016):
— Ценностного личностно-смыслового включения обучающегося в учебную деятельность.
— Моделирование содержания, методов и форм, условий и ситуаций профессиональной деятельности.
— Проблемности в обучении.
— Соответствия форм учебной деятельности целям и содержанию образования.
— Ведущей роли диалогического общения.
Компетентностный подход в обучении магистров призван преодолеть основные недостатки отечественного образования: исключительно знаньевый характер обучения, оторванность результатов обучения от потребностей и запросов современного общества и экономики, слабая мотивация учащихся и педагогов в процессе обучения. Целью компетентностного подхода является способность обучающегося к самостоятельному решению определенного круга проблем (компетентность, основанная на некотором формально описанном качестве). Под компетенцией понимается сфера законодательно установленных обязанностей и полномочий. Компетентность рассматривается как совокупность компетенций (Бермус, 2010). По Дж. Равену компетенции определяются как мотивированные способности (Raven, 1984; Равен, 2002).
Компетентностный подход не отрицает освоения фундаментальных основ в избранной сфере деятельности. Фундаментализация знания рассматривается как противопоставление массовой культуре. Образовательный процесс строится вокруг фундаментального ядра. Образование направлено на приобретение обобщенных знаний, мировоззренческих представлений, формирование общей культуры и развитие мышления (Бермус, 2010). Одной из задач нашего исследования было выделение этого фундаментального ядра (знаниевой составляющей) в образовании магистров-биологов.
Компетентностный подход предполагает освоение фундаментального содержания образования магистров через актуальные проблемные ситуации и самостоятельные экспериментальные исследования. Освоение знаний осуществляется на основе образовательного стандарта (ФГОС ВО утв. приказом Министерства образования и науки РФ от 23 сентября 2015 г. № 1052). Стандарт определяет совокупность компетенций, этапы их формирования и задает итоговый результат обучения. Реализация процесса обучения делегируется образовательному учреждению. Образовательное учреждение формирует оценочную систему, которая учитывает уровни сформированности компетенций магистрантов.
Основой планирования образовательной деятельности служит образовательная программа. Эта программа направляет обучающегося к приобретению совокупности компетенций. Программа предусматривает многоканальное финансирование процесса обучения. Необходимо оговорить, что обучение магистрантов по направлению «Биология», так же как подготовка аспирантов по направлению «Биологические науки», — процесс, требующий финансовых затрат. Однако, бюджет вуза не предусматривает (отдельной строкой) финансирование научно-исследовательских работ магистрантов и аспирантов. Введу чего, вести успешную работу с магистрантами способны только подразделения, имеющие свои научно-исследовательские лаборатории и центры с дополнительными источниками финансирования (научные проекты, гранты, хозяйственные договоры и т. д.). В противном случае финансовое обеспечение экспедиционных выездов, и осуществление сбора биологического материала, придется осуществлять за счет самих магистрантов. Необходимо и наличие оборудованных рабочих мест в лабораториях (оснащение приборами, расходными реактивами, необходимой техникой). Кроме того, руководить магистерской научной работой должны преподаватели, владеющие современной научной базой и имеющие опыт участия в исследовательских проектах. К ним выдвигается ряд требований: они должны регулярно представлять результаты своих исследований на международных и региональных конференциях и иметь публикации в высокорейтинговых научных журналах.
Внедрению компетентностного подхода в образовании посвящены работы ряда отечественных исследователей (Хуторской, 2003; Зимняя, 2004; Шадриков, 2004; Днепров, 2006; Андреев, 2013, 2014; Пасечник, 2013, 2015; Минченков, 2017).
1.2. Требования к результатам освоения основной образовательной программы по направлению магистратуры «Биология», программа подготовки «Биоэкология»
Основная образовательная программа по направлению магистратуры «Биология», программа подготовки «Биоэкология» включает формирование следующих компетенций:
Общекультурные компетенции:
— ОК-1 — способностью к абстрактному мышлению, анализу, синтезу;
— ОК-2 — готовностью действовать в нестандартных ситуациях, нести социальную и этическую ответственность за принятые решения;
— ОК-3 — готовностью к саморазвитию, самореализации, использованию творческого потенциала.
Общепрофессиональные компетенции:
— ОПК-1 — готовностью к коммуникации в устной и письменной формах на государственном языке Российской Федерации и иностранном языке для решения задач профессиональной деятельности;
— ОПК-2 — готовностью руководить коллективом в сфере своей профессиональной деятельности, толерантно воспринимая социальные, этнические, конфессиональные и культурные различия;
— ОПК-3 — готовностью использовать фундаментальные биологические представления в сфере профессиональной деятельности для постановки и решения новых задач;
— ОПК-4 — способностью самостоятельно анализировать имеющуюся информацию, выявлять фундаментальные проблемы, ставить задачу и выполнять полевые, лабораторные биологические исследования при решении конкретных задач с использованием современной аппаратуры и вычислительных средств, нести ответственность за качество работ и научную достоверность результатов;
— ОПК-5 — способностью применять знание истории и методологии биологических наук для решения фундаментальных профессиональных задач;
— ОПК-6 — способностью использовать знание основ учения о биосфере, понимание современных биосферных процессов для системной оценки геополитических явлений и прогноза последствий реализации социально значимых проектов;
— ОПК-7 — готовностью творчески применять современные компьютерные технологии при сборе, хранении, обработке, анализе и передаче биологической информации для решения профессиональных задач;
— ОПК-8 — способностью использовать философские концепции естествознания для формирования научного мировоззрения;
— ОПК-9 — способностью профессионально оформлять, представлять и докладывать результаты научно-исследовательских и производственно-технологических работ по утвержденным формам.
