автордың кітабын онлайн тегін оқу Тензоры. Что может быть проще
Юрий Бердинский
Тензоры. Что может быть проще?
Шрифты предоставлены компанией «ПараТайп»
© Юрий Бердинский, 2025
Есть такие книги, после прочтения которых жизнь начинает делиться на до и после. Эта книга — одна из них. По крайней мере, в контексте наглядности и ясности математических идей. Проще, чем здесь, тензорное исчисление и смежные области никогда ранее не рассматривались. У читателя возникает ощущение, будто он сам изобретает эти понятия и досконально понимает их суть. Книга подойдёт как новичкам, интересующимся этой темой, так и узким специалистам.
ISBN 978-5-0067-3763-1
Создано в интеллектуальной издательской системе Ridero
Оглавление
Тензоры — это факты вселенной!
Лилиан Р. Либер
Введение
Если вы сейчас читаете эти строки, то, скорее всего, уже слышали слово «тензор» и, возможно, даже пытались его понять в ВУЗе. Но, признайтесь, большинство книг по тензорному исчислению написаны так, что даже самые стойкие студенты начинают подозревать, что их авторы — это инопланетяне, которые решили поиздеваться над человечеством. Все эти громоздкие формулы с индексами выглядят так, будто кто-то просто решил поиграть в «найди 10 отличий» между математикой и искусством абстракции.
Если вы уже успели пострадать от этой тензорной пытки, то эта книга станет для вас настоящим глотком свежего воздуха! Мы вернём наглядность в мир тензоров, и вы почувствуете себя не просто читателем, а настоящим гением, который сам изобрёл все эти сложные штуки. А как иначе? Ведь только тот, кто способен переизобрести нечто, может с гордостью заявить: «Я это понял!» Так что готовьтесь, мы отправляемся в увлекательное путешествие по миру тензоров, где даже самые запутанные формулы станут для вас простыми и понятными!
Большинство математических идей на самом деле просты, как дважды два, и тензоры — не исключение. Вспомните, как в школе даже самые отъявленные двоечники получали неплохие оценки, когда дело доходило до векторов. Всё так просто и наглядно, как счётные палочки, которые, кстати, могли бы стать отличным оружием в битве с математической скукой. Так начиналось ваше первое знакомство с тензорами, ведь вектор — это тензор первого ранга!
Разумно предположить, что читатель, решивший изучить тензоры, уже сведущ в таких вещах, как линейная алгебра и математический анализ. Иначе где бы вы вообще могли услышать данное слово? Поэтому и для чтения данной книги требуется подготовка уровня хотя бы школы. Но не переживайте, даже если вы не гуру математики, вы всё равно сможете извлечь из этого пособия массу полезного благодаря его наглядности.
На страницах этой книги будет использовано ровно столько математики, чтобы помочь, а не мешать непрофессионалу. Её цель — глубокое наглядное понимание основных идей тензорного исчисления. Без математической муштры и заумных терминов. Только суть и наглядность! Большей наглядности не представлено до сих пор нигде! Ни в одном из курсов.
Изложение мы начнём с наглядной интерпретации так называемых ковариантных и контравариантных компонент тензоров. Затем увидим, что одним вектором чаще всего не обойтись и что появление тензоров — естественно и неизбежно. Разберём, как можно начать ориентироваться, оказавшись в неведомых мирах непонятной природы, вводя структуру многообразия. Далее увидим тензоры в самых неожиданных местах, таких, например, как стул, на котором вы сидите. Он ведь имеет верх и низ и некую площадь. А значит, обладает ориентированной площадью. Спойлер: полностью антисимметричным тензором. Потом нас ждёт дуальность Ходжа. И нет, это не новый персонаж Marvel, а магическая операция, которая превращает дифференциальные формы в их альтер-эго. Все эти объекты будут возникать у нас естественно и непринуждённо. Привыкнув к ним, мы познакомимся уже с весьма специальными тензорами, носящими имена сопричастных к ним математиков и физиков. Затем познакомимся с группами Ли и тензорами, обитающими в этих мирах. И напоследок заглянем ещё глубже в Варп-геометрии, обнаружив спиноры. Они крутятся на 720 градусов, чтобы вернуться в исходное положение (да, они странные). Но спиноры помогают ввести спин-тензоры, которые тоже у нас вполне по теме. В итоге мы окончательно развенчаем миф о сложности тензорного исчисления и сделаем все его понятия такими же естественными и наглядными, как ваши любимые счётные палочки. И, прочитав эту книгу, вы воскликнете: «Тензоры — что может быть проще?»
