автордың кітабын онлайн тегін оқу Прогнозирование развития децентрализованных макроэкономических систем управления на основе концепции человеческого капитала. Монография
Н. А. Ершова
Прогнозирование развития децентрализованных макроэкономических систем управления на основе концепции человеческого капитала
Монография
Под редакцией
профессора
С. Н. Павлова
Информация о книге
УДК 330.101.541
ББК 65.012.2
Е80
Автор:
Ершова Н. А., кандидат экономических наук, доцент, профессор кафедры экономики Российского государственного университета правосудия.
Рецензенты:
Чараева М. В., доктор экономических наук, доцент, профессор кафедры теории и технологий в менеджменте Южного федерального университета (г. Ростов-на-Дону);
Чевычелов В. А., доктор экономических наук, профессор, председатель редакционного совета журнала «Экономика и предпринимательство» — рецензируемый международный печатный научный журнал по экономике из перечня ВАК РФ.
Под редакцией профессора С. Н. Павлова.
Монография содержит научный материал по анализу современных проблем эффективного управления развитием макроэкономических систем, включающий результаты многолетних исследований автора. Главное внимание уделено проблеме устранения перспективной макроэкономической неопределенности развития национальной экономики методом качественного циклического прогнозирования внешней среды и методу стратегического целевого прогнозирования развития макроэкономических систем. По структуре и содержанию работа опирается на базовые концепции и принципы макроэкономики, включая потребительскую концепцию, системный подход, гипотезы рефлексивности и ограниченной рациональности субъектов экономической деятельности, принципы декомпозиции и неопределенности с учетом децентрализованности макроэкономических систем управления в условиях рыночной модели хозяйствования.
Издание адресовано ученым, занимающимся фундаментальными и прикладными исследованиями проблем прогнозирования развития в системе экономических отношений общества; специалистам, формирующим и реализующим экономическую политику; преподавателям, аспирантам, магистрантам и студентам по экономическим дисциплинам.
В монографии содержатся скриншоты программы «1С: Предприниматель», (раздел «Компьютерные деловые игры»), авторские права на которую принадлежат ее разработчикам (правообладателям), а название является зарегистрированной торговой маркой. Автор и издательство не имеют никакого отношения к вышеупомянутой программе.
Текст публикуется в авторской редакции.
УДК 330.101.541
ББК 65.012.2
© Ершова Н. А., 2022
© ООО «Проспект», 2022
ВВЕДЕНИЕ
Современный этап развития экономики Российской Федерации характеризуется отсутствием ресурсных возможностей перехода в режим экономического роста. На это есть внешние и внутренние причины. Доминирующими, по мнению многих специалистов, являются неблагоприятные факторы внешней среды: обострение международной конкуренции, протекционизм «сильных игроков», экономические санкции, низкий уровень международного партнерства в инвестициях и т. п. Менее значимыми считаются факторы внутренней среды: изношенность основного капитала, сокращение величины трудоспособного населения, отставание в освоении результатов научно-технического прогресса, низкая производительность труда, невысокая инвестиционная активность бизнеса, а также несовершенство системы государственного регулирования экономики. Вместе с тем государственный сектор в настоящее время составляет более половины национальной экономики, т. е. является определяющим в экономическом развитии страны. Есть все основания предполагать, что главным условием перехода экономики РФ в режим экономического роста является существенное увеличение социально-экономической активности государства, основу которой составляет оптимизация долгосрочной стратегии развития. Законодательной базой экономической активности подобного рода является принятый в 2014 году Закон о стратегическом планировании.
В данной работе изложены научно-методические основы прогнозирования развития децентрализованных макроэкономических систем управления и их применение к экономике РФ с учетом сложности ее территориально-отраслевой структуры, рыночной модели хозяйствования, стремления к применению преимущественно целевых методов развития экономики на долгосрочную перспективу с акцентом на развитие человеческого капитала.
Глава 1.
СОВРЕМЕННЫЕ ПРОБЛЕМЫ УПРАВЛЕНИЯ РАЗВИТИЕМ ЭКОНОМИКИ В УСЛОВИЯХ РЫНОЧНОЙ МОДЕЛИ ХОЗЯЙСТВОВАНИЯ
В настоящее время российская экономика представляет собой макроэкономическую систему сложной структуры с большим числом составляющих взаимосвязанных элементов, имеющую высокий уровень перспективной неопределенности развития в условиях рыночной модели хозяйствования, интенсивной международной конкуренции, весьма ограниченных научных, технико-технологических и производственных возможностей, доминирующего государственного сектора, невысокого качества овеществленного и человеческого капитала.