Профессиональные компетенции:
Вид деятельности: научно-исследовательская
— ПК-1 — способностью творчески использовать в научной и производственно-технологической деятельности знания фундаментальных и прикладных разделов дисциплин (модулей), определяющих направленность (профиль) программы магистратуры;
— ПК-2 — способностью планировать и реализовывать профессиональные мероприятия (в соответствии с направленностью (профилем) программы магистратуры);
— ПК-3 — способностью применять методические основы проектирования, выполнения полевых и лабораторных биологических, экологических исследований, использовать современную аппаратуру и вычислительные комплексы (в соответствии с направленностью (профилем) программы магистратуры);
— ПК-4 — способностью генерировать новые идеи и методические решения.
— Вид деятельности: научно-производственная
— ПК-5 — готовностью использовать знание нормативных документов, регламентирующих организацию проведения научно-исследовательских и производственно-технологических биологических работ (в соответствии с направленностью (профилем) программы магистратуры);
— ПК-6 — способностью руководить рабочим коллективом, обеспечивать меры производственной безопасности.
Вид деятельности: проектная
— ПК-7 — готовностью осуществлять проектирование и контроль биотехнологических процессов.
Вид деятельности: организационно-управленческая
— ПК-8 — способностью планировать и проводить мероприятия по оценке состояния и охране природной среды, организовать мероприятия по рациональному природопользованию, оценке и восстановлению биоресурсов.
Важное место в компетентностном подходе уделяется оценке уровней сформированности компетенций. Низший уровень предполагает знание и понимание основных требований к деятельности. Промежуточный уровень соответствует знанию и умению действовать в стандартных ситуациях. Высокий уровень компетентности подразумевает владение способностью творческого решения реальных проблем (Бермус, 2010). В рабочих программах магистратуры МГОУ выделен пороговой и продвинутый уровени сформирванности компетенций. Пороговый уровень включает овладение знаниями и умениями определенного вида деятельности. Продвинутый уровень предполагает не только знания и умения, но и владение профессиональными навыками. Оценка достижений магистрантов предполагает использование рейтенговой системы оценивания деятельности обучающихся, рецензирование и экспертизу результатов самостоятельной научно-исследовательской работы.
1.3. Формирование компетенций при прохождении практик и проведении научно-исследовательской работы
Важное место в подготовке магистров в рамках компетентностного подхода занимает получение практических умений и навыков. Во время прохождения практик формируются реальные практические навыки работы в живой природе и научно-исследовательских лабораториях. Прохождение практик магистров в МГОУ включает в себя сотрудничество с учереждениями Российской Академией наук. Участие ученых академии наук создает необходимую научную среду, которая способствует профессиональному росту магистрантов. Сотрудники научных учереждений и преподаватели МГОУ играют роль тьютеров в процессе получения навыков практической работы магистров. Участие в научных исследованиях способствует формированию творческой креативно мыслящей личности способной решать нетривиальные задачи, возникающие в профессиональной деятельности. Навыки работы в научно-исследовательских лабораториях способствуют профессиональной ориентации магистрантов. Многи выпускники магистратуры работают в учереждениях РАН, а так же продолжают обучение в аспирантуре.
При прохождении практик магистранты учаться использовать специализированное высокотехнологичное оборудование, получая важные эмпирические навыки для выполнения работ в наукоемких отрослях экономики.
Практическая работа в начных организациях, так же как и занятия научными исследованиями в целом, способствует созданию междисциплинарных связей. Междисциплинарные взаимодействия способны обеспечить новых прорывных технологий и являются основой научно-технического прогресса.
Прохождение практик помогает решить главную задачу компетентностного подхода — усиление практической составляющей образования магистра.
Компетентностный подход позволяет подготовить выпускника — магистра, компетентного в решении задач своей профессиональной деятельности. Развитие компетентностного образования направляет основное русло педагогической работы на формирование конкретных, применимых на практике умений и навыков, обучающихся необходимых на будущей работе. Базовой основой для получения и закрепления компетенций является внедрение студента магистра в научно-исследовательскую деятельность. Важным элементом подготовки магистров является выполнение самостоятельной работы. Организация самостоятельной работы магистров отражена в локальных нормативных документах вузов. Самостоятельная работа магистрантов должна быть привязана к практическим исследованиям и связана с вовлечением в креативную научную среду.
Глава 2. ФУНДАМЕНТАЛЬНЫЕ ЗНАНИЯ В ОБЛАСТИ БИОЛОГИИ И ЭКОЛОГИИ КАК ОСНОВА ФОРМИРОВАНИЯ ПРОФЕССИОНАЛЬНЫХ КОМПЕТЕНЦИЙ МАГИСТРОВ
По мнению авторов, формирование профессиональных компетенций магистров биологов предпологает освоение системы фундаментальных биологических понятий, явлений и закономерностей. В современной методической литературе недостаточно разработаны характеристики данной системы, размыты границы того фундаментального ядра, которое служит основой саморазвития обучающихся. Мы попытались выделить наиболее важные с нашей точки зрения разделы экологии и популяционной биологии, которые должны освоить магистры. В основе разработанной нами магистерской программы по направлению «Биология» профиль «Биоэкология» лежат результаты научных исследований, выполненных представителями школы цитогенетики кровососущих двукрылых насекомых Московского государственного областного университета. Ниже приведены основные фундаментальные положения популяционной биологии, необходимые для обучения в магистратуре.