Ковариантность и контравариантность
Для покорения космоса человечеству, как это ни странно, нужно было научиться складывать стрелочки. Ещё Архимед, живший в 287–212 годах до нашей эры, складывал силы, действующие на тело, по правилу параллелограмма, то есть интуитивно вводил особые объекты, которые характеризуются не только величиной, но и направлением. Но вот беда: не всё, что кажется стрелочкой и имеет направление, на самом деле ею является. И в этом разделе нам предстоит сделать важный шаг к пониманию тензоров — понять, что есть два фундаментальных объекта, притворяющихся для неопытного человека векторами. Речь идёт о векторах собственной персоны, знакомых нам ещё со школы, и новой штуковине — ко-векторах.
Вспомним о векторах
Вектор — это не просто стрелка на плоскости, а настоящий герой в мире математики и физики. Он помогает нам описывать движение, силы и даже сложные явления в природе. Но что же такое вектор в самом простом понимании? Это направленный отрезок, который имеет как величину, так и направление. В повседневной жизни мы сталкиваемся с векторами постоянно: от стрел на картах до GPS-координат, которые помогают нам не заблудиться в большом городе. Векторы — это не просто абстракция, а мощный инструмент, который помогает нам ориентироваться в пространстве и времени.
В науке и технике векторы играют ключевую роль. Они позволяют моделировать физические процессы, анализировать данные и даже создавать новые технологии. Например, векторы используются в механике для описания движения объектов, в электротехнике для анализа электрических полей и в компьютерной графике для создания реалистичных изображений. Но как же мы можем работать с этими векторами? С ними можно иметь дело как с реальными стрелочками, складывая их по правилу «начало к концу» или по правилу параллелограмма. Их можно удлинять или укорачивать, умножая на число, или даже поворачивать вспять, меняя начало и конец посредством умножения на отрицательные числа. Но можно с векторами работать и в более абстрактном виде. Здесь на помощь приходят компоненты вектора. Что же такое компоненты вектора? Это способ представления вектора в виде набора чисел, которые описывают его величину и направление в определённой системе координат.
Чтобы представить наглядно компоненты вектора, вы можете направить карандаш на дверь. Где у него начало и конец — очевидно. Если же вы теперь выберете три произвольных направления в пространстве, не лежащих на одной прямой, и зададите для каждого из них единицу измерения, то легко сможете составить из получившихся, так называемых базисных векторов, объект, равный вашему карандашу. Сам карандаш имеет фиксированную длину и указывает на дверь. Какие бы три направления вы ни выбирали, вы всё равно сможете ими описать один и тот же карандаш, указывающий на дверь. Это простейшее представление вектора — в виде стрелки или в виде упорядоченной совокупности чисел.
На самом деле, вектор — это нечто более абстрактное. Это сущность, которая обладает направлением и величиной. Как хороший комиксный герой: у него есть суперспособность (величина) и цель в жизни (направление). Важно понимать: вектор — это не просто координаты. Координаты — это всего лишь способ описать вектор, как паспорт для человека. Без паспорта жить сложно, но паспорт — это не вся личность.
Но, имея все координаты векторов в каком-то конкретном базисе, мы можем складывать их уже не как стрелочки, а как упорядоченные массивы чисел. Компоненты векторов принято обозначать как числа в вертикальном столбце. В такой записи их весьма удобно складывать — этаж с этажом. Также при умножении вектора на число умножаются на него все компоненты на каждом этаже массива.
