автордың кітабын онлайн тегін оқу Макроэкономика
Информация о книге
УДК 330.101.541(075.8)
ББК 65.012.2я73
Г79
Автор:
Гребенников П. И., доктор экономических наук, профессор, профессор кафедры экономической теории департамента экономики Санкт-Петербургской школы экономики и менеджмента Национального исследовательского университета «Высшая школа экономики». Соавтор 11 изданий учебника «Макроэкономика» в 1997–2017 гг.
Книга содержит систематизированное и взаимосвязанное изложение макроэкономической теории, модернизированной в соответствии с результатами научных дискуссий после мирового финансового кризиса 2007–2009 гг. и практики стабилизационной политики в последующие годы.
УДК 330.101.541(075.8)
ББК 65.012.2я73
© Гребенников П. И., 2021
© ООО «Проспект», 2021
ПРЕДИСЛОВИЕ
Выделение макроэкономики в качестве особого раздела экономической теории явилось следствием Великой депрессии 1929–1933 гг., показавшей несоответствие исходного постулата основоположников политэкономии о нецелесообразности участия государства в функционировании рыночного механизма после перманентного 150-летнего усложнения социально-экономической жизни. В последующие годы стабилизационная политика государства и макроэкономика в качестве ее теоретической основы совершенствовались, взаимодействуя друг с другом, в том числе методом проб и ошибок. Двадцатилетие, предшествовавшее «великой рецессии» 2007–2009 гг., названо экономистами периодом «великой умеренности», во время которого экономика развитых стран росла с незначительными конъюнктурными колебаниями и при низкой инфляции. После «великой рецессии» и всемирно известные авторы учебников, и авторитетные международные организации стали к понятию «макроэкономика» добавлять слово «переосмысление»1.
Экономическая наука совершенствуется по мере более детального и углубленного познания объекта своего исследования и вследствие его изменения во времени, что отличает ее от естественных наук. Примечательной особенностью текущего этапа является активное участие в нем широкого круга студентов. Летом 2012 г. студенты Германии и Великобритании собрались для обсуждения этой проблемы в Тюбингене. Результатом явилось расширяющееся по всему миру студенческое движение Rethinking Economics. В начале 2014 г. возникло объединение «Международная студенческая инициатива за плюралистическую экономику» (The International Student Initiative for Pluralism in Economics — ISIPE). Об этом движении, в частности, сообщала газета The Guardian 5 мая 2014 г.: «Студенты, которые сформировали 41 группу протеста в университетах от Великобритании и США до Бразилии и России2, говорят, что исследования и преподавание на экономических факультетах слишком узко сфокусированы и необходимо приложить больше усилий для расширения учебной программы. Они хотят, чтобы курсы включали анализ финансового краха, который большинство экономистов не смогли предвидеть». Летом того же года эти проблемы студенты обсуждали на конференции в Нью-Йорке, в которой участвовали известные экономисты Пол Кругман, Дейрдра Макклоски, Джеймс Гэлбрейт, Майкл Сэндел и Ричард Вольф. Отклик преподавателей на студенческую жажду обновления экономических учебных курсов проявился в виде созданного по инициативе главного экономиста Банка Англии Энди Холдейна (Andy Haldan) благотворительного фонда CORE Economics Education, обеспечивающего общедоступное бесплатное экономическое дистанционное образование3.
Современная модификация социально-экономической жизни в значительной мере происходит под воздействием двух факторов:
1) доходы, определяющие поведение экономических агентов, формируются не только в результате трудовой деятельности, но и за счет все увеличивающихся объемов имущества и его перераспределения; капитализация фондовых рынков мира сейчас превышает номинальный мировой ВВП в 1,2 раза, а в США — в 1,7 раза;
2) ускоряющаяся и углубляющаяся экономическая глобализация изменяет условия и задачи стабилизационной политики национальных государств, результативность которой зависит от международной координации.
Убедительным признанием экономистами практической значимости более полного представления о мотивах поведения экономических агентов по мере роста благосостояния явилось присуждение Нобелевской премии по экономике 2002 г. профессиональному психологу Даниэлю Кенеману «за применение психологической методики в экономической науке». Д. Кенеман заложил основы нового направления экономических исследований под названием «Поведенческая экономика». Один из наиболее известных разработчиков этого направления экономист Ричард Талер получил Нобелевскую премию по экономике в 2017 г. за «вклад в поведенческую экономику». Популярное изложение ее содержания стало международным бестселлером4.
Как согласовать получение выгод от международного разделения труда, обмена информацией и опытом, не допуская усиления экономического неравенства и финансовых потрясений, — это проблема находится в центре внимания обществоведов разных стран. Результаты их исследований изложены, в частности, в сборнике статей под редакцией президента Ассоциации международных исследований (ISA), профессора университетов Индии, Канады и США Амитавы Ачарья5. Для решения практических проблем, возникающих в ходе социально-экономической глобализации, с 2008 г. проходят ежегодные саммиты руководителей стран «Большой двадцатки».
Задача данного учебника — показать студентам экономических специальностей, в какой мере эти и другие обстоятельства нашли отражение в переосмыслении макроэкономики к началу 3-го десятилетия XXI века.
Автор с благодарностью примет пожелания и рекомендации относительно содержания и методики изложения материала по адресу: petrgrebennikov@yandex.ru.
[4] Талер Р., Санстейн К. Nudge. Архитектура выбора. М., 2017.
[3] https://core-econ.org/the-economy.
[2] Российских студентов представляет студенческий клуб МГИМО Economic Club MGIMO Oeconomicus.
[1] Sachs J. D. Rethinking Macroeconomics // Capitalism and Society. 2009. January. Vol. 4. Issue 3; Blanchard O., Dell’Ariccia G., Mauro P. Rethinking Macroeconomic Policy // IMF. 2010. February.