2.1. Проблемы адаптации на организменном, популяционно-видовом и биоценотическом уровнях организации живых систем
Адаптация (приспособление) — универсальное общебиологическое явление. Понятие биологической адаптации можно определить как целостную систему реакциий живых объектов (организма, популяции, биоценоза), направленную на поддержание динамического равновесия не только в данных условиях среды (гомеостазис), а также при их изменении в процессе эволюции (гомеорезис) (Георгиевский, 1989). Предложена классификация адаптаций, учитывающая уровень организации биологических систем: 1) адаптации онтогенетических систем (организменный уровень); 2) адаптации филогенетических систем (популяционно-видовой уровень); 3) адаптации ценотических систем (биоценотический и экосистемный уровень) (Шкорбатов, 1971).
В трактовке понятия адаптации фактически выделяется два аспекта: онто — и филогенетический, причем первый аспект, отражающий проблему сохранения функциональной устойчивости системы, присущ каждому уровню организации живого. Регуляция на популяционно-видовом уровне отличается от регуляции в системе организма тем, что она: 1) сказывается не только в отношении процесса жизнедеятельности, но и в отношении темпов, путей и способов эволюции вида как целого; 2) совершается через отбор. То обстоятельство, что микроэволюционные преобразования, в частности дифференциация частей (образование всех типов полиморфизма, включая возрастной, половой, социальный, модификационный, наследственный и др.), не только не нарушают целостности вида, а напротив, совершенствуют способы поддержания его целостности, ставит в этом отношении вид в один ряд с такими системами, как биоценоз и живое вещество биосферы. Степень дифференциации частей, характер соподчинения частей и целого на популяционно-видовом уровне обособляют его от систем более высоких уровней биологической организации (Берг, 1993). От всех внутривидовых категорий вид отличается эволюционной самостоятельностью и морфофизиологической уникальностью, а от биоценоза — характером и степенью интеграции (Шварц, 1980).
Интегрированность системы зависит от индивидуальности ее частей и устойчивости отношений между ними. На более высоких уровнях организации степень интеграции биологических систем закономерно снижается. В отличие от организма, воспроизводство популяции основано не на размножении всей системы, а на самообновлении за счет замены старых частей новыми. Взаимозаменимость частей накладывает ограничения на усложнение организации, на дифференциацию этих частей. То же самое справедливо и для биоценоза. На этом уровне сложность системы возрастает, но сила взаимодействия и взаимоподчиненность элементов уменьшается (Геодакян, 1970; Берг, 1993).
Все адаптации можно классифицировать по отношению к типу среды (Тимофеев-Ресовский и др., 1977). Выделяют адаптации, связанные с действием абиотических и биотических факторов. В соответствии с иерархией биологических уровней биотическая среда подразделяется на генотипическую (онтогенетическую), популяционно-видовую и биоценотическую, каждая из которых отличается своими специфическими адаптациями. Основной характеристикой генотипической среды является целостность генотипа особи, которая формируется в результате межаллельных и межгенных взаимодействий. Необходимо подчеркнуть, что все известные типы таких взаимодействий осуществляются не непосредственно, а через контролируемые генами признаки (Митрофанов, 1994). Целостность генотипа не тождественна целостности организма, поскольку между генотипом и фенотипом стоит цепь эпигенетических событий, и реализация наследственной информации происходит с участием внешних факторов (Левонтин, 1978). В результате этих эпигенетических событий образуется система корреляций — взаимосвязь и взаимозависимость всех признаков организма. Взаимодействие зачатков в процессе эмбриогенеза относят к морфогенетическим корреляциям, а взаимосвязь признаков сформировавшегося организма — к функциональным корреляциям. Само существование морфогенетических и функциональных корреляций обеспечивает возможность преобразования целого ряда свойств организма за счет изменения отдельных генетических детерминант (Шмальгаузен, 1938; Северцов, 1939). Адаптивная перестройка корреляционных систем осуществляется на новой генетической основе в процессе естественного отбора. Возникновение генотипа с новой адаптивной нормой реакции рассматривается как элементарное адаптационное явление (Тимофеев-Ресовский и др., 1977).
Специфическими для организменного уровня организации живых систем являются адаптивные модификации — ненаследуемые изменения признаков, способствующие выживанию организма в изменившихся условиях среды. Модификации осуществляются в пределах нормы реакции, заданной генотипом. Для выделения совокупности адаптивных модификаций данного генотипа был предложено понятие адаптивной нормы реакции (Шмальгаузен, 1938, 1969). Адаптивная норма включает модификации, эффективные в тех условиях среды, в которых исторически протекала эволюция данного вида. К адаптивным модификациям относятся акклимации — компенсаторные изменения параметров физиологического состояния особей в ответ на изменение того или иного фактора внешней среды. В ответ на внешнее воздействие организм последовательно включает различные регуляторные механизмы. Основу быстропротекающих реакций составляют нейрорефлекторные механизмы. На более поздних стадиях воздействия внешних факторов реакции организма реализуются на биохимическом, клеточном и тканевом уровнях (Озернюк, 1992).