Оптимизация развития подобной экономики не может быть результативной без активного заинтересованного участия в нем государства как доминирующего «главного инвестора», несущего всю полноту ответственности перед населением за текущие и долгосрочные социально-экономические результаты.
Научный подход к решению проблемы эффективного перехода экономики страны в фазу экономического роста начинается, на наш взгляд, с системного анализа текущих, перспективных и долгосрочных проблем управления развитием экономики РФ на основе выбора рациональной совокупности концепций, принципов, приоритетов, целей и задач оптимизации национальной системы стратегического управления.
Ведущим принципом такого развития, по нашему мнению, является принцип экономической рефлексивности (активности). Этот принцип впервые был предложен В. Н. Бурковым, автором теории активных экономико-организационных систем. Принцип заключается в признании, что все субъекты экономической системы, наряду с общесистемными, имеют собственные, локальные цели, отличающиеся от целей Центра. То есть выбор принципа активности субъектов экономической системы требует от системы управления ее развитием решения задачи двухуровневой многокритериальной оптимизации, результатом которой является так называемое согласованное решение. Оно является равновесным, т. е. обладает свойством эквивалентности степени достижения целей всех субъектов экономической системы (целей Центра и исполнителей (регионов) в системах централизованного (упорядоченного сверху вниз) управления развитием экономики). Равновесное решение является неулучшаемым, т. е. наиболее предпочтительным среди всех альтернативных стратегий. Оно не является единственным и образует множество Парето-оптимальных решений.
Вторым принципом, необходимым для оптимизации управления экономическим развитием страны, является принцип неопределенности. Он заключается в признании невозможности точного прогнозирования результатов долгосрочной оптимизации стратегий развития. Как известно, вероятность точечного прогноза любого макроэкономического показателя равна нулю. Прогноз экономического развития всегда должен быть интервальным, иметь качественный характер, выявлять перспективные тенденции и фазы развития, порядок их чередования. При этом принципе следует осуществлять прогнозы трех видов: оптимистический, минимального риска и пессимистический.
Третий принцип основан на концепции ограниченной рациональности субъектов экономической деятельности, т. е. на свойстве неполного осознания ими текущих и перспективных потребностей, целей и возможностей экономической системы в целом и ее элементов. Это происходит в связи с природными особенностями поведения человека, а также низким качеством информационных баз данных и систем искусственного интеллекта, производящих, как правило, неудовлетворительную прогнозную информацию на долгосрочную перспективу.
К четвертому относится принцип пространственно-временной декомпозиции процесса управления развитием экономической системы путем его дискретизации по календарным периодам. Согласно этому принципу, временной интервал всего цикла управления делится на краткосрочный, среднесрочный и долгосрочный. Пространственная декомпозиция предполагает рассмотрение национальной экономики как многорегиональной иерархической системы.
Пятым принципом оптимизации систем управления развитием «большой» экономической системы является требование сохранения свойства долгосрочной оптимальности всех локальных управленческих решений на всем временном интервале стратегической оптимизации.
Основополагающей концепцией оптимизации системы управления развитием экономики в социальном государстве (РФ) является так называемая потребительская концепция. Она состоит в приоритетности стратегий развития экономики, ориентированных на рост количества и качества производства экономических благ с целью удовлетворения перспективных потребностей населения страны, роста качества жизни. В соответствии с потребительской концепцией ведущим критерием развития является величина ВВП на душу населения.
Применение системного подхода является основополагающим при практической реализации перечисленных концепций и принципов. Он заключается в комплексном учете лишь ключевых факторов, определяющим главным образом перспективный социально-экономический результат, и обеспечивает примерно 90% степени достижения поставленных целей. Этот подход основан на рациональном агрегировании экономической информации и применении макромоделирования систем управления развитием национальной экономики.