[5] Why Govern? Rethinking Demand and Progress in Global Governance. American University, Washington DC, 2016.
Глава 1.
ПРЕДМЕТ И МЕТОД МАКРОЭКОНОМИЧЕСКОГО АНАЛИЗА
1.1. Макроэкономика и ее предназначение
В середине ХХ в. в экономической теории, описывающей процессы общественного производства, распределения и использования материальных благ в мире ограниченных ресурсов, выделилось два раздела, различающихся по предмету и методам исследования, — микроэкономика и макроэкономика.
Микроэкономический анализ направлен на изучение поведения отдельных экономических субъектов (домашних хозяйств, фирм), выявление условий, обеспечивающих совместимость их хозяйственных планов, и описание механизма согласования совокупности индивидуальных целей субъектов национальной экономики. В современной экономике это согласование в значительной степени осуществляется посредством рыночного ценообразования благ и факторов производства. Поэтому механизм рыночного ценообразования, посредством которого при заданных производственных возможностях и предпочтениях потребителей достигается общее равновесие на отраслевых рынках, составляет ядро микроэкономики.
Объектом макроэкономического анализа является национальная экономика как единое целое. В макроэкономике исследуются процессы, определяющие объем национального дохода, уровень безработицы, темп инфляции, причины экономических циклов, закономерности экономического роста и роль государства в этих процессах.
На выделение макроэкономики в качестве особого раздела экономической науки в значительной мере повлияла Великая депрессия 1929–1933 гг. — экономический кризис, затронувший практически все развитые страны Запада. Признанный основоположник макроэкономики Дж. М. Кейнс принимал активное участие в анализе возникших в ходе кризиса социально-экономических проблем и выработке рекомендаций по их разрешению.
Плодотворному развитию макроэкономики способствовало развитие в ХХ в. эмпирических исследований функционирования национальных экономик и разработка инструментов для оценки народнохозяйственных результатов. Развитие макроэкономики происходило в тесной взаимосвязи с развитием статистики, эконометрики и системы национального счетоводства.
Основной практический вывод макроэкономики сводится к признанию экономической роли государства не только в производстве общественных благ и регулировании внешних эффектов, возникающих при производстве частных благ, но и в поддержании устойчивого функционирования и развития рыночной экономики посредством системы мероприятий, включаемых в понятие «стабилизационная политика», теоретической основой которой является макроэкономика.
Результат функционирования национальных экономик в значительной степени определяется проводимой в стране экономической политикой, которая в демократических государствах основывается на признаваемой большей частью граждан экономической парадигме. Поэтому благосостояние людей непосредственно зависит от их экономической просвещенности. Один из выдающихся экономистов XX в. Людвиг фон Мизес обратил на это внимание в своем главном научном произведении еще в конце 1930-х гг.: «Присоединяясь к политической партии и заполняя избирательный бюллетень, гражданин занимает определенную позицию по отношению к важнейшим экономическим теориям. Никому не удастся уклонится от личной ответственности. Если кто-то пренебрегает тем, чтобы в меру своих способностей изучить связанные с этим проблемы, то это означает, что он добровольно уступает свое неотъемлемое право самозваной элите сверхчеловеков. Слепая надежда на “экспертов” и некритическое восприятие популярных лозунгов и предрассудков в таких жизненно важных вопросах равносильно отказу от самоопределения и согласию на доминирование других людей. В нынешних обстоятельствах нет ничего более важного для каждого мыслящего человека, чем экономическая наука. На карту поставлены его собственная судьба и судьба его детей. Мало кто способен внести значительный вклад в экономическое знание. Но все разумные люди должны ознакомиться с учениями экономической теории. В нашу эпоху в этом заключается главный гражданский долг»6. Сегодня, когда демократические страны поразил «вирус популизма»7, это указание представляется еще более актуальным. В своей лекции при вручении Нобелевской премии по экономике 2001 г. Джозеф Стиглиц напомнил о том, что «в центре внимания основных политических дискуссий последних двадцати лет находился единственный ключевой вопрос — эффективность рыночной экономики и соответствующая взаимосвязь между рынком и государством»8. Этим озабочены не только профессиональные экономисты. «Меня, например, интересует вопрос, сколько нужно государства в нашей стране, чтобы не умерла социалка, но вместе с тем чтобы развивалась современная экономика. Это ведь очень точные вещи. Сколько его вообще нужно? Тут много очень проблем, и я об этом думаю, читаю книжки по экономике на старости лет. Мне это очень интересно. И вам предлагаю подумать, потому что все не так просто», — признался популярный российский бард Юрий Шевчук в передаче «Дифирамб» на радио «Эхо Москвы» 11 марта 2012 г.
Необходимость широкого распространения экономических знаний диктуется и более приземленными причинами. В настоящее время для разработчиков экономической политики одним из основных индикаторов экономической конъюнктуры является «Индекс потребительской уверенности» (Consumer Confidence Index, CCI), рассчитываемый ежеквартально на основе опроса статистически значимого контингента взрослого населения об общей экономической ситуации и личном материальном положении. Чем глубже респонденты понимают экономические процессы, тем полезней их ответы для принятия правильного решения инвесторами и политиками.