Популяционно-видовая среда проявляется во взаимодействиях особей одного вида. Ей соответствуют надорганизменные адаптации и корреляции (Яблоков, Юсуфов, 1976). Основой адаптабильности популяции являются ее структурированность и полиморфность (в широком смысле слова, включающая различия по полу, возрасту, генетические и др.) (Яблоков, 1987). К специфическим адаптациям, присущим данной среде, относят конгруэнции — взаимные приспособления особей друг к другу. Конгруэнции выражаются в признаках, обеспечивающих половое размножение, вскармливание потомства, территориальность и т. д. (Северцов, 1951).
Биоценотическая среда складывается как результат взаимодействия особей или популяций разных видов в биоценозе. В процессе сопряженной эволюции видов появляются специфические межвидовые адаптации, такие как взаимные приспособления у растений и насекомых-опылителей, у хищников и их жертв, у паразитов и хозяев, у симбиотических организмов (Яблоков, Юсуфов, 1976). По отношению к биоценотической среде адаптации делятся на специализированные, позволяющие видам существовать в узколокальных условиях, и общие, обеспечивающие видам возможность существовать в широко варьирующих условиях обитания (Simpson, 1949). Общие адаптации используются в качестве диагностических признаков крупных таксонов (Грант, 1991).
Все адаптации подчиняются принципу многофункциональности. Благодаря этому принципу внутриорганизменные адаптации способны проецироваться и на уровни выше организменного. Функция служит связующим звеном между особенностями строения и экологическими характеристиками организма. С одной стороны, она выступает как совокупность физических и химических свойств данной структуры (части) организма, с другой — как биологическая роль, которую эта структура играет во взаимодействиях организма с внешней средой (Познанин, 1941; Bock, Wahlert, 1965). Функция трактуется как целесообразная реакция структур, принадлежащих определенному уровню биологической организации и отражающих системную специфику данного уровня. Для нее устанавливаются аналогичные иерархические отношения, что и для соответствующих структур. Следует подчеркнуть, что мы используем термин «функция» только при сопоставлении частей системы и их свойств. Проявления биологической активности организма как системы или компонентов надорганизменных систем обычно обозначают другим термином — «стратегия» (Кокшайский, 1985).
Адаптация рассматривается как процесс, связанный с подгонкой оптимумов соответствующих биосистем под изменившиеся условия среды. Изменение условий приводит к переоценке имеющегося набора функций: одни структуры теряют оптимум, другие его приобретают, за счет чего происходит усиление их активности. Адаптивность, понимаемая как диапазон возможного перемещения оптимумов, увеличивается при переходе на более высокий уровень иерархии биосистем, однако темпы приспособления при этом снижаются. Необходимым условием приспособляемости на всех уровнях организационной иерархии служит структурное разнообразие биосистем (Лекявичус, 1986).
Отбор является свойством надорганизменных уровней организации живого. Ареной действия отбора служит популяция, обитающая в конкретном биоценозе, а объектом приложения — особь. Представление о популяции как элементарной единице эволюции, совершающейся посредством естественного отбора, относится к фундаментальным положениям синтетической теории эволюции (Тимофеев-Ресовский и др., 1977). Отмечается, что отбор — не направляющий, а направленный фактор микроэволюции. Его направленность на выработку (сохранение) тех или иных адаптаций задается экологическими взаимодействиями особей данного вида как с внутрипопуляционными факторами, так и с факторами, внешними по отношению к популяции. Естественный отбор можно характеризовать как векторный процесс. Точкой приложения вектора отбора является конкретный признак, а экологические факторы задают его величину и направление (Северцов, 1990).
Говоря о направленности отбора, следует иметь в виду два обстоятельства. Во-первых, особи каждой популяции вынуждены адаптироваться к целой серии одновременно действующих факторов, причем адаптация в каком-либо одном направлении идет в ущерб другим адаптациям. Данный принцип получил название принципа Холдейна-Семевского (Северцов, 1990). Во-вторых, направленность отражает ограничения, накладываемые каждым структурным уровнем биологической организации. На организменном уровне эти ограничения связаны прежде всего с «узкогорлым жизненным циклом», по терминологии Р. Докинза (1993). На популяционно-видовом уровне необходимым условием для отбора является сохранение репродуктивных взаимодействий внутривидовых группировок, на биоценотическом — отношение к лимитирующим ресурсам. Несмотря на существующую систему запретов, отбор способен затрагивать многие признаки организма, связанные системой корреляций, воздействовать на внутри- и межвидовые отношения.
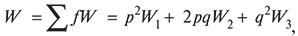
В генетике популяций эффект отбора оценивается по изменению частот генов, связанных с рассматриваемым признаком. Каждому генотипу ставят в соответствие величину, обозначаемую W и называемую относительной приспособленностью (адаптивной ценностью), которая служит мерой относительных вкладов указанных генотипов (в пересчете на одну особь) в генетический состав следующего поколения (Ли, 1978). Величина, обратная адаптивной ценности генотипа, называется коэффициентом отбора s и характеризует снижение вклада, рассматриваемого аллеля в потомство: W = 1 – s. В условиях отбора только некоторые генотипы могут иметь относительную приспособленность, равную единице, поэтому средняя приспособленность популяции всегда меньше единицы. В однолокусной популяции с аллелями А1 и А2 эта величина имеет вид:
где p и q — частоты аллелей; W1, W2, W3 — адаптивная ценность генотипов А1А1, А1А2, А2А2 соответственно.