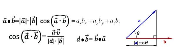
Для того чтобы оценить положение одного вектора относительно другого, вводят такую штуку, как скалярное произведение. По своей сути это проекция (тень) одного вектора на направление другого, умноженная на длину этого другого. Зачем проецируемый вектор умножать на длину второго, почему нельзя просто спроецировать? Дело в том, что с практической точки зрения хочется сделать эту операцию симметричной, и к тому же простое проецирование на направление, заданное вторым вектором, можно устроить скалярным умножением на единичный вектор. А в практических целях зачастую нужно ещё учитывать влияние второго вектора, на который мы проецируем первый. Также скалярное произведение вектора на самого себя даёт квадрат его длины. Длину вектора часто называют его модулем. Если скалярное произведение векторов равно нулю, то говорят, что они ортогональны (это такой сложный синоним слова «перпендикулярны»). Ортогональность векторов является их особым взаимоположением, крайне полезным и значительно упрощающим многие вычисления.
На скалярное произведение можно смотреть и как на свёртку двух векторов. Как на результат их взаимодействия. В последствии мы с вами увидим, как можно вектор прогнать сквозь тензор, также за счёт скалярного произведения уже с ним. Таким образом можно будет узнать, как тензор видоизменяет окружающие явления. Но пока обойдёмся без спойлеров.
Из двух векторов можно породить не только скаляр, но и вектор с помощью уже векторного произведения. Он будет перпендикулярен обоим перемножаемым векторам, а его длина (модуль) будет равна площади параллелограмма, «натянутого» на исходные векторы.
Чтобы узнать направление получаемого вектора, нужно первый множитель будто отвёрткой повернуть ко второму, и куда в этом случае отвёртка будет закручиваться, туда и будет указывать новый вектор.
Само по себе векторное произведение примечательно ещё и тем, что это, пожалуй, первый некоммутативный объект, с которым знакомится человек, начинающий изучать математику. Ведь если переставить в этом произведении множители, то результат будет иметь противоположный знак.
Почему это важно? Потому что это первый раз, когда мозг учащегося осознаёт: порядок имеет значение! До этого он жил в розовых очках коммутативности, где 2+3 = 3+2, а умножение — это сонное чаепитие Алисы в Стране Чудес.
Такой случай некоммутативности весьма прост и называется антикоммутативностью. Бывает, что перестановка множителей у других операций меняет результат до неузнаваемости.
Если честно, то результат векторного произведения — это не совсем и вектор. Его называют аксиальным вектором, или псевдо-вектором. В зазеркалье он ведёт себя как злодей из фильма: выглядит так же, но злорадно меняет знак. И да, это не глюк — так мир устроен!
Не всё то вектор, что им кажется
Вспомнив самые основные свойства векторов, мы теперь можем перейти к более причудливым объектам, которые векторами долго прикидывались. Люди чуть ли не с античных времён пользовались стрелочками в практических задачах. И лишь в 1853 году Джеймс Сильвестр (James Sylvester) заподозрил неладное и ввёл в обиход понятия о ковариантных и контравариантных объектах.
Понятия эти возникают при рассмотрении того, как объекты ведут себя при смене системы отсчёта, а значит, и координат. Величины, которые от смены базиса не зависят, называются скалярными. К таковым, например, относится энергия, температура. Скалярное поле — это число, прикреплённое к каждой точке пространства, словно ценник в супермаркете. Например: температура в комнате: +25° C на диване, +30° C у плиты и -273° C в душе у того, кто включил ледяную воду. Потенциальная энергия: максимум — на диване, минимум — в спортзале. Скалярному полю всё равно, как вы описываете точку. Ваш балкон может быть: с географическими координатами: 55° 75′ с.ш., 37° 61′ в.д.; улицей и домом: «Третий этаж, дом у реки»; в полярных координатах: «500 шагов от памятника, повернуть налево у электрического столба». Но температура там всё равно будет +30° C.
Но помимо скаляров существуют объекты, которые помимо величины обладают ещё и направлением. Это вроде как векторы. Но вот загвоздка в том, что при смене координат их компоненты меняются совершенно по-разному. Причём одним из только двух способов!
Чтобы наглядно увидеть, о чём идёт речь, давайте рассмотрим хрестоматийный пример такого противоположного поведения двух величин, имеющих одно и то же направление.
Давайте рассмотрим простой пример: одномерное пространство. Возьмём числовую прямую, зададим на ней начало отсчёта и единицу длины: 1 метр. Теперь представьте, что у нас есть скалярное поле температуры, которая растёт равномерно. В ноле температура равна нолю, а на каждый метр она поднимается на сто градусов! Таким образом, у нас появляется векторное поле темпа роста температуры, называют его «градиент». В каждой точке он постоянен и равен 100 градусов на метр.