На другой аспект значимости экономической науки для формирования мировоззрения цивилизованного человека еще в XIX в. обратил внимание английский экономист Генри Маклеод: «Война есть величайшее бедствие для человечества; зато политическая экономия есть самый могучий противник войны. Когда все выводы нашей науки будут ясно поняты и все доктрины ее получат доступ в сознание большинства людей, она приведет к тому, что весь мир из бойни и мясной лавки превратится в сад изобилия и благосостояния. Как унизительна для человеческой гордости мысль, что в течение жизни шести поколений люди представляли собой шайки покровительствуемых законом убийц, что один народ стоял против другого постоянно с оружием в руках, что самые могущественные государства были доведены до упадка, и бедность, и разорение водворились у каждого очага в Европе. Нет ни одного столь сильного рычага для подавления варварства и облагораживания человечества, как правильная система политической экономии. Скорее, чем все другие причины, вместе взятые, она приблизит наступление той поры, когда не будет уже более раздаваться грохот пушек и когда сабли начнут ржаветь в ножнах. Когда только вполне убедятся люди, что интересы всего человечества связаны с поддержанием мира и что каждый народ заинтересован в благополучии своих соседей, что несчастья каждого народа вредно отражаются на интересах других народов, — тогда, мы надеемся, тучи войны перестанут висеть на горизонте»9. В XXI в. об этом напомнил лауреат Нобелевской премии по экономике Пол Кругман: «Для современной богатой страны война — даже легкая победоносная война — не окупается. Например, по любой оценке, возможные затраты (включая такие вещи, как помощь ветеранам) войны в Ираке в конечном итоге превысят 1 трлн долл., то есть во много раз больше всего ВВП Ирака»10. На то, что вследствие все более широкого распространения экономических знаний «в XXI столетии найдется не так много людей, которые полагали бы, что Европе было бы экономически выгодно завоевать США или наоборот», — обращает внимание другой лауреат Нобелевской премии по экономике Роберт Шиллер11. В обострении международной напряженности могут быть заинтересованы «популисты» для отвлечения от последствий своих некомпетентных и ущербных в долгосрочной перспективе решений наподобие выхода Великобритании из Европейского союза и США из Парижского соглашения о предотвращении угрозы глобального потепления.
1.2. Особенности макроэкономического анализа
Агрегирование. В макроэкономике используют агрегированные параметры. При макроэкономическом анализе в национальном хозяйстве выделяют лишь четыре экономических субъекта: сектор домашних хозяйств, предпринимательский сектор, государственный сектор и остальной мир. Каждый из этих секторов представляет собой совокупность реальных хозяйственных субъектов.
Сектор домашних хозяйств включает все частные хозяйственные ячейки внутри страны, деятельность которых направлена на удовлетворение собственных потребностей. Все факторы производства находятся в частной собственности домашних хозяйств. За счет их продажи или предоставления в аренду последние получают доход в виде заработной платы и прибыли, который распределяют между текущим потреблением и сбережением. Следовательно, домашние хозяйства проявляют три вида экономической активности: предлагают факторы производства, потребляют часть получаемого дохода, покупая потребительские блага, и сберегают другую его часть, приобретая ценные бумаги и недвижимость.
Предпринимательский сектор представляет собой совокупность всех фирм, функционирующих внутри страны. Их деятельность сводится к закупке факторов производства, продаже произведенной продукции и услуг, поддержанию и развитию производственной базы (инвестирование).
Государственный сектор — это все государственные органы и учреждения. Государство занимается производством общественных благ, которые, в отличие от благ, производимых в предпринимательском секторе, достаются потребителю «бесплатно», т. е. без непосредственной оплаты каждой потребляемой их единицы; их производство финансируется за счет налогов и государственных займов. К числу важнейших благ такого рода относятся национальная безопасность и правоохранительная деятельность, достижения фундаментальной науки, услуги государственных социальной и производственной инфраструктур, а также социально-экономические институты (правила игры, которые определяют взаимоотношения между людьми), обеспечивающие наиболее благоприятные условия для ведения хозяйственной деятельности. Результаты деятельности государства как производителя общественных благ проявляются в увеличении продуктивности предпринимательского сектора и снижении затрат на потребление домашних хозяйств.
Для производства общественных благ государство закупает в качестве средств производства блага, созданные в предпринимательском секторе. Затраты на покупку благ вместе с затратами на оплату труда государственных служащих в дальнейшем будем называть государственными расходами. В расходной части государственного бюджета значительную часть составляют выплаты домашним хозяйствам (государственные пенсии и пособия) и предпринимателям (дотации и субвенции). Их будем учитывать в качестве отрицательных налогов. Одной из важнейших экономических функций государства в лице его центрального (государственного) банка является поддержание стабильности денежной системы страны.
Таким образом, экономическая активность государства как макроэкономического субъекта проявляется в расходовании бюджета, взимании налогов и поддержании устойчивой денежной системы.
Сектор остальной мир — совокупность иностранных фирм и государственных органов. Воздействие остального мира на отечественную экономику происходит через обмен товарами, национальными валютами, перелив капиталов и миграцию рабочей силы.
Кроме названных видов экономической активности каждый из перечисленных макроэкономических субъектов взаимодействует с другими посредством кредитования и заимствования.
В макроэкономическом анализе агрегируются не только физические и юридические лица, но и их поведение в хозяйственной жизни. Совокупность микроэкономических функций спроса и предложения заменяется макроэкономическими функциями, отражающими поведение макроэкономических субъектов. Макроэкономические агрегаты обладают свойством эмерджентности: последствия деятельности макроэкономического субъекта могут не совпадать с последствиями такой же деятельности агрегированных микроэкономических субъектов. Так, если во время экономического спада фирма воздерживается от реальных инвестиций, то это способствует сохранению ее капитала. Но если все фирмы поступают таким же образом, то депрессия затянется и в результате совокупный капитал и капитал каждой фирмы обесценятся. Для отдельного домашнего хозяйства ценные бумаги (облигации, акции) составляют часть его реального имущества; в то же время сумма всех обращающихся в стране отечественных ценных бумаг есть фиктивный капитал, представляющий собой финансовое обязательство одних граждан перед другими.