Фиксация одного из аллелей или сохранение обоих аллелей в течение ряда поколений зависит от относительных значений приспособленностей генотипов Wi. Если W1 > W2 ≥ W3, или, напротив, W 3> W 2≥ W1, то произойдет утрата одного из аллелей (направленный отбор). Генетический полиморфизм поддерживается в популяции, если W1 < W2 > W3 или W1 > W2 < W3. В тех случаях, когда приспособленность гетерозиготы больше приспособленности обоих гомозигот («сверхдоминирование»), отбор способствует сохранению стабильного соотношения генотипов при равновесной частоте. В ситуации, когда приспособленность гетерозиготы меньше приспособленности обеих гомозигот, равновесное состояние оказывается неустойчивым и отбор будет действовать в направлении фиксации аллеля, встречающегося с наибольшей частотой. Отбор против гетерозигот может, при определенных условиях, способствовать формированию внутривидовых группировок (Алтухов, 1983).
Перечисленные примеры иллюстрируют три основные формы отбора: движущий (Fisher, 1930; Huxley, 1942); стабилизирующий, называвшийся также центростремительным (Fisher, 1930; Шмальгаузен, 1946, 1969; Симпсон, 1948); и дизруптивный отбор (Dobzhansky, 1970). Стабилизирующий отбор способствует повышению устойчивости популяции за счет выбраковки отклонений от нормы; движущий отбор приводит к появлению новых признаков за счет изменения или утраты прежних и к закреплению новой нормы; дизруптивный отбор может обеспечивать формирование балансированного полиморфизма (Яблоков, Юсуфов, 1976).
Под давлением отбора средняя приспособленность популяции постоянно возрастает из поколения в поколение вплоть до ее максимального значения в состоянии равновесия. Это правило известно как «фундаментальная теорема естественного отбора». Оно было сформулировано Р. Фишером в 1930 г. и в более поздней редакции (Fisher, 1941) гласит: «Скорость возрастания средней приспособленности популяции равна генетической (аддитивной) дисперсии приспособленности этой популяции». Дисперсия всегда положительна, поэтому средняя приспособленность популяции будет возрастать независимо от исходных частот аллелей и приспособленности отдельных генотипических классов (Кайданов, 1996). Теорема Фишера справедлива при фиксированном состоянии генома и стабильной среде, однако в других ситуациях имеет ряд ограничений (Животовский, 1981). В популяциях с инбридингом при частото-зависимом отборе за счет мутаций и рекомбинаций величина приспособленности популяции может снижаться и, следовательно, отбор способен привести популяцию к вымиранию (Алтухов, 1983).
Изменения генетического состава популяции под действием отбора, мутаций, селективного спаривания, миграций и дрейфа генов приводят к соответствующим изменениям приспособленности популяций. Различные состояния популяции можно представить в виде «адаптивного ландшафта» (Wright, 1932; 1951). Значения средней приспособленности популяции в поле генных комбинаций изображаются в виде топографической карты, где пики и впадины показывают соответственно увеличение и снижение адаптивной ценности. Траектория движения по адаптивному ландшафту отражает эволюционную судьбу популяции. Данная модель позволяет судить о связи между генетической структурой популяции и направленностью микроэволюционного процесса. В частности, если популяция состоит из ряда внутривидовых группировок, и одна из группировок окажется возле адаптивного пика, то она может освоить пик. Увеличение численности этой группировки приведет к вливанию ее генов в другие группировки и вся популяция может значительно повысить среднюю приспособленность. Важный вывод модели адаптивных ландшафтов состоит в том, что микроэволюционный процесс зависит от постоянно смещающегося, но никогда не исчезающего состояния равновесия между факторами стабильности и изменений, и что наиболее благоприятным условием для этого является наличие тонко подразделенной структуры, в которой изоляция и перекрестная коммуникация поддерживаются в соответствующем равновесии (Wright, 1951; Алтухов, 1983).
Дифференциальная приспособленность генотипов возникает в результате действия самых разнообразных механизмов, которые фактически остаются вне рассмотрения. Различия по приспособленности могут быть связаны с любым этапом жизненного цикла — от оплодотворения до смерти. Какой бы ни была биологическая основа, дифференциальная приспособленность является итогом действия совокупности факторов, приводящих к дифференциальному представительству генов в следующем поколении (Ли, 1978). Это дает основание сравнивать отбор с корзиной для бумаг, поскольку он вбирает в себя все причины направленных генетических изменений, не связанные с мутациями или привнесением генов извне (Wright, 1955).