1.1. Развивающиеся экономические системы
Развитием экономической системы называется процесс целенаправленного изменения ее важнейших свойств: состава элементов, их количества и качества, а также структуры взаимосвязей, приоритетов и возможностей. При этом у системы происходит возникновение новых свойств и утрата прежних, полностью или частично. Процесс развития экономической системы может происходить эволюционно или скачкообразно. Движущей силой развития являются внешние и внутренние противоречия. Внешние противоречия обусловлены внешней средой экономической системы, т. е. совокупностью неконтролируемых факторов рыночной среды. При этом возникает проблема адаптации системы к внешней среде. Внутренние противоречия имеют место при взаимодействии элементов экономической системы друг с другом. Противоречия в целях, возможностях, стратегиях, сроках возникают вследствие свойства рефлексивности (активности) элементов экономической системы. Возникает проблема рационального согласования их деятельности.
В настоящее время существенное влияние на процесс развития экономики оказывает научно-технический прогресс (НТП). Его результаты позволяют смягчить существующие противоречия между целями и возможностями элементов и системы в целом. Формирование новых возможностей стало составной частью любой современной стратегии развития экономической системы, так как позволяет формировать необходимые, но исходно недостижимые (с позиции существующих ресурсно-технологических возможностей) долгосрочные цели развития. Применение инновационных стратегий зачастую позволяет также сократить сроки и снизить издержки в процессе реализации долгосрочных целевых программ, повысить качество результата сверх целевого уровня. Как известно, применение традиционной модели программно-целевого управления основано исключительно на существующих возможностях и обязательно достижимых целях. Практика такой модели планирования всем известна: увеличение сроков исполнения целевой программы, неполное достижение поставленных целей, недостаток инвестиционных ресурсов, потребность в дополнительном финансировании.
Процесс развития экономической системы всегда имеет некоторую тенденцию, т. е. склонность к длительному или кратковременному сохранению величины параметров развития: состава элементов, их взаимосвязей и др. Процесс развития имеет свойство неравномерности, т. е. последовательной смены тенденций развития. Тенденция считается позитивной, если она повышает эффективность экономической системы, т. е. ведет к установлению наилучшего соотношения между ее целями и возможностями. В противном случае тенденция считается негативной. Необходимым условием позитивного развития экономической системы является требование ее социально-экономической эффективности, т. е. установление приоритета долгосрочных социальных целей над экономическими (например, приоритет критерия роста качества жизни населения над критерием максимальной прибыльности долгосрочных стратегий развития экономической системы). В условиях модели хозяйствования, основанной на частной собственности, всегда существует негативная тенденция к социальной дифференциации населения и преимущественному применению стратегии фокусирования при распределении результатов экономического развития в ущерб основной массе населения.
В настоящее время имеет место ускоренная динамика изменения внешней среды экономической системы, зачастую имеющая конкурентный экстремальный характер. В этом случае система прекращает процесс эволюционного развития, переходит к качественным, нелинейным изменениям; происходит смена тенденции развития. Этот процесс называется самоорганизацией. Он приводит к структурным изменениям в системе, именуемых синергетическими. При этом сохраняется относительная хаотичность поведения элементов системы.
Процесс развития имеет полициклический характер, который уже более трехсот лет имеет место в развитии экономических систем. Научно подтверждена цикличность развития продуктов, техники и технологий, недвижимости, технологического уклада хозяйственной деятельности. На наш взгляд, имеется цикличность также в развитии макроэкономических систем управления. В результате взаимодействия экономических циклов имеет место сложный характер развития экономических систем, обостряющий проблему достоверности в долгосрочном прогнозировании их развития. Модель развития экономической системы должна наилучшим образом учитывать процесс чередования периодов устойчивого и неустойчивого развития, эволюционных и качественных изменений, имеющих систематический характер.
1.2. Структура принятия управленческих решений в развивающейся экономической системе
Управленческое решение в развивающейся экономической системе представляет собой важнейшую функцию управления, которую реализуют все ее субъекты, осуществляющие хозяйственную деятельность в роли руководителей верхнего, среднего и нижнего звеньев системы управления. Оно заключается в рациональном динамическом структурировании взаимосвязанных действий исполнителей (части персонала, действующей в роли исполнителей), предварительно мотивированных на приоритет стратегических общесистемных целей. Ввиду того, что процесс экономического развития имеет долгосрочный характер, структурирование управленческих решений ведется в направлении сверху вниз и имеет иерархическую структуру. Верхний уровень содержит агрегированные, макроэкономические управленческие решения, средний уровень — детализированные, а нижний — конкретные, микроэкономические. Вместе они образуют так называемое дерево управленческих решений.