Макроэкономическое агрегирование распространяется и на рынки. Все множество рынков отдельных благ, являющееся предметом изучения микроэкономического анализа, в макроэкономике объединяется в единый рынок блага, на котором покупается и продается только один вид благ, использующийся и как предмет потребления, и как средства производства (реальный капитал). Вследствие свертывания всего множества реальных благ в одно абстрактное благо исчезает микроэкономическое понятие цены блага как пропорции обмена одного товара на другой. Предметом изучения становятся формирование уровня цен и его изменение.
Для анализа процесса и последствий заимствования и кредитования вводится понятие рынок денег, на котором в результате взаимодействия спроса и предложения формируется цена денег — ставка процента.
Рынки факторов производства в макроэкономических моделях представлены рынком труда и рынком капитала. На первом в результате взаимодействия спроса и предложения определяется уровень занятости; на втором сбережения трансформируются в инвестиции. Поскольку это происходит посредством покупки ценных бумаг (облигаций, акций) и открытия сберегательных счетов в банках, то рынок капитала называют также рынком ценных бумаг. Рынок денег и рынок капитала объединяются в единый рынок финансов. Рынок блага и рынок труда вместе образуют реальный сектор экономики, а рынок финансов — ее монетарный сектор.
Очевидными издержками макроэкономического агрегирования являются частичная потеря информации и повышенный уровень абстракции экономических исследований. Однако высокий уровень абстракции — осознанный прием макроэкономического анализа, соответствующий его целям. Так, микроэкономическое наблюдение за домашним хозяйством преследует цель выяснить, почему спрос одного индивида отличается от спроса другого; в результате оказывается, что на это влияет большое число факторов: доход, индивидуальные предпочтения, возраст, семейное и социальное положения, место жительства и др. При изучении сектора домашних хозяйств в макроэкономике главная цель — это объяснить колебания объема потребительского спроса во времени; в этом случае все перечисленные факторы, кроме дохода и накопленного имущества, взаимно нейтрализуются в ходе агрегирования. Анализируя развитие экономической теории после появления макроэкономики, профессор Нью-Йоркского университета Уильям Баумоль отметил: «Созидательная сила макроэкономики заключена в верности методу сверхупрощения, который используется для получения конкретных выводов. Прийти к таким выводам на основе применения более сложных моделей либо значительно труднее, либо вообще невозможно. Макроэкономика вполне оправдала возложенные на нее ожидания, предложив экономистам и политикам такие анализ и объяснение процессов, какими они совершенно не располагали ранее. Однако именно метод сверхупрощения, который сделал реальными такие успехи макроэкономики, требует наивысшей осторожности, когда речь идет о том, чтобы полагаться на ее выводы и использовать их на практике. Они должны быть тщательно маркированы надписью “обращаться осторожно”, дабы предостеречь пользователя, поскольку неправильное применение данных выводов может нанести вред здоровью экономики»12. Чтобы агрегированные категории не потеряли экономического смысла и научной ценности, необходимо соблюдать определенные правила их построения, которые разрабатываются в системе национального счетоводства под руководством ООН, МВФ, ОЭСР, Всемирного банка и Европейской комиссии.
Моделирование макроэкономических взаимосвязей. Схематически экономические связи между макроэкономическими субъектами представлены на рис. 1.1. Между государством и частным сектором кроме опосредованных рынками существуют прямые потоки чистых налогов.
Упрощение экономической действительности до обозримого числа наиболее существенных взаимосвязей составляет основу макроэкономического моделирования, посредством которого осуществляют соответствующий анализ. Какие взаимосвязи считать существенными, зависит от цели исследования. Так, при выяснении сущности инфляции в центре внимания оказываются динамика денежной массы, издержек производства и обменного курса валют, а при изучении механизма экономического роста — инвестиции, темпы роста трудовых ресурсов и технический прогресс. Профессор экономического факультета Нью-Йоркского университета А. Рубинштейн удачно сравнил экономическую модель с басней: «Басня — это воображаемая ситуация, находящаяся где-то посередине между фантазией и реальностью. Любую басню можно отвергнуть как нереалистичную или упрощенную, но в этом и состоит ее преимущество. Находясь между фантазией и реальностью, басня свободна от посторонних деталей и утомительных отступлений»13. Пол Кругман уподобил уравнения и диаграммы в экономической теории строительным лесам, необходимым для построения интеллектуального сооружения. После того как оно до определенного уровня построено, леса убирают, а описание сущности созданной конструкции излагают самым простым и доступным языком.
Рис. 1.1. Схема взаимодействий между макроэкономическими субъектами:
1 — предложение благ; 2 — спрос на блага домашних хозяйств;
3 — спрос на инвестиции; 4 — спрос на блага государства; 5 — экспорт; 6 — импорт;
7 — предложение труда; 8 — спрос на труд; 9 — налоги;
10 — заимствование и кредитование
Моделируемые взаимосвязи и процессы описываются в виде системы уравнений. Модель исследуемого объекта включает в себя две группы элементов: известные к моменту ее построения параметры и неизвестные величины, которые надо установить в результате анализа (решения) модели. Элементы первой группы называют также экзогенными (их определяют вне модели), а второй — эндогенными (их рассчитывают внутри модели) параметрами. Построить модель функционирования некоторой системы — значит отыскать или постулировать оператор (функцию), связывающий неизвестные и известные ее параметры. При построении макроэкономических моделей обычно используют четыре типа функциональных уравнений.
1. Поведенческие функции, выражающие сложившиеся в обществе предпочтения. Так, выявленную закономерность распределения домашними хозяйствами своего дохода между потреблением (C) и сбережением (S) можно представить в виде функций: C = C(y) и S = S(y).
2. Функции, характеризующие технологические условия производства, т. е. зависимость между количеством используемых факторов производства (труда N и капитала K) и максимально возможным выпуском: y = y (N, К).
3. Институциональные функции, представляющие установленные правилами зависимости между параметрами модели. Например, сумма налоговых поступлений (T) есть функция от величин дохода (y) и установленной государством ставки подоходного налога (ty): T = tyy.