Как отмечалось выше, понятие приспособленности входит в систему категорий генетики популяций. Эта наука имеет четко очерченный предмет и цели изучения и оперирует, главным образом, частотами генов. Исследованием экологических механизмов отбора и ограничений, определяющих направленность селективного процесса, должна заниматься другая наука — экологическая генетика, формирующаяся на стыке генетики популяций и популяционной экологии. В рамках экологической генетики необходимо делать акцент не на анализе изменений генных частот, а на закономерностях возникновения генотипов и фенотипов с определенными адаптивными свойствами. В таком понимании экологическая генетика входит составной частью в новое научное направление, пограничное между эволюционной теорией и экологией, — эволюционную экологию (Чернов, 1996). К категориям эволюционной экологии относятся понятия адаптациогенеза, адаптивной специализации, адаптивной стратегии и адаптивного комплекса.
2.2. Стратегии отбора и формирование адаптивных комплексов
Адаптивная эволюция охватывает два процесса: 1) возникновение разного масштаба адаптивных признаков на основе качественного преобразования биологической организации в целом (адаптациогенез); 2) направленное совершенствование адаптивной нормы на основе изменения количественных параметров биологической организации (адаптивная специализация) (Георгиевский, 1989). Первый процесс связан с появлением крупных таксонов, второй обеспечивает адаптивную радиацию за счет развития тех новообразований, которые возникли в результате адаптациогенеза. Разделение двух процессов необходимо при обсуждении направленности эволюции и ее механизмов. Традиционно возникновение приспособлений (адаптациогенез) связывается с адаптивным преобразованием организменных структур (т. е. с адаптациоморфозом). На этой связи строится классификация направлений биологического прогресса в работах А. Н. Северцова (1939) и И. И. Шмальгаузена (1969). Выделено шесть основных направлений биологического прогресса: ароморфоз, алломорфоз, теломорфоз, гиперморфоз, катоморфоз, гипоморфоз. По нашему мнению, процесс адаптивной специализации, в отличие от адаптациогенеза, может происходить вне связи с адаптациоморфозом. Примером адаптивной эволюции такого рода служат виды-двойники. Для палеарктической группы видов-двойников малярийных комаров Anopheles maculipennis до настоящего времени не удалось разработать определителей, основанных на использовании морфологических признаков, хотя показана репродуктивная изоляция и экологическая дифференциация этих видов (Kitzmiller, 1967, 1976). Очевидно, определение направлений адаптивной специализации в таких группах требует разработки иных подходов, основанных в первую очередь на изучении генетических и экологических механизмов отбора.
Для анализа содержания и способов адаптивной специализации используется термин «адаптивная стратегия». Под адаптивной стратегией мы понимаем закономерности отбора фенотипов в популяциях, направленные на формирование адаптивных комплексов. В основе этого определения лежит положение об отборе как поливекторном процессе и представление о взаимозависимости адаптивных признаков.
Каждый организм обладает совокупностью биохимических, физиологических, поведенческих и экологических особенностей, скоррелированных друг с другом и способствующих выживанию и размножению. Такое сочетание коадаптированных признаков организма было названо оптимальной композицией (Rosen, 1967) или адаптивным комплексом (Bartholomew, 1972; Пианка, 1981). На организменном уровне понятие об адаптивном комплексе используется для анализа гомеостатических механизмов, позволяющих организму поддерживать свою жизнедеятельность в широком диапазоне внешних условий. На популяционно-видовом уровне адаптивный комплекс — это совокупность взаимосвязанных признаков, поддерживаемых характерной для данного местообитания системой векторов отбора и способствующих более эффективному переживанию и воспроизведению организмов.
Фактически каждый экологический фактор создает вектор отбора, величина которого зависит от того, в какой степени этот фактор воздействует на дифференциальное воспроизведение генотипов и фенотипов в потомстве. Способность популяции существовать при определенной силе действия конкретного лимитирующего фактора будет зависеть не только от физиологических возможностей адаптации именно к этому фактору, но и от его взаимодействия с другими факторами, влияющими на жизнедеятельность особей. Следовательно, для анализа адаптивных стратегий в популяциях необходимо рассматривать совместное действие различных векторов отбора (Северцов, 1990). В связи с многокомпонентностью среды и взаимозаменяемостью факторов смертности суммарный эффект отбора можно представить как совокупность всех векторов — результирующий вектор отбора. Результирующие векторы задают направление и силу отбора и поддерживают фенотипы с определенным сочетанием признаков.
Популяции адаптируются не к конкретным значениям абиотических и биотических факторов, а к некоторому диапазону изменений этих факторов. Физиологические процессы при изменении условий протекают с разными скоростями. Интенсивность этих процессов варьирует в определенном диапазоне толерантности, который контролируется отбором (Brown, Feldmeth, 1971; Пианка, 1981). Адаптивные комплексы эврибионтных организмов характеризуются широким диапазоном толерантности, а стенобионтные — узким, причем пределы толерантности для разных признаков у эври- и стенобионтов взаимосвязаны. Г. Хатчинсон (Hutchinson, 1957) использовал представление о диапазонах толерантности для формулировки понятия «экологическая ниша». Он определяет нишу организма как n-мерный гиперобъем, охватывающий полный диапазон условий, при которых организм может воспроизвести себя. Совокупность оптимальных условий, при которых популяция способна поддерживать жизнедеятельность и воспроизводиться, называется фундаментальной или потенциальной нишей. Реализованная ниша всегда уже фундаментальной из-за ограничений, связанных с воздействием других организмов и абиотических факторов. Динамику реализованной ниши можно представить в виде пульсирующего гиперобъема, который ограничен областью фундаментальной ниши (Пианка, 1981). Подчеркивается, что экологическая ниша является характеристикой организма, а не среды обитания. Адаптивные комплексы отражают целостность и внутренние свойства организмов, а экологическая ниша — результат их взаимоотношений с окружающей средой. Адаптивные стратегии выступают в виде связующего звена между данными двумя понятиями.