Разработка наиболее предпочтительного управленческого решения является информационно-аналитическим процессом, направленным на поиск наилучшего соотношения между целями и возможностями развивающейся экономической системы, с предварительным устранением неопределенности динамики поведения внешней среды. Внешней средой развивающейся экономической системы является совокупность неконтролируемых динамических факторов, существенно влияющих на принятые долгосрочные цели развития. Для устранения такого вида неопределенности необходимо прогнозирование ее динамики в предположении, что она имеет реактивный, конфликтный характер, т. е. старается в свою очередь противодействовать негативным для себя последствиям от практической реализации принятой стратегии развития экономической системы.
Управленческое решение всегда имеет субъективный характер (индивидуальный или коллективный). Его субъективность проявляется в смысловой интерпретации всех этапов управленческих действий и полезности получаемых результатов развития.
Принятие управленческого решения является волевым интуитивно-логическим актом руководителя, придающим решению правовой статус. После этого оно принимает свойство обязательности как для руководителя, так и для исполнителей, предусматривающее для каждого субъекта конкретную меру ответственности за неисполнение.
Процесс поиска и реализации наиболее предпочтительного управленческого решения имеет последовательную структуру. Ее элементами являются: формирование исходных альтернатив развития экономической системы; выбор комплекса критериев оценки качества альтернатив; сравнительный анализ вариантов развития по системе установленных критериев; выбор наиболее предпочтительного варианта (варианта, в максимальной степени соответствующего долгосрочным целям и требованию эффективности); принятие решения; реализация решения; получение целевого полезного эффекта от его реализации. Подобная структура моделирует полный жизненный цикл управленческого решения.
1.3. Макромоделирование системы управления развитием экономики
В соответствии с изложенными принципами и потребительской концепцией экономического развития макромоделью системы управления развитием экономики называется двухуровневая структура целей, факторов и приоритетов агрегированных элементов системы «Центр — регионы».
Макромодель системы управления развитием экономики считается полностью централизованной, если значимыми являются лишь цели верхнего уровня системы управления (Центра), а цели нижестоящих элементов системы (регионов) не учитываются как значимые при инвестиционной оптимизации. Степень децентрализации такой системы управления считается равной нулю. Это означает, что у элементов системы отсутствует свобода экономического поведения, право самостоятельного выбора значений управляемых переменных (инвестиционных программ) и мотивация к системной оптимизации развития национальной экономики. Субъекты системы несут полную административно-правовую ответственность за отклонение от директивного сценария развития. Правомерным основанием для нарушения порядка работы, плановых сроков и перерасхода ресурсов признаются объективные причины, связанные с неопределенностью экономического поведения внешней среды (нештатные техногенные ситуации, реактивные стратегии конкурентов, неблагоприятные природно-климатические условия и т. п.).
Практика показала, что при отсутствии региональной мотивации всегда существует достаточный для оправдания набор «объективных» причин срыва сроков выполнения запланированных федеральных мероприятий и перерасхода ресурсов. И наоборот, наличия региональной мотивации, как правило, всегда достаточно для преодоления негативного влияния внешней среды, ускорения сроков целевых мероприятий, экономии ресурсов и повышения качества ожидаемых результатов. Именно поэтому первостепенным фактором оптимизации макросистем управления развитием экономики в условиях рыночной модели хозяйствования является социально-экономическая активность элементов системы децентрализованного управления, т. е. снижение степени централизации управленческого процесса, предоставление регионам определенной свободы экономического поведения, усиление мотивации к достижению федеральных целей не только административными, но и экономическими методами. Количественным показателем степени децентрализации управления (СДУ) двухуровневой экономической системы является доля макроэкономических показателей, стратегия изменения которых и их величина определяются регионами самостоятельно в соответствии с региональными целями развития.
Макромодели систем децентрализованного управления развитием экономики делятся на сильноагрегированные, среднеагрегированные и дезагрегированные (сетевые). Наиболее распространенным примером сильноагрегированной модели децентрализованного управления большой экономической системой является степенная макромодель, учитывающая всего два сильноагрегированных фактора производства: труд и капитал. Ее именуют «модель Кобба — Дугласа»:
Y(t) = А · Kα(t) · Lβ(t), (1)
где: Y(t) — максимально возможное значение ВВП; α, β — коэффициенты факторной эластичности выпуска; А — коэффициент масштаба;
K(t) — агрегированный сценарий развития овеществленного капитала; L(t) — агрегированный сценарий развития человеческого капитала.