4. Дефиниционные функции, выражающие зависимости, которые соответствуют вербальному определению экономических явлений. Например, под совокупным спросом на рынке благ (yD) подразумевают потребительский спрос домашних хозяйств (C), инвестиционный спрос предпринимательского сектора (I), государства (G) и остального мира (E). Это определение можно представить в виде тождества yD = C + I + G + E.
К экзогенным данным макроэкономических моделей относятся технология производства в виде производственной функции и поведение экономических субъектов на каждом из рынков в виде их функций спроса и предложения. Эндогенными показателями, получаемыми в результате анализа модели, являются величина национального дохода, уровень занятости, ставка заработной платы, ставка процента и уровень цен.
По способу измерения экономических показателей во времени их делят на потоки и запасы. Показатели потока представляют величину, сформировавшуюся за определенный промежуток времени: выпуск за месяц, заработная плата за неделю. Запас — это количество на определенный момент времени: капитал фирмы, государственный долг.
В зависимости от того, в какой мере при исследовании экономических явлений учитывается время, различают три вида анализа: а) статический — оценка текущей экономической конъюнктуры, б) короткого периода — оценка последствий изменения текущих экзогенных факторов, в) длительного периода — выявление тенденций экономического развития и факторов его определяющих. В коротком и длительном периодах важно учитывать взаимодействие потоков и запасов. Процесс перехода экономики из одного состояния в другое исследуют посредством динамических моделей, в которых переменные разных периодов времени взаимодействуют друг с другом.
1.3. Исходные понятия
Своеобразие предмета и методов макроэкономического анализа обусловливает использование в макроэкономике понятий, не встречающихся в микроэкономике. Они будут вводиться постепенно на протяжении всего учебного курса. В этом параграфе раскрывается содержание некоторых исходных макроэкономических категорий.
В качестве обобщающих показателей результатов функционирования национальной экономики за определенный период применяются такие агрегаты, как валовой внутренний продукт (ВВП), валовой национальный продукт (ВНП), чистый национальный продукт (ЧНП), национальный доход (НД) и располагаемый доход (РД).
Валовой внутренний продукт — это сумма добавленных ценностей, созданных за определенный период всеми производителями, осуществляющими производство на территории страны. При этом под добавленной ценностью понимается разность между выручкой от продажи продукции и затратами на закупку материалов, полуфабрикатов, услуг. Поскольку услуги государства не получают ценностной оценки, то его вклад в создание ВВП измеряется величиной заработной платы, выплаченной государственным служащим.
Валовой национальный продукт — это ВВП минус сумма добавленных ценностей, созданных на территории страны посредством использования факторов производства, принадлежащих иностранным гражданам, плюс сумма добавленных ценностей, произведенных за границей за счет факторов, принадлежащих гражданам данной страны. В полностью закрытой экономике ВВП равен ВНП.
Чистый национальный продукт — это ВНП за вычетом амортизации. Последняя представляет собой эквивалент величины обесценения основного производительного капитала за период.
При определении всех перечисленных показателей результативности функционирования национальной экономики используют рыночные цены. Из микроэкономики известно, что рыночные цены благ без остатка раскладываются на факторные доходы: заработную плату, процент, ренту и предпринимательский доход. Но так обстоит дело только в том случае, если государство не прибегает к косвенным налогам и субвенциям. Первые повышают цену конечной реализации, вторые снижают ее. Поэтому, чтобы узнать величину созданного за период национального дохода — сумму всех факторных доходов, надо из ЧНП, измеренного в ценах реализации, вычесть косвенные налоги и прибавить субвенции. Иначе говоря, национальный доход есть ЧНП, измеренный в «очищенных» ценах факторов производства, которые являются расчетными величинами и не используются в рыночных сделках. Чистый национальный продукт в рыночных ценах можно рассматривать как сумму результатов экономической деятельности частного сектора (национальный доход) и государства (сальдо косвенных налогов и субсидий).
Кроме косвенных государство взимает прямые налоги и социальные отчисления с доходов домашних хозяйств и фирм, а также осуществляет социальные выплаты и субсидирует некоторые виды производства. Если из НД вычесть прямые налоги и отчисления и прибавить субсидии производству, то получится наиболее интересный для потребителей показатель — их располагаемый доход.
В некоторых случаях, например, для определения стоимости всей произведенной за период продукции используется показатель совокупный общественный продукт (СОП) или валовой выпуск. СОП превышает ВНП на величину промежуточного продукта (ПП), под которым подразумевают ценность товаров и услуг, потребленных в процессе производства ВНП.
Все перечисленные показателя являются потоковыми величинами. Основным экономическим показателем запаса является имущество — имеющиеся на данный момент материальное и финансовое богатство (wealth). Основными видами имущества являются производительный (реальный) капитал, земля, жилые дома, ценные бумаги, лицензии и патенты и др. Денежная оценка имущества представляет собой дисконтированную сумму ценностей ожидаемых от него доходов. Имущество образуется в результате сбережения части дохода. В настоящее время в большинстве стран ценность имущества в расчете на взрослого человека превышает приходящийся на него годовой ВВП (см. табл. 1.1). Поэтому объем потребления домашних хозяйств зависит не только от дохода, но и от имущества.
Таблица 1.1
ВВП и имущество домашних хозяйств в расчете на одного взрослого старше 18 лет по отдельным странам в 2019 г. (долл. США)
| Страна |
ВВП |
Имущество |
Страна |
ВВП |
Имущество |
| Швейцария |
102,8 |
564,7 |
Италия |
42,2 |
234,1 |
| США |
85,3 |
432,4 |
Германия |
58,8 |
216,7 |
| Канада |
59,2 |
294,3 |
Финляндия |
63,6 |
183,1 |
| Англия |
55,2 |
280 |
Китай |
12,7 |
58,5 |
| Франция |
55,7 |
276,1 |
Россия |
14,5 |
27,4 |
| Норвегия |
105,7 |
267,3 |
Индия |
3,3 |
14,6 |
Источник: Global wealth databook 2019 // Research Institute. 2019. October. Credit Suisse. P. 21–22.