Понятие адаптивной стратегии включает в себя и процесс, и результат отбора, от возникновения фенотипов с определенным комплексом адаптивных свойств и трансформации экологической и генетической структуры популяций до соответствующего изменения масштабов реализованной ниши. В зависимости от особенностей генетического определения признаков адаптация популяций к гетерогенным условиям среды может осуществляться двумя способами: либо через изменение нормы реакции (модификационный полиморфизм), либо за счет использования имеющегося резерва наследственной изменчивости (генетический полиморфизм) (Северцов, 1990). Различные типы адаптивных стратегий могут отличаться по способам регуляции состава адаптивных комплексов. Анализ возможного механизма адаптациогенеза с учетом роли мутационной и модификационнной изменчивости сделан в рамках теории стабилизирующего отбора. Новые адаптации создаются отбором как частные зависимые реакции прежней нормы, реализуемые в специфических условиях среды на основе модификационной изменчивости. По мере того, как новая элементарная адаптация становиться более универсальной, и она интегрируется с общей системой морфогенетических корреляций организма, роль внешних факторов в ее детерминации уменьшается и возрастает роль внутренних, т. е. происходит замена модификаций наследственными вариациями (Шмальгаузен, 1938; Шишкин, 1984). Данный механизм не исключает прямого отбора наследственных изменений в тех случаях, когда развитие организма строго детерминировано генетически. Различные адаптивные стратегии возникают на основе объединения обоих механизмов адаптивной специализации.
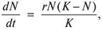
Направление результирующего вектора и, следовательно, характеристики адаптивного комплекса определяются тем, как возникшие адаптации связаны с репродуктивной сферой, как они влияют на трофические связи и энергетический обмен. Отправной точкой для выделения адаптивных стратегий служит кривая роста популяции в ограниченном объеме среды, которая описывается логистическим уравнением Ферхульста–Пирла:
где N — число особей; r — врожденная (специфическая) скорость естественного увеличения популяции; K — предельная плотность насыщения (максимальная численность, которую может достигнуть популяция в данном объеме среды).
Согласно этому уравнению, график роста численности популяции представляет собой S-образную кривую, выходящую на плато при достижении предельной плотности насыщения K. Если исходная численность была выше K, то она будет уменьшаться по экспоненте до величины K, которая характеризует собой единственно возможное устойчивое равновесие (Пианка, 1981). Логистическая кривая дает стандартную основу для понимания особенностей роста популяции в идеале (Галл, 1984), исходя из которой можно классифицировать адаптивные характеристики популяционно-видовых систем и закономерности формирования адаптивных комплексов. Рассмотрим существующие классификации адаптивных стратегий.
2.3. Классификации адаптивных стратегий. Концепция r/K-отбора
Подходы, связанные с выделением типов адаптивных стратегий, развивались параллельно в фитоценологии и популяционной экологии животных и в значительной степени пересекаются. В фитоценологии адаптивные стратегии определяются как способы выживания популяций растений в сообществах и экосистемах (Миркин и др., 1989). Классификации адаптивных стратегий основываются либо на средообразовательной способности растений (Сукачев, 1928), либо на их конкурентоспособности в местообитаниях различного типа (Раменский, 1938; Grime, 1974, 1979). В популяционной экологии животных в основе классификации адаптивных стратегий лежит соотношение затрат на размножение и на поддержание жизнедеятельности организмов. В разреженной среде наилучшей репродуктивной стратегией считается максимальный вклад вещества и энергии в размножение с целью получить наибольшее число потомков в наиболее сжатые сроки. В насыщенной среде, где велико действие зависящих от плотности факторов, оптимальной стратегией будет расходование энергии в первую очередь на преодоление конкуренции, на повышение собственной жизнеспособности и продуцирование более жизнеспособного потомства. Этот подход получил название концепции r/K-отбора, в соответствии с двумя параметрами логистического уравнения (MacArthur, Wilson, 1967; Пианка, 1981). Проведем сравнительный анализ различных классификаций адаптивных стратегий с целью оценки степени их совместимости.
Концепция r/K-отбора соединяет системообразующие свойства популяционно-видового и биоценотического уровней биологической организации — репродуктивные отношения и использование ресурсов, поэтому способна оперировать как взаимодействиями внутривидовых групп в составе отдельной популяции, так и популяциями как элементами экосистем. Характерными признаками K-отбора считаются: высокое постоянство или предсказуемость среды обитания; зависящая от плотности смертность; относительно постоянный, близкий к предельной емкости биотопов размер популяции; острая внутри- и межвидовая конкуренция; высокая продолжительность жизни. Такой отбор должен благоприятствовать более медленному развитию особей, высокой их конкурентоспособности, позднему началу репродукции с многочисленными повторяющимися в течение жизни актами размножения, меньшему числу более крупных потомков. К признакам r-отбора как альтернативной стратегии, соответсвенно, относятся: неопределенный и непредсказуемый характер изменений среды; ненаправленная, часто катастрофическая, не зависящая от плотности смертность; неравновесный, обычно ниже предельной емкости биотопов размер популяции; относительно слабая внутри- и межвидовая конкуренция; короткая продолжительность жизни. Отбор благоприятствует: быстрому развитию особей; высокой скорости роста популяции; более раннему и единственному в течение жизни акту размножения; большому числу мелких потомков. Подчеркивается, что r-стратегия свойственна ранним стадиям сукцессии и направлена на более высокую продуктивности популяций в биоценозах. K-стратегия характерна для поздних, климаксных стадий сукцессии и способствует повышению эффективности использования ресурсов. Реализованные ниши организмов, в большей степени подверженных r-отбору, определяются прежде всего физической средой, а у организмов, подверженных K-отбору, — преимущественно действием биотических факторов (Пианка, 1981).