И, наконец, зададим скорость какого-то газа, которая во всех точках одинакова и равна 1 метр в секунду.
В одномерном пространстве базис можно сменить, лишь сдвинув начало отсчёта или изменив единицу длины. Так что разнообразие координат не велико. Мы же в нашем примере для простоты поменяем единицу измерения! Перейдём от метров к сантиметрам, уменьшив тем самым единицу измерения аж в 100 раз. Температура, как и положено настоящему скалярному полю, никак на эти изменения не отреагирует. В точке «1 метр» или, как мы теперь считаем, «100 см» она как была равна 100 градусам, так таковой там и осталась. При этом градиент температуры, как величина, имеющая направление, изменился. Он был равен 100 градусов на единицу длины, а стал равен 1 градусу на единицу длины. Таким образом, компонента градиента численно уменьшилась в сто раз, как и единица длины, как базисный вектор, если угодно. Запомним это! Скорость газа тоже изменилась, но противоположным образом! Она у нас была 1 единица длины в секунду, а стала теперь равна 100 единицам длины в секунду. То есть её компонента, напротив, выросла численно в 100 раз!
Эти два варианта изменений компонент неких объектов и лежат в основе тензорного исчисления. Давайте более детально всмотримся в причину такого различного поведения координат. Представьте себя на месте учёных прошлых веков и задумайтесь, чтобы вы предприняли на их месте? Как назвали бы новые объекты, которые явно обычными векторами не являются? Как бы их обозначили? Как стали бы изображать геометрически? Для тех, кто уже знаком с математическим анализом и понятием якобиана, приведём математические выкладки, которые прямо-таки намекают на удобный и естественный способ обозначения направленных величин, которые демонстрируют два варианта изменения компонент.
В векторном анализе градиентом называют производную скалярного поля по координатам. Эта величина явно имеет направление. А вектором скорости называют производную координат по параметру (у физиков — это время).
Присмотритесь к формулам этих величин. Где стоят индексы координат в случае градиента и скорости? Правда, идея обозначать разницу в этих объектах через положение индексов просится сама собой?
Вот и учёным мужам прошлого показалось так же. С тех пор объекты типа скорости называют векторами и обозначают буквами с индексами координат сверху, а объекты, подобные градиенту, называют ковекторами, и индексы компонент пишут у них снизу. В англоязычной литературе есть способ запомнить, где какой индекс ставить. Вектора называют контравариантным объектом, так как они преобразуются противоположным способом базису. В слове contravariance латинская буква «n» похожа на стрелочку, указывающую вверх, что напоминает о положении индекса у такого объекта вверху. И наоборот, ковекторы преобразуются так же, как базис, и в символизирующем это слове сovariance буква «v» напоминает стрелочку вниз, также напоминая математику о местоположении ковариантных индексов.
Что касается причин такого различного поведения векторов и ковекторов при смене базиса, то она вполне очевидна. В одном случае координаты стоят в числителе, в другом — в знаменателе дроби или производной. Соответственно, их изменения должны либо увеличивать сами компоненты, или уменьшать. Только и всего!
Вслед за учёными задумаемся над тем, как можно чисто геометрически изобразить векторы и ковекторы. Какая визуализация будет отражать наиболее полно их суть и делать алгебраические действия над ними более наглядными? И здесь ответ напрашивается сам по себе из рассмотренного нами примера. Вектор скорости действительно удобно изображать как стрелку, в более общем случае — это действительно наш классический вектор, касательный к некоей кривой, заданной координатами, зависящими от некоего параметра.
Если же мы внимательно посмотрим на ковектор, в качестве первого примера которого брали градиент, то наглядная аналогия-интерпретация придёт сама. Её подскажет сама суть, сама природа градиента. Что такое градиент? Это направление наискорейшего возрастания некоей величины. Если мы рассматриваем поле температур на плоскости, то можем провести линии через те точки, в которых температура имеет одно и то же значение. Выберем, например, шаг в 10 градусов. И при возрастании температуры на 10 градусов будем отмечать это линией. Допустим, температура возрастает только слева направо. Тогда линии постоянства температуры будут вертикальными. И чем быстрее температура растёт, тем ближе они будут располагаться друг к другу. Вот мы и получаем наглядное представление ковектора! Это стопка линий (в более общем случае — поверхностей), на которой для ещё большего удобства галочкой показывают направление наибольшего роста величины.