Как видим, управляющими переменными в такой макромодели являются агрегированные сценарии развития факторов производства, которые определяются централизованно или децентрализованно, в зависимости от выбранной степени централизации системы управления развитием экономики.
Коэффициенты α, β определяют достигнутый научно-технический уровень факторов развития экономики. При низком техническом уровне сумма этих коэффициентов меньше единицы; при нейтральном техническом уровне их сумма равна единице, т. е. при удвоении количества факторов производства происходит удвоение ВВП. Если сумма коэффициентов превышает единицу, то это означает рост качества факторов развития, т. е. происходит инновационное развитие экономики, растет производительность труда.
Среднеагрегированная модель, наряду с производственной функцией, включает информационно-логические модели ключевых факторов развития экономики K(t) и L(t). Рассмотрим конкретный пример этих макромоделей.
Модель динамики развития овеществленного капитала национальной экономики учитывает три фактора: достигнутый уровень, K(0); выбытие капитала вследствие морального старения или физического износа:
ΔК(t) = µ · K(t),
где: µ — норма амортизации; инвестиции в развитие овеществленного капитала: IК(t).
Сама макромодель имеет вид:
K(t + 1) = K(t) — µ · K(t) + IK(t). (2)
Макромодель развития человеческого капитала имеет вид:
L(t + 1) = L(t) — υ · L(t) + IL(t) (3)
где: υ — норма выбытия человеческого капитала по возрасту, потере трудоспособности, трудовой миграции и т. п.; IL(t) — инвестиции в развитие человеческого капитала.
Управляющей переменной является так называемая норма накопления (u) — доля ВВП, направляемая на развитие факторов экономики.
Модель инвестиционного сценария I(t) имеет вид:
где IK(t) — сценарий инвестиций в основной капитал; IL(t) — сценарий инвестиций в развитие человеческого капитала.
Дезагрегированная модель управления развитием экономики имеет вид сетевой макромодели, именуемой также комплексной целевой программой. Она имеет информационно-логическую структуру и представляет собой комплекс перспективных региональных мероприятий по развитию экономики страны как сложной многорегиональной системы.
1.4. Особенность макромодели децентрализованной системы управления развитием экономики
Система децентрализованного управления развитием экономики РФ является многоальтернативной. Ее макромодель имеет вид активной иерархической двухуровневой системы управления «Центр — регионы». Активность системы моделируется комплексом целевых критериев ее элементов верхнего и нижнего уровня: федеральных и региональных. Критерий федерального уровня имеет вид целевой траектории изменения ВВП*(t), t = (0, T). Федеральный критерий регионального уровня ВРП*i(t) представляет собой целевую траекторию развития i-го региона, отражающую агрегированную федеральную цель Центра. При этом должно выполняться условие общесистемного баланса:
ВВП*(t) = Σ ВРП*i(t). (5)
Критерии регионов также имеют вид целевых траекторий, отражающих их собственные цели: ВРП**i(t). Причем исходно всегда имеет место ситуация несбалансированности целей Центра и регионов:
ВВП*(t) ≠ Σ ВРП**i(t). (6)
Несогласованность целей Центра и регионов является главной проблемой оптимизации в децентрализованной системе управления развитием экономики. Рациональный переход к модели оптимального согласованного межрегионального развития является, на наш взгляд, одной из ключевых проблем макроэкономического прогнозирования развития экономики РФ.
