Введение в эконометрику
Қосымшада ыңғайлырақҚосымшаны жүктеуге арналған QRRuStore · Samsung Galaxy Store
Huawei AppGallery · Xiaomi GetApps

автордың кітабын онлайн тегін оқу  Введение в эконометрику

Валентин Юльевич Арьков

Введение в эконометрику

Учебное пособие






12+

Оглавление

Введение

Эконометрика — это построение математических моделей экономических систем по фактическим данным с помощью статистических методов. Это значит, что требуется проводить анализ больших объемов реальных данных. На сегодняшний день такую деятельность часто называют «Наука о данных».

Основные идеи и методы эконометрики изучают в рамках предмета «Математическая статистика». Конечно, при построении моделей здесь нужно учитывать специфику именно экономических процессов.

С другой стороны, математическими моделями также занимается предмет «Математическая экономика». В рамках этой дисциплины рассматривают математические модели — в том числе и как иллюстрацию экономической теории. Иногда эконометрику рассматривают как раздел экономики или математической экономики.

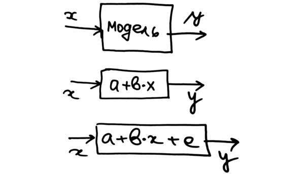
Эконометрика во многом опирается на основной раздел статистики под названием РЕГРЕССИЯ. Это построение линии (и уравнения этой линии) В СРЕДНЕМ по точкам. В эконометрике рассматривается построение парной и множественной, линейной и нелинейной регрессии (без привязки ко времени), а также регрессионных моделей временных рядов. Кроме того, эконометрические модели могут иметь несколько входов и несколько выходов — это системы эконометрических уравнений.

В настоящее время многие пакеты прикладных программ позволяют проводить эконометрические исследования. Для практического знакомства с технологиями эконометрики мы будем использовать электронные таблицы MS Excel. Можно также обратиться к любым другим табличным редакторам, в том числе, к бесплатным.

1. Парная линейная регрессия

1.1. Оформление отчёта

Отчёт о работе оформляется в виде рабочей книги Excel. Саму работу мы тоже выполняем в этой же рабочей книги. Каждое отдельное задание оформляем на новом рабочем листе. Подробности оформления отчёта описаны в работе [1].

Отчёт начинаем, как обычно, с титульного листа. Это первый лист рабочей книги. На титульном листе нужно указать название министерства, ВУЗа, кафедры. Далее идёт тип и название документа. Конечно, нужно указать номер студенческой группы, а также фамилию и инициалы студента. В нижней части титульного листа располагают название города и год.

На втором листе размещают оглавление работы. В нашем случае это название разделов и ссылка на соответствующий лист рабочей книги.

На третьей странице отчёта укажите номер зачетки. Это будут настройки генератора случайных чисел для имитационного моделирования.

Задание. Создайте новый документ Excel и сохраните, выбрав уникальное информативное имя файла.

1.2. Общий план работы

В первой работе мы будем знакомиться с парной линейной регрессией. Напомним, что регрессия — это построение зависимости в среднем по большому количеству точек (исходных данных). Слово «парная» означает, что у нас всего «пара» переменных — «икс» и «игрек». Слово «линейная» указывает, что мы будем строить линейное уравнение, то есть уравнение прямой линии. В линейном уравнении «икс» участвует в первой степени

В качестве исходных данных мы будем использовать результаты имитационного моделирования. Это позволит работать с такими данными, которые заведомо содержат интересующие нас закономерности.

Мы сгенерируем два столбца, в которых будет находиться одна независимая переменная «икс» и одна зависимая переменная «игрек». В этих данных будет заложена линейная взаимосвязь на фоне случайных отклонений — случайный разброс точек вокруг прямой линии.

«Икс» называют независимой переменной — independent variable. Предполагается, что «икс» может меняться как угодно и что он ни от чего в нашей модели не зависит. Другими словами, «икс» — это вход модели.