Ковекторы — знакомство поближе
В силу того, что с векторами каждый человек знаком со школы, у него уже на уровне инстинктов отработаны все действия над этими объектами. Нам теперь нужно довести до такого же автоматизма и наглядности операции с дуальными к ним объектами — ковекторами. Давайте научимся их складывать как в абстрактном алгебраическом представлении, так и в геометрическом — визуальном.
Мы уже поняли, что удобнее представлять ковекторы как поверхности или линии. Существует немного свободы в обозначениях при начертании этих объектов. Иногда стрелочку ставят в середине стопки линий, иногда на переднем крае. Если у нас величина (энергия или температура, например) меняется сложным образом, то ковекторы мы изображаем изогнутыми линиями, кривизна которых может тоже меняться от точки к точке, или множеством линий в разных областях, имеющих разные направления. Практика показывает, что это очень удобно. Как и векторы, ковекторы являются инвариантными величинами, вещью в себе, которые не зависят от системы координат. Но их описание через компоненты будет выглядеть по-разному в разных базисах.
Для построения алгебры ковекторов полезно будет проводить аналогию с операциями над векторами и смотреть, как отличается их геометрическая интерпретация от собственно знакомых нам векторов. Мы умеем складывать два вектора. Конец одного прилагаем к началу другого и проводим линию от свободного конца первого вектора к свободному концу второго. Ковекторы можно тоже складывать. Но если мы помедитируем над тем, как сделать сложение таковым, чтобы оно сохраняло основные свойства ковекторов, то придём к следующему способу. Чертим первый ковектор в виде линий, затем на нём чертим второй. Линии обоих ковекторов образуют параллелограмм. Суммарным ковектором будут являться линии, проходящие через вершину этого параллелограмма и его диагональ.
Мы умеем умножать вектор на число. Вектор при этом увеличивается в длине, если число больше единицы, и уменьшается, если оно меньше. Если число отрицательное, то вектор поменяет своё направление стрелочки на противоположное. С ковекторами выполняется в точности как у векторов лишь последний пункт. Если мы ковектор умножим на отрицательное число, он поменяет своё направление. В остальном ситуация иная. Умножение ковектора на число приводит к тому, что у него кратно этому числу возрастает плотность линий. Если число больше единицы, то ковектор становится более плотным, если число меньше единицы, то линии становятся более редкими пропорционально числу.
Чисто алгебраически ковекторы удобно обозначать как матрицы-строки. При этом мы складываем и умножаем на числа эти строки фактически так же как и векторы, записываемые матрицами-столбцами.
Дуальные объекты
Итак, на данный момент что мы имеем? У нас есть два типа объектов, имеющих направление. Над ними можно производить операции сложения и умножения на число (скаляр). Векторы при этом меняют длину, а ковекторы — свою «плотность». Векторы изображаются как столбцы из их компонент, а ковекторы — как строки. Глядя на чисто алгебраическую запись этих объектов в виде строк и столбцов, вы можете подумать, что это всё не так уж и сложно. Что это просто перевёрнутые числовые массивы, превращающиеся друг в друга «транспонированием». Верно? Но это оптическая и смысловая иллюзия! Всё же матрицы-строки и матрицы-столбцы — это принципиально разные типы объектов. И вы могли подумать, что они похожи, потому что вы работали с ними в ортонормированном базисе. То есть в базисе, где все базисные объекты имеют единичную длину и перпендикулярны друг другу. И идея преобразования как простого переворачивания строки в столбец и наоборот в таких системах отсчёта действительно верна. В более общем случае абы какого базиса это уже не работает. Но данное наблюдение всё равно даёт нам возможность задуматься о том, не сопоставить ли нам эти объекты друг другу. Вы наверняка умеете перемножать матрицы. И знаете, что умножение строки, стоящей слева, на столбец справа даёт число. Значит, такое взаимодействие ковектора и вектора можно мыслить как отображение двух объектов в один. Или рассматривать ковектор как функцию, которая «съедает» вектор и даёт число. В математике такую «дружбу» называют дуальностью.