1.5. Моделирование системы управления развитием экономики, децентрализованной по темпам роста ВРП
Система управления развитием экономики считается децентрализованной, если необходимая, по мнению Центра, степень ее децентрализации составляет более 20%, т. е. целями регионов нельзя пренебречь. Пусть долгосрочной целью развития национальной экономики является переход в фазу экономического роста со среднегодовым темпом γ* в течение Т лет. Этой цели соответствует макромодель:
ВВП*(t) / ВВП*(t) = γ*. (7)
Для получения модели в явном виде ее следует преобразовать. В результате получим сильноагрегированную макромодель траектории целевого развития экономики в виде:
ВВП*(t) = ВВП*(0) · exp(γ* · t). (8)
Этой модели соответствует среднеагрегированная макромодель Центра, учитывающая целевую динамику сбалансированного развития регионов:
Σ ВРП*i(t) = ВВП*(0) · exp(γ* · t). (9)
Из равенства (9) следует, что Центр заинтересован, чтобы темп роста ВРП регионов в среднем максимально соответствовал целевому уровню γ*, но с учетом региональных особенностей экономического развития, т. е. был средневзвешенным значением:
Σ рi · γ*i = γ*, (10)
где: рi — коэффициент относительной важности экономики региона;
γ*i — целевой темп экономического роста i-го региона.
В связи с тем, что целевой темп экономического роста региона γ*i, установленный Центром, как правило, не совпадает с его значением, предпочитаемым регионом: γ**i, то Центру следует сформировать модель стимулирования региона, т. е. функцию экономической мотивации к выбору значения темпов роста, рекомендуемого Центром, например путем назначения штрафа за отклонение выбранного регионом темпа экономического развития от назначенного Центром. Это означает, что в условиях децентрализованной системы управления экономическим развитием следует дополнить действующую систему управления механизмом экономической мотивации регионов к выполнению рекомендаций Центра. Рассмотрим конкретный пример функции мотивации региона:
ФМi(t) = аi · ВВП(t) — δ · (ВРП*i(t) — ВРП**i(t))2 1max, (11),
где: δ — коэффициент штрафа за отклонение от рекомендуемого Центром значения ВРП; аi — норматив отчисления на развитие региона.
Как следует из модели (11), увеличение коэффициента штрафа снижает мотивацию региона к выбору иной траектории развития, чем рекомендуемая Центром. Таким образом, формула (11) становится целевой функцией региона. Для ее максимизации следует выбирать величину ВРП**i(t) с учетом рекомендаций Центра. Применение режима «сильных» штрафов стимулирует территории к выполнению региональных целей Центра. Режим «слабых» штрафов дает возможность регионам уделить большее внимание собственным целям. То есть изменение коэффициента штрафа напрямую определяет степень децентрализации управления экономическим развитием страны как многорегиональной системы.
Глава 2.
МЕТОД ЦЕЛЕВЫХ ПРОГРАММ И ЕГО ПРИМЕНЕНИЕ В ДЕЦЕНТРАЛИЗОВАННЫХ СИСТЕМАХ УПРАВЛЕНИЯ РАЗВИТИЕМ ЭКОНОМИКИ
Метод целевых программ основан на многоуровневой декомпозиции целей Центра и представляет собой экспертно-аналитическую процедуру последовательного дезагрегирования и согласования макроэкономических стратегий в децентрализованных системах целевого управления развитием экономики. Результатом его применения является комплекс конкретных согласованных инвестиционных мероприятий, образующих единую информационно-логическую систему, элементы которой характеризуются набором экономических показателей: вид мероприятия, объем финансирования (W), срок выполнения (Т), ожидаемый результат (У), информационно-логическая взаимосвязь с другими мероприятиями целевой программы (сетевая модель). Модель оптимизации целевой программы в полностью централизованной системе управления развитием экономики необходима для декомпозиции долгосрочной цели Центра, т. е. для формирования целевых характеристик мероприятий национальной целевой программы и разработки системы мотивации регионов к ее оптимизации.
2.1. Модель оптимизации целевой программы в централизованной системе управления развитием экономики
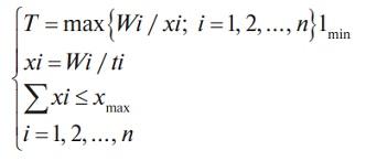
Рассмотрим модели оптимизации целевых программ (ЦП) базовой структуры: последовательной, параллельной, комбинированной. Каждая из элементарных структур имеет свою систему управления, т. е. является двухуровневой. Структура ЦП называется последовательной, если состоит из комплекса мероприятий, каждое из которых начинает выполняться только после завершения предыдущего. Обозначим: Wi — объем финансирования i-го мероприятия; ti — срок его выполнения; хi — средняя интенсивность финансирования; xmax — ограничение средней интенсивности финансирования; Т — срок выполнения ЦП; n — количество мероприятий. Модель оптимизации такой программы имеет вид:
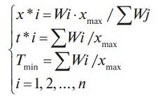
Оптимальное решение этой задачи имеет вид:
Структура ЦП называется параллельной, если состоит из комплекса независимо выполняемых мероприятий. Модель оптимизации такой ЦП имеет вид:
Оптимальное решение задачи имеет вид:
Как видим из (15), для комплекса независимо выполняемых мероприятий оптимальное решение предполагает их одновременное начало и завершение.