Отмечается относительность классификации видов на r- или K-стратегов. Нет видов, подверженных исключительно r- или K-отбору: каждый должен достигнуть определенного компромисса между двумя крайними вариантами адаптивных стратегий. О каждом организме можно говорить как о r-стратеге или K-стратеге при сравнении с другими организмами. Относительность классификации связана также с динамикой ниш. Давление отбора и ниша могут меняться в пространстве и во времени. Например, в умеренной зоне ранняя весна — это время, когда организмы с коротким жизненным циклом подвержены, в основном, r-отбору, тогда как позднее они оказываются в условиях K-отбора. В пределах одного вида одни особи могут в большей степени зависеть от r-отбора, чем другие, если они находятся в особых микроместообитаниях или частях видового ареала (Пианка, 1981).
Концепция r/K-отбора была использована для выделения типов адаптивных стратегий на основе закономерностей колебаний плотности популяций (Уиттекер,1980). Р. Уиттекер ввел пороговую величину популяционной плотности L, ниже которой популяция вымирает, и величину популяционного насыщения K, при превышении которой резко возрастают факторы смертности. В зависимости от обстоятельств жизнедеятельности популяции возникают следующие селективные варианты: 1) отбор насыщения, или взаимодействие отборов в благоприятных, относительно стабильных и насыщенных условиях среды (K-стратегия); 2) отбор эксплуатации в среде, в которой чередуются благоприятные и неблагоприятные условия, либо во временно измененной среде (r-стратегия); 3) отбор в условиях неблагоприятной и ограничивающей среды, которая лишь иногда допускает популяционный рост (L-стратегия). Предполагается, что виды не образуют трех четко очерченных групп в согласии с представленными ситуациями, но различаются по относительному влиянию этих ситуаций на их адаптивные признаки. Виды способны формировать континуум адаптаций, которые вызваны относительным преобладанием отбора насыщения, эксплуатации или отбора в неблагоприятной обстановке, и характеризоваться соотношением генов, поддерживаемых соответствующими адаптивными стратегиями (Уиттекер,1980).
Уязвимым звеном данной классификации является использование демографических параметров в качестве основных критериев разделения видов на r-, K- и L-стратегов. Фактически L-тип является сборным, поскольку к нему, например, могут быть отнесены и пустынные однолетники, и пустынные многолетники, хотя в рамках концепции r/K-отбора их следует относить к разным типам в силу различных механизмов адаптации к неблагоприятным воздействиям среды (Миркин и др., 1989). Когда обсуждается соотношение энергетических затрат на размножение и обеспечение ресурсами потомства, то не всегда учитывается, что за этими эффектами скрываются различные механизмы отбора. По нашему мнению, ошибочно интерпретировать концепцию r/K-отбора как частный случай классификации местообитаний по их демографическим эффектам (Бигон и др., 1989), поскольку демографические характеристики вторичны по отношению к способам, с помощью которых обеспечивается воспроизведение генотипов и фенотипов в ряду поколений. Одна и та же плотность может достигаться за счет разного соотношения молоди и половозрелых особей, при разной скорости репродукции и смертности и т. д. Независимо от природы реакций популяций на условия обитания, им свойственен некий диапазон жизненных циклов, и можно различным образом подразделять эти жизненные циклы. Теория r/K-стратегий в первую очередь направлена на изучение самих реакций и закономерностей отбора.
Концепция r/K-отбора широко используется для сравнительного анализа жизненных циклов у различных организмов (Stearns, 1977). В частности, показаны ее большие операциональные возможности в паразитологии (Jennings, Calow, 1975; Esch et al., 1977; Jennings, 1977; Lebedev, 1978; Rohde, 1978; Лебедев, 1984). В филогенетической линии плоских червей Plathelminthes от свободноживущих и эктокомменсальных Turbellaria к паразитическим Trematoda и Cestoda наблюдается увеличение плодовитости в течение жизненного цикла, от нескольких десятков яиц у турбеллярий до 107 у цестод. Одновременно отмечено снижение относительного уровня энергетических запасов (определялся индекс теплопродуктивности — количество ккал/г сухого веса). Предполагается, что в рассматриваемой линии эволюционные преобразования сопровождались переходом от K-стратегии у свободноживущих турбеллярий к r-стратегии у трематод и цестод (Jennings, Calow, 1975). При сравнении представителей классов Trematoda и Monogenoidea по продуктивности, морфологической сложности взрослых стадий, степени специфичности
...