Выступая 23 марта 2021 г. на XVI Международном финансовом форуме, первый заместитель председателя ЦБР Сергей Швецов сообщил, что на данный момент 20% финансовых накоплений граждан РФ вложено в акции и облигации14.
Совокупность частного и государственного имущества, включая человеческий капитал, образует национальное богатство (НБ). С 2006 г. национальное богатство разных стран по единой методологии рассчитывает Всемирный банк. По динамике ВВП оценивается экономический рост, а по величине национального богатства можно судить о перспективах роста в долгосрочном периоде. Отношение ВВП / НБ является своеобразным показателем эффективности использования национального богатства. В табл. 1.2 приведены данные Всемирного банка о национальном богатстве в России и странах ОЭСР в 2017 г.
Таблица 1.2
Показатели национального богатства России и стран ОЭСР
| Страна |
НБ на душу ($) |
ВВП/НБ (%) |
Структура НБ (капитала) (%) |
||
| Человеческий |
Произведенный |
Природный |
|||
| Россия |
200 |
6,6 |
46 |
34 |
20 |
| ОЭСР |
750 |
6,6 |
70 |
27 |
3 |
Источник: Насколько богата Россия? // Всемирный банк в РФ. 2019. С. 7–8.
Одним из наиболее часто используемых в макроэкономике показателей является уровень цен, который не тождественен индексу цен. Под первым понимают денежную оценку блага (или корзины благ), служащего масштабом цен. Второй отображает изменение уровня цен только в том случае, если между двумя рассматриваемыми моментами времени относительные цены всех благ остались неизменными. Рассмотрим это подробнее.
Уровень цен используют для пересчета денежных (номинальных) величин экономических параметров в их реальные значения. Реальное значение макроэкономического показателя — это не натуральная, а ценностная величина, выраженная в неизменных (базовых) ценах. Оно определяется путем деления номинального значения, выраженного в текущих ценах, на уровень цен. Так, для определения величины реального национального дохода надо его величину, подсчитанную в текущих ценах, разделить на уровень цен; номинальная заработная плата, деленная на уровень цен, равна ее реальной сумме. Если разделить некоторую сумму денег на уровень цен, то получим величину реальных кассовых остатков, которая показывает, сколько благ можно купить на данную сумму денег.
Поскольку по мере развития экономики меняется соотношение между количествами обращающихся товаров и денег, то уровень цен со временем изменяется. Отношение уровней цен текущего (P1) и базового (P0) периодов служит мерой изменения уровня цен за период. Запишем это отношение в трех тождественных формах:
Показатель (1) называется индексом Ласпейреса. Он соответствует изменению уровня цен только при неизменных относительных ценах. Но так как статистики их изменения нет, то индекс Ласпейреса используется при измерении изменения стоимости жизни посредством индекса потребительских цен (ИПЦ). В этом случае qi представляют стандартную потребительскую корзину благ, на основе которой рассчитывается величина прожиточного минимума. Посредством ИПЦ измеряют темп инфляции.
При анализе факторов роста ВВП используется индекс Пааше:
который показывает, в какой мере динамика ВВП обусловлена изменением уровня цен, и называется дефлятором. ИПЦ и дефлятор тем точнее представляют изменение уровня цен, чем короче промежуток времени между двумя моментами измерения.
Какой из индексов цен использовать в качестве эквивалента уровня цен при практических пересчетах номинальных денежных показателей в реальные экономические величины, зависит от сущности показателя: для определения реальной заработной платы обычно применяют индекс потребительских цен, а для расчета реального ВВП или национального богатства — дефлятор ВВП.
Ускоренное развитие НТП на рубеже ХХ и ХХI вв. сопровождалось опережающим повышением качества продукции по сравнению с затратами на нее. Особенно ярко это проявилось в изготовлении оргтехники, но в производстве других благ наблюдается такая же тенденция. В результате ИПЦ, рассчитываемый по традиционной методике, перестал достоверно отображать изменение ценности потребительской корзины, дезориентируя хозяйственную практику: завышенными оказываются прибавки к заработной плате и пособиям по безработице, необоснованно повышается ставка процента и снижается курс ценных бумаг. Для изучения этой проблемы и выработки необходимых практических рекомендаций Конгресс США в 1996 г. учредил специальную комиссию, которую возглавил профессор экономики Стэндфордского университета Майкл Боскин. После года работы она пришла к детально обоснованному выводу15, что в середине 1990-х гг., когда среднегодовой ИПЦ в США равнялся 3%, на завышение приходилось 1,1%, а фактический рост стоимости жизни составлял лишь 1,9%. Поэтому с 1999 г. ИПЦ в США стал исчисляться не по рыночным, а по гедонистическим ценам, учитывающим изменение качества товаров, что привело к снижению официального показателя инфляции почти на четверть. В результате этого в последующие 10 лет бюджетные расходы сократились почти на 1 трлн долл., а граждане стали меньше платить за кредиты; но и государственные пособия сократились. Статистические ведомства других стран пока используют традиционный метод определения ИПЦ; это нужно принимать во внимание при межстрановом сравнении инфляции. ИПЦ, исчисленный с учетом изменения качества товаров потребительской корзины, может оказаться и выше индекса рыночных потребительских цен. Так, в 2014 г. после введения взаимного торгового эмбарго между ЕС и Россией темп инфляции в России почти удвоился; но при расчете по гедонистическим ценам он оказался бы выше, так как качество большинства отечественных товаров было ниже импортируемых.