Структура мероприятий ЦП называется комбинированной (сетевой), если состоит из элементов базовой структуры. Метод сетевой оптимизации основан на последовательном агрегировании сложной структуры в эквивалентную последовательную и ее оптимизации на основе модели (13), а затем осуществлении ее оптимального дезагрегирования на основе моделей (13) и (15). Рассмотрим иллюстративный пример оптимизации ЦП сетевой структуры.
На рис. 1 приведена графическая модель ЦП.
Рис. 1. Графическая модель системы управления ЦП
Мероприятия 2 и 3 образуют последовательную структуру и могут быть агрегированы в одно мероприятие под номером 6 с условно-оптимальными характеристиками на основе модели (13). Для агрегированного мероприятия под номером 6 должно выполняться условие: W6 = W2 + W3. На рис. 2 приведена частично агрегированная система управления ЦП.
Рис. 2. Графическая модель частично агрегированной системы управления ЦП
Пунктиром на рис. 2 обведены мероприятия 6 и 4. Они образуют параллельную структуру и могут быть агрегированы на основе моделей (14) и (15). Обозначим это агрегированное мероприятие номером 7.
На рис. 3 приведена сильноагрегированная графическая модель ЦП, представляющая собой базовую, последовательную структуру, допускающую аналитическую оптимизацию на основе модели (13).
Рис. 3. Графическая модель сильноагрегированной системы управления ЦП
Для агрегированного мероприятия под номером 7 должно выполняться условие: W7 = W6 + W4.
Оптимальный срок выполнения целевой программы:
Тmin = (W1 + W7 + W5) / xmax.
Оптимальные сроки мероприятий:
t*1 = W1 / xmax; t*7 = W7 / xmax; t*5 = W5 / xmax.
Для расчета оптимального срока выполнения мероприятия 4 следует дезагрегировать мероприятие 7, используя формулу (15). В результате получим: t*4 = (W4 + W6) / xmax.
Расчет оптимального решения для мероприятий 2 и 3 требует дезагрегирования мероприятия 6. Для этого следует использовать модель (13):
t*2 = W2 / х*6; t*3 = W3 / х*6,
где: х*6 = W6 · xmax / (W6 + W4).
Приведенный пример модели сетевой оптимизации позволяет сформировать цели Центра в терминах желаемых значений параметров мероприятий ЦП, что служит научно-методологической основой для эффективной децентрализации системы управления комплексной целевой программой развития национальной экономики, определения рационального уровня ее децентрализации.
2.2. Модель оптимизации целевой программы в децентрализованной системе управления развитием экономики
Рассмотрим систему программно-целевого управления развитием экономики, децентрализованную по срокам выполнения конкретных мероприятий. Модель такой системы управления должна быть дополнена функциями мотивации ФМi, стимулирующими активность исполнителей мероприятий программы в направлении соблюдения оптимальных сроков, установленных Центром на основе системы моделей предыдущего раздела данной работы.
Конкретный пример функции мотивации:
ФМi = ФМi0 – δ · (t*i – t**i)2 1max (16)
где: ФМi0 — исходная величина фонда материального поощрения;
δ — коэффициент штрафа за отклонение от рекомендуемых сроков выполнения мероприятий ЦП; t*i, t**i — фактические сроки выполнения плановых мероприятий.
Чем больше величина δ, тем меньше степень децентрализации системы управления целевой программой.
Глава 3.