Давайте попробуем развить эту идею и посмотреть, что получится. Мы не рассмотрим ковекторы чисто как матрицы-строки, а как функции, «питающиеся» векторами и выдающие число. И уже исходя из этой идеи построим их геометрическую интерпретацию. Если данный подход приведёт к тому же самому геометрическому облику ковекторов, то можно это считать феерическим успехом, а себя — мега-мыслителем!
Прежде всего стоит заметить, что ковектор олицетворяет собой линейную функцию. Это весьма удобно. С линейными функциями и операторами крайне просто обращаться. Вынося из-под них множители, не нужно их возводить в какую-то степень или делать ещё более хитрые операции. Проверить это можно непосредственным вычислением в общем виде. Берём сперва складываем вектора, а потом действуем на них ковектором, а потом сперва действуем на оба вектора ковектором и складываем результаты. Значение данного отображения в обоих случаях совпадёт. Так же проверяется и линейность при умножении ковектора на число. Сперва умножаем вектор на число, а затем «съедаем» его ковектором и сравниваем с тем, что получилось при противоположном порядке действий: поглощённый ковектором вектор, после преобразования его в число, умножаем на константу.
Научившись использовать ковектор как функцию и узнав о линейности таковой, давайте попробуем опять понять её геометрический вид, забыв о том, что нам уже известно.
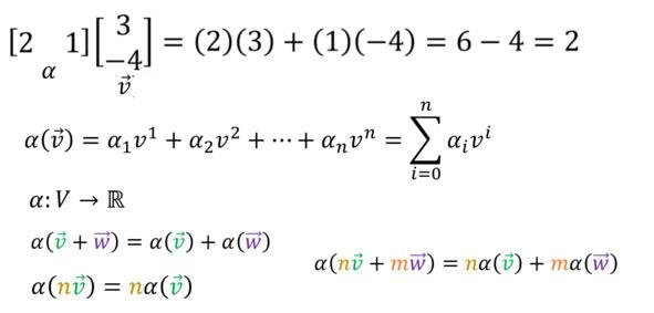
Мы знаем, что обычные векторы мы можем представить в виде стрелок. Но для визуализации функций это не очень удобно. Для геометрической интерпретации конкретного ковектора логично было бы выбрать какой-то один из них и позволить ему воздействовать на любые вектора. Так по деяниям его поймём суть его… Итак, фиксируем ковектор с конкретными компонентами в виде чисел, например [2;1]. А в качестве вектора берём столбец с двумя компонентами x и y, которые могут меняться. Таким образом, мы смотрим на ковектор как на функцию двух этих переменных (x и y). Как мы можем визуализировать функцию от двух переменных, которая выдаёт одно число? Ну что ж. Это очень похоже на проблему, с которой сталкиваются картографы, когда они хотят передать рельеф местности на двухмерном листе бумаги. Когда у вас есть топографическая карта, то вам в основном нужно показать склоны гор и долины, но только с помощью двух измерений. Вот что в этом случае делают топографы: они берут карту и рисуют на ней кривые с постоянной высотой. Так что, просто взглянув на эту карту, мы понимаем, что когда линии идут часто, то склон более крутой. Там же, где линии менее плотные, там местность более пологая, потому что высота меняется не так быстро. Удобно и наглядно! Правда? Так что давайте возьмём и используем эту идею. Возьмём наш ковектор как функцию и спросим себя, где она равна нолю. Спросить в математике означает просто приравнять к нолю нужное выражение, а потом уже угадать недостающие данные. Приравняв наш ковектор, «скушавший» вектор, к нолю, мы получим уравнение на x и y. Оно линейное, и значит, задаёт на плоскости прямую. Теперь спросим себя, где наша функция равна 1, 2, -1, -2 и всем остальным значениям. В итоге мы получим стопку одномерных поверхностей, прямых! Всё в точности как в нашей прежней геометрической интерпретации!
Обратите внимание, поскольку наши стопки увеличиваются вверх и вправо, мы можем добавить сюда маленькие стрелочки, как это делали раньше, указав положительное направления для «линий уровня». Всё вышло так, как мы и предположили в прошлых наших рассуждениях. Но это ещё не все приятности! Мы можем научиться воздействовать ковектором на вектор совершенно без алгебраических вычислений, глядя на их чисто геометрическое взаимодействие.