Приложение. Не отправить ли ВВП в отставку?
По мере расширения ассортимента производимых благ и разнообразия видов хозяйственной деятельности возникла неудовлетворенность ВВП в качестве обобщающего показателя результата функционирования национальных экономик. Общественные блага, доля которых в общей совокупности производимых услуг постоянно увеличивается, включаются в ВВП в размере государственных затрат на их производство, которые меньше их полезности. Кроме производства для продажи в большинстве стран и сегодня существует производство для собственного потребления, результаты которого рынок не оценивает. Как отметил еще более полувека назад в своем популярном учебнике П. Самуэльсон: «Услуги жены — домашней хозяйки никогда не учитываются в составе ВВП. Следовательно, если человек женится на своей экономке, то размеры ВВП могут снизиться! Или если бы моя жена договорилась с соседкой об уборке друг другу домов и они платили бы за это друг другу по 4 тыс. долл. в год, тогда ВВП вырос бы на 8 тыс. долл.»16. То, что изменение семейного статуса действительно может повлиять на величину ВВП, показывают результаты статистических обследований британских семей в 2012 г., после изучения которых экономический обозреватель газеты The Guardian делает вывод: «Сегодня есть экономический смысл в том, чтобы убедить народ жить в одиночестве. Одиночки потребляют на 38% больше продуктов, на 42% больше упаковочного материала, на 55% больше электричества и на 61% больше газа на человека, чем семьи из 4 человек»17.
В 2008 г. президент Франции Николя Саркози попросил лауреата Нобелевской премии по экономике 2001 г. Джозефа Стиглица создать комиссию с целью определения возможностей получения более точной оценки результатов функционирования национальных экономик. Отчетный доклад этой комиссии, получившей название «Комиссия по измерению эффективности экономики и социального прогресса», на русском языке опубликовал государственный НИИ системного анализа Счетной палаты РФ.
Основной вывод из работы комиссии состоит в том, что «пришло время переместить акцент в нашей системе измерения с измерения экономического производства на измерение благосостояния людей. Измерение благосостояния должно быть увязано с устойчивостью развития. Изменение акцента не означает отказ от ВВП и показателей производства, которые продолжают играть важную роль в мониторинге экономической деятельности. Но перенос акцента на показатели благосостояния важен потому, что растет разрыв между информацией, содержащейся в агрегированных данных по ВВП, и тем, что действительно значимо для благосостояния простых людей. Это означает необходимость создания статистической системы, которая дополняла бы показатели деятельности рынка показателями благосостояния людей и показателями устойчивого развития. Такая система должна, по необходимости, быть многомерной, включать целый спектр различных показателей, потому что никакой единый показатель не может адекватно отразить такое сложное явление, как благосостояние членов общества»18.
В июне 2012 г. в Рио-де-Жанейро состоялась Конференция ООН по устойчивому развитию с участием представителей 192 стран. Она приняла итоговый документ под названием «Будущее, которое мы хотим», в котором п. 38 гласит: «Мы признаем необходимость разработки более широких показателей оценки прогресса в дополнение к показателям валового внутреннего продукта, чтобы принимать более взвешенные стратегические решения, и в этой связи просим Статистическую комиссию ООН в консультации с соответствующими структурами системы ООН и другими соответствующими организациями приступить к осуществлению программы работы в этой области, опираясь на уже существующие инициативы».
ООН не только призывает, но уже действует в этом направлении. С 1990 г. она публикует «Индекс человеческого развития» (ИЧР) стран мира, при построении которого наряду с ВВП надушу учитываются ожидаемая продолжительность жизни и уровень грамотности населения. Концепцию построения ИЧР разработал индийский экономист Амартия Сен, получивший Нобелевскую премию по экономике в 1998 г. за вклад в экономику благосостояния.
16–17 сентября 2016 г. комитет по экономике при правительстве и парламенте Швеции собрал в Стокгольме 13 ведущих экономистов мира, включая Джозефа Стиглица и четырех бывших главных экономистов Всемирного банка, для обсуждения текущей экономической конъюнктуры и выработки рекомендаций проводникам экономической политики. Они были представлены в виде 8 общих принципов19, в первом из которых отмечается, что рост ВВП должен рассматриваться как средство для достижения цели, а не самоцелью.
С 2017 г. в преддверии ежегодного Всемирного экономического форума в Давосе оргкомитет публикуется Индекс инклюзивного развития (Inclusive Development Index, IDI), который наряду с производственными результатами учитывает их инклюзивность: коэффициент расслоения общества по доходу и имуществу, государственный долг в процентах к ВВП как показатель межпоколенческого равенства, природозащитные мероприятия.
Таблица 1.3
ВВП на душу населения и альтернативные показатели результативности национальных экономик
| Страны |
ВВП на душу ($) |
Индексы |
||
| ИЧР |
ИИР |
ИС |
||
| Швейцария |
70 986 |
0,946 |
6,05 |
7,56 |
| Норвегия |
66 830 |
0,954 |
6,08 |
7,448 |
| США |
65 143 |
0,92 |
4,6 |
6,94 |
| Дания |
60 195 |
0,93 |
5,81 |
7,646 |
| Нидерланды |
59 513 |
0,933 |
5,61 |
7,449 |
| Австрия |
58 943 |
0,914 |
5,35 |
7,294 |
| Германия |
56 305 |
0,939 |
5,27 |
7,076 |
| Австралия |
55 962 |
0,938 |
5,36 |
7,223 |
| Швеция |
55 856 |
0,937 |
5,76 |
7,353 |
| Россия |
29 175 |
0,824 |
4,2 |
5,546 |
Источники: World Happiness Report 2020; Human Development Report 2019;
The Inclusive Development Index 2018.