Изменение «икса» объясняет поведение «игрека». Поэтому «икс» ещё называют «объясняющей» переменной.

«Игрек» выступает в роли зависимой переменной — dependent variable. Он зависит от «икса». Хотя бы частично.

Для моделирования мы используем генератор случайных чисел из надстройки «Анализ данных». Попутно заметим, что полученные случайные числа будут записаны как числовые значения. Они не будут меняться со временем. В других ситуациях нам как раз будет нужно, чтобы случайные числа менялись — тогда мы будем вызывать функцию RAND.

Далее мы рассмотрим методику построения линейной модели, которая описывает наши данные в среднем. Это означает, что на графике линия должна проходить в среднем — по местам сгущения точек.

Кроме уравнения такой линии, нам понадобится определить возможную неопределённость (погрешность) полученных коэффициентов.

Окончательное уравнение должно содержать как коэффициенты, так и их погрешность. Случайную ошибку обычно описывают с помощью «сигмы». Это стандартное отклонение, или среднеее квадратическое отклонение (СКО). Для каждого коэффициента указываем его сигму — под коэффициентом в скобках, см. рис.

Рис. Коэффициенты и их сигмы

Для оценки коэффициентов и их «сигм» в данной работе используем три способа:

— надстройку «Анализ данных»;

— функцию ЛИНЕЙН — LINEST;

— формулы Excel.

Затем нам нужно будет провести интерпретацию полученного уравнения. Мы сформулируем смысл уравнения регрессии в виде высказывания, понятного обычному пользователю.

1.3. Надстройка

Чтобы включить надстройку «Анализ данных», вызовите File — Options.

Рис. Меню «Файл»

В диалоговом окне Excel Options выбираем: Add-ins — Manage — Excel Add-ins — Go, см. рис.

Ставим галочку рядом пунктом AnalysisToolpak — Пакет анализа, см. рис.

Рис. Меню «Надстройки»
Рис. Включение надстройки «Анализ данных»

Если надстройка активирована, можно будет найти кнопку Data Analysis в разделе меню Data — Analysis, см. рис.

Рис. Надстройка в разделе «Анализ»

1.4. Исходные данные

Сгенерируем исходные данные. Наши переменные будут расположены по столбцам.

В данной работе мы сформируем по 100 значений в каждом столбце. Это не слишком много и не слишком мало. С одной стороны, графики будут достаточно наглядными. С другой стороны, рисунки не будут слишком основательно заполнены точками.

Первый столбец — переменная u. Сгенерируйте столбец случайных чисел с равномерным распределением от 170 до 200. Начальное состояние генератора — четыре последние цифры номера зачетки, см. рис.

Рис. Настройки генератора

Далее нам нужно сгенерировать два столбца случайных чисел e1 и e2 со стандартным нормальным распределением. У такого распределения среднее значение MEAN равно нулю, а стандартное отклонение STANDARD DEVIATION равно единице. Сразу задаём генерирование двух столбцов — число переменных равно двум. Начальное состояние генератора — четыре последних цифры номера зачетки плюс 5.

Разные настройки генератора позволят создать независимые случайные числа в разных колонках.

В следующем столбце y введём формулу, как показано на рисунке.

Рис. Формулы по столбцам

В следующем столбце сформируем x. Добавим к значениям u из первого столбца случайный разброс e1.

Наконец, округлим два последних столбца x и y до целых значений с помощью функции ROUND. Эти два столбца X и Y будут имитировать результаты измерений. Когда мы что-то измеряем, всегда появляются случайные погрешности измерений, пускай даже небольшие и незаметные. К тому же, такие параметры тела, как рост и вес, немного меняются даже в течение суток.

Наши «иксы» — это значения роста человека в сантиметрах. «Игреки» — это значения веса в килограммах. Мы закладываем в нашу выборку зависимость веса от роста. Затем добавляем в данные случайный разброс.

Рис. Линейная модель
...