При этом для такого взаимодействия векторов и ковекторов нам не нужно ничего знать о системах координат и компонентах. Мы чертим их на плоскости и смотрим, какое количество стопок пробивает вектор и в каком направлении он это делает. Это количество пройденных насквозь линий и является значением функции ковектора на данном векторе. Если направление вектора и ковектора противоположны, то значение функции будет отрицательным, если вектор идёт вдоль линии ковектора, то он не пробивает ни одной из них, а значит, значение равно нолю.
Легко в этой интерпретации узреть и линейность данного рода взаимодействий. Всё в точности как в алгебраических формулах, те же результаты для ковекторов и векторов с заданными компонентами. Умножение ковектора на число приводит к увеличению плотности линий, и, поглощая вектор, он вызывает пробитие стрелкой иного количества линий, что приводит к иному результату. Отлично работает и описанное нами ранее геометрическое сложение ковекторов. Непосредственно и наглядно давая полученные из алгебры строк и столбцов результаты.
В связи со всем этим ковекторы можно называть полноценными дуальными объектами. Обычно это обозначают, ставя звёздочку у соответствующего множества (пространства) V векторов, намекая на то, что это уже пространство дуальных к ним ковекторов V*.
Напомним, что есть такая штука, как линейное векторное пространство. Это когда у вас есть куча объектов, которые можно складывать и умножать на числа. Главное, чтобы эти операции можно было менять местами (коммутативность), чтобы они не зависели от порядка выполнения (ассоциативность) и чтобы в наборе имелись ноль и единица. При этом сами объекты могут быть любыми: не только векторы, но и матрицы, функции или ковекторы.
Но раз ковекторы дуальны векторам, а векторы имеют компоненты в некотором базисе, то и для ковекторов можно ввести базис. В качестве такового можно взять любые линейно независимые ковекторы. То есть набор таких ковекторов, каждый из которых нельзя выразить как комбинацию остальных. Линейная независимость является расширением понятия неколлинеарности и некомпланарности на случай большего числа измерений, чем 2 и 3. Но если у нас есть ортонормированный базис векторов, каждый из которых имеет единичную длину и ортогонален остальным, то ему можно сопоставить дуальный, или, как ещё говорят, сопряжённый базис. Он будет уникален для каждого такого набора базисных векторов. Для его получения выбирают такие ковекторы, которые, съедая базисные векторы, выдают в качестве значения либо ноль, либо единицу. Выбрав такие объекты, мы сможем разложить любой ковектор как линейную комбинацию базисных.
Интрига с разными компонентами
Каждый раз, когда имеешь дело с дуальными объектами, невольно задумываешься, чем обусловлена сама эта дуальность. Вспоминаются поговорки про две стороны одной медали и прочие народные премудрости. Не единая ли сущность предстала перед тобой в разных обликах? Что ж, многие знания — многие печали. И на наших новых дуальных знакомых, векторах и ковекторах, нам придётся посмотреть с этой же стороны. А значит, нам придётся опять творить, изощряться и выкручиваться, переводя на корректный и удобный математический язык новые наблюдательные данные.
А поразмыслить действительно есть над чем. Сегодня мы знаем, что по второму закону Ньютона сила является произведением импульса по времени. А значит, по нашей с вами уже установленной классификации сила должна являться вектором. Контравариантным объектом, как и скорость. Если вы решаете задачу о движении тела под действием силы тяжести, то вы можете её найти как производную импульса. Эта операция оставляет контравариантный объект контравариантным. С другой стороны, эту же самую силу можно найти как градиент некоего скалярного поля — гравитационного потенциала. Таким образом, сила предстаёт перед нами классическим ковектором. Но как же так? Не можем же мы приравнять вектор ковектору? Это совершенно разные объекты, хоть и дуальные.
Но такова жизнь, и так устроен мир. Придётся принять сей факт и как-то разбираться и с этим. Вышеописанные наблюдения заставляют нас признать следующее: такой объект, как сила, может быть описан и как вектор, и как ковектор. А значит, это единый объект, проявляющий в определённых обстоятельствах одни свойства, а в других — иные. Нам лишь остаётся смириться с этим и, апеллируя к философии дуальности, придумать, как вектору сопоставить ковариантные компоненты, а ковектору — контравариантные.