КОНЦЕПЦИЯ МНОГОФАЗНОГО ЦИКЛИЧЕСКОГО ПРОГНОЗИРОВАНИЯ ДИНАМИКИ РАЗВИТИЯ ДЕЦЕНТРАЛИЗОВАННЫХ МАКРОЭКОНОМИЧЕСКИХ СИСТЕМ УПРАВЛЕНИЯ
Развитие современной рыночной экономики характеризуется усилением взаимосвязанности хозяйственной деятельности, содержит элементы глобализации экономических явлений и процессов, но остается высококонкурентной. Научно-технический прогресс стал основополагающим элементом конкурентоспособности технологий, продуктов и услуг. Широкое использование систем искусственного интеллекта в экономике и управлении значительно увеличило оперативность и качество систем управления экономической деятельностью. Появилась возможность стратегической оптимизации развития больших экономических систем на основе значительного снижения уровня перспективной экономической неопределенности. Между тем применение полностью формализованных моделей в долгосрочном прогнозировании экономического развития, на наш взгляд, себя не оправдало ввиду невозможности удовлетворительного экономико-математического моделирования фактора активности субъектов экономической деятельности в условиях рыночной модели хозяйствования. Более перспективным, на наш взгляд, является применение концепции системно-динамического прогнозирования последовательности фаз развития экономики как полициклического многофазного процесса, опирающегося на рациональный набор экспертно-аналитических подходов и принципов децентрализованного управления.
3.1. Методология циклического прогнозирования фаз развития децентрализованных макроэкономических систем управления
Теоретико-методологической основой макроэкономического прогнозирования развития систем управления экономикой является рациональное сочетание принципов рыночного механизма хозяйствования, основанного на процессах саморегуляции, с целенаправленностью и стратегической упорядоченностью процесса управления. В этом случае имеет место дуальный (двойственный) характер развития макроэкономических систем, вынуждающий использовать децентрализованные системы управления, которые допускают определенную свободу экономического поведения субъектов рынка в рамках действующих ограничений и стимулов со стороны государства.
В настоящее время среди ученых есть полное единодушие в суждениях о характере развития современной экономики. Он признается существенно неравномерным, причем неравномерность предположительно имеет случайный, но в то же время повторяющийся, циклический характер и представляет собой инновационный процесс последовательной смены техники и технологий, недвижимости и технологического уклада в целом. Под технологическим укладом понимается доминирующий способ производства и потребления частных и общественных экономических благ. Это требует своевременной адаптации применяемых систем макроэкономического управления хозяйственной деятельностью к новым реалиям, не терпит запаздывания с их трансформацией.
Циклическое прогнозирование развития системы управления экономикой требует предварительной идентификации параметров экономических циклов, а также учета их взаимосвязанности, применения гипотезы аддитивности в их воздействии на процесс экономического развития. Весьма ограниченная информационная база, охватывающая временной период продолжительностью в целом чуть более двухсот лет, не позволяет удовлетворительно оценить их значения и применить для прогнозирования детерминированные полигармонические модели. Так, в мировой экономике за исследуемый период было всего четыре технологических уклада (цикл Кондратьева), последовательно сменивших друг друга. Экономика РФ в настоящее время основана на пятом технологическом укладе и имеет существенное отставание от экономически развитых стран. Она пока имеет шансы на синхронный с ними переход на шестой технологический уклад. В противном случае она рискует потерять стратегическую конкурентоспособность, самостоятельность в выборе путей социально-экономического развития.
До настоящего времени в экономической науке отсутствовала методология циклического прогнозирования динамики фаз развития децентрализованных макроэкономических систем управления. Это объясняется отсутствием убедительного доказательства явления цикличности экономического развития в условиях капиталистической модели хозяйствования. Периодограмма-анализ статистической базы, ранее проведенный отечественными и зарубежными учеными с применением цифровых технологий, позволил выдвинуть гипотезу сложной цикличности процесса современного экономического развития, осуществить интервальную оценку периодов краткосрочного, среднесрочного и долгосрочного циклов, но это не доказывает явление цикличности мирового хозяйственного развития как экономической закономерности, что исключает применение научно-теоретического подхода при разработке методологических основ циклического прогнозирования динамики развития децентрализованных макроэкономических систем управления. В качестве методологической основы решения данной задачи нами предложен экспертно-эмпирический подход, рационально сочетающий результаты экспертного (субъективного) и статистического (объективного) анализа цикличности процесса экономического развития в краткосрочной, среднесрочной и долгосрочной перспективе.
Сущность экспертно-эмпирического подхода в макроэкономическом прогнозировании цикличности развития децентрализованной системы управления экономикой заключается в формировании системы гипотез, концепций и принципов относительно параметров экономических циклов, позволяющих обоснованно выбрать модель прогнозирования последовательности фаз развития экономики и конкретные значе
...