Обратим внимание еще на один показатель, публикуемый ООН с 2012 г., — «Индекс счастья» (Ranking of Happiness). Кроме показателей ВВП на душу и ожидаемой продолжительности здоровой жизни при его построении используются ответы жителей страны на вопросы: чувствуют ли они поддержку родственников и соседей, в какой мере, по их мнению, в стране распространена коррупция, насколько они свободны в критике властей, участвуют ли в благотворительности, насколько продолжительны у них ощущения счастья.
В табл. 1.3 кроме традиционного показателя экономической результативности национальных экономик приведены альтернативные индикаторы: индексы человеческого развития (ИЧР), инклюзивности развития (ИИР), счастья (ИС) по ряду стран ОЭСР и России. Приведенные в ней данные свидетельствуют о том, что критические замечания, высказываемые в адрес ВВП, не исключают возможности его дальнейшего использования для оценки эффективности хозяйственной деятельности.
Краткие выводы
Макроэкономика — раздел современной экономической науки, служащий теоретической основой определения роли государства в организации и координации экономической жизни страны. Необходимость участия государства в функционировании национальной экономики возрастает по мере усложнения в ходе исторического развития социально-экономической структуры общества. Чтобы экономическая деятельность государства была направлена на повышение благосостояния всех участников общественного производства, необходим контроль за этой деятельностью со стороны экономически образованного гражданского общества.
Объектом макроэкономического исследования служат взаимодействия между четырьмя секторами: домашних хозяйств, предпринимателей, государства и остального мира.
Основным методом макроэкономического анализа является построение экономико-математических моделей с использованием агрегированных показателей, измеряющих величины потоков и запасов. В настоящее время с макроэкономическими категориями, представляющими результаты общественного производства и их распределение, люди встречаются ежедневно в сообщениях средств массовой информации. Понимание их сущности — необходимое условие правильной оценки текущей экономической конъюнктуры.
[19] Stockholm Statement. Towards a consensus on the principles of policy-making for the contemporary world.
[18] Доклад комиссии по измерению эффективности экономики и социального прогресса. М., 2010. С. 13.
[17] Перевод из: РГ. 2012. 13 сент.
[16] Самуэльсон П. Экономика. Т. 1. М., 1992. С. 197.
[15] Gordon R. J. The Boskin Commission Report: A Retrospective One Decade Later // International Productivity Monitor. 2006. Nо. 12.
[14] https://ru.investing.com/news/stock-market-news/article-2042961
[13] Рубинштейн А. Дилеммы экономиста // Вопросы экономики. 2008. № 11. С. 80.
[12] Баумоль У. Чего не знал А. Маршалл? // Вопросы экономики. 2001. № 2. С. 81.
[11] Шиллер Р. Финансы и хорошее общество. М., 2012. С. 460.
[10] Krugman P. Why We Fight Wars // The New York Times. 2015. Aug. 17.
[9] Маклеод Г. Д. Основания политической экономии. СПб., 1865. С. 18–19.
[8] Stiglitz J. E. Information and the Change in the Paradigm in Economics, Les Prix Nobel // The American Economic Review. Vol. 92, No. 3. 2002. Р. 472.
[7] Согласно исследованию, проведенному Chatham House в 2017 г., 45% опрошенных европейских политиков назвали деятельность «популистских партий» главной угрозой, стоящей перед Европейским союзом. Raines Th. The Future of Europe: Comparing Public and Elite Attitudes / Th. Raines, M. Goodwin, D. Cutts. London: Chatham House, 2017. P. 31.
[6] Мизес Л. Человеческая деятельность: трактат по экономической теории. М., 2000. С. 810–811.
Глава 2.
НАРОДНОХОЗЯЙСТВЕННЫЙ КРУГООБОРОТ И НАЦИОНАЛЬНОЕ СЧЕТОВОДСТВО
Важнейшие макроэкономические показатели исчисляют посредством системы национальных счетов (народнохозяйственной бухгалтерии). В свою очередь, национальное счетоводство основывается на модели народнохозяйственного кругооборота, в которой процесс функционирования национальной экономики изображается в виде замкнутых денежных потоков, возникающих между макроэкономическими субъектами в ходе производства, распределения и потребления материальных благ и услуг.
2.1. Народнохозяйственный кругооборот
Основу экономического кругооборота составляет бюджет. Он отражает все доходы и расходы субъекта, а следовательно, и изменение объема его имущества в текущем периоде. Дефицит бюджета уменьшает размер имущества, а избыток увеличивает. Бюджет может быть представлен четырьмя способами: в виде уравнения, таблицы (матрицы), диаграммы и бухгалтерского счета.
Выбор формы представления бюджета зависит от метода исследования народнохозяйственного кругооборота. При построении экономико-математических моделей бюджеты экономических субъектов представляются в виде уравнений. Табличная форма удобна для анализа взаимосвязей между бюджетами всех экономических субъектов. Достоинством графического изображения бюджетных потоков является наглядность. Бухгалтерскую форму представления бюджетов макроэкономических субъектов используют для построения системы национального счетоводства.
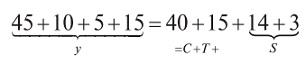
Рассмотрим это на примере бюджета домашнего хозяйства, которое за месяц получает 45 тыс. руб. заработной платы, 10 тыс. руб. дивидендов и процентов, 5 тыс. руб. государственного пособия на детей и 15 тыс. руб. от родственников за границей. Расходы этого хозяйства в том же месяце следующие: 40 тыс. руб. — на оплату благ и услуг, 18 тыс. руб. — на налоги и пошлины, 14 тыс. руб. — на покупку ценных бумаг и 3 тыс. руб. наличных остались неиспользованными. Бюджетное уравнение данного хозяйства выглядит следующим образом (тыс. руб.):
В результате того что в текущем месяце доходы превысили расходы, у домашнего хозяйства имущество увеличилось на 17 тыс. руб., в том числе ∆B
...