Что бы вы предприняли, обнаружив данную проблему, если бы были математиками-первооткрывателями? Иногда полезно самостоятельно попробовать решить проблему и поиграть в первопроходца. Это очень сильно углубляет понимание, и полученные потом знания остаются с вами навсегда, становясь частью вас.
Итак, у нас есть объект, который имеет направление, но иногда при смене координатного базиса удлиняется, а иногда увеличивает плотность, сохраняя свою как бы длину. Как и то, и другое приписать нашему направленному куда-то нечту? В вопросе, как всегда, содержится часть ответа. Описанное свойство говорит о том, что такая штука, как сила, имеет и те, и другие компоненты. И ковариантные, и контравариантные компоненты. А компоненты — это что? Это всего лишь определённые проекции. Поэтому мы можем поступить так. Будем представлять силу в виде более привычной нам стрелки и попробуем спроецировать её на оси координат двумя разными способами, и посмотрим, как эти два типа проекций меняются при смене базиса.
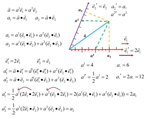
Для большей общности возьмём косоугольную систему координат. Проведём в ней некоторую абстрактную стрелку a. В таких системах координат базисные векторы друг другу не перпендикулярны, а расположены под острым или тупым углом. Но координатную сетку получают, проводя линии параллельно осям координат, задаваемым базисными векторами. Таким образом, просто опустим из начала и конца вектора линии на наши оси параллельно базисным векторам. Координаты нашей стрелки, полученные этим способом, как раз совпадают с тем, что мы изначально считали координатами вектора. Такие координаты мы называли контравариантными. Вспомните наш пример с карандашом, направленным на дверь. Все его разложения, приводимые в том примере, были как раз контравариантными компонентами карандаша в косоугольных базисах.
Чтобы получить ковариантные компоненты, нам нужно получить проекции вектора на базисные направления. Ведь именно проекция будет обладать нужным нам свойством — меняться согласованно с изменением самих базисных направлений и масштабов. Для получения ковариантных компонент нам нужно опустить перпендикуляры к нашим осям координат из начала и конца стрелки. Это и будут наши ковариантные компоненты, по сути проекции стрелки на базисные направления. Сразу становится понятным, почему раньше вы не задумывались о дуальной природе компонент вектора. В картезианской (прямоугольной системе координат, названной в честь Картезия, по-нашему — Де'Карта) контравариантные и ковариантные компоненты будут всегда совпадать!
Определившись со способом визуализации ковариантных и контравариантных компонент стрелки, самое время задуматься об обозначениях и утвердить их. Базисные векторы обозначают с индексом внизу. А контравариантные компоненты векторов с индексами вверху. Базисные ковекторы обозначают индексами вверху, а ковариантные компоненты обозначают индексами внизу. Это правило математики ввели, чтобы было удобнее раскладывать объекты на компоненты и дабы индексы были на разных уровнях. Тот факт, что индексы у контравариантных компонент находятся вверху, а у базисных векторов внизу, как бы намекает нам, что они преобразуются противоположным образом. Всё это облегчает восприятие, приятнее суммировать и вероятность запутаться меньше. Сплошные плюсы!
Теперь давайте поиграемся с первой осью нашей системы координат и увеличим базисный вектор в два раза. Видно, что контравариантные компоненты при этом уменьшаются в эти же самые два раза. Контравариантная метка компоненты теперь отсчитывает вдвое меньше базисных масштабов из-за увеличения длины масштаба. Как и должно быть!
А вот ковариантная метка как была воткнута в ось перпендикулярно ей, так и не поменяла своего места. Но зато базисный ковектор увеличил свою плотность в два раза. А значит, численно он увеличивает цену этого же отрезка вдвое! Опять в точку!
Теперь мы можем посмотреть и на другой способ преобразования наших координат — поворот. Две оси поворачивать скучно. Для большей наглядности и информативности давайте чисто визуально в виде стоп-кадров заценим, как по-разному будут вести себя контравариантные и ковариантные компоненты стрелки, если поворачивать, допустим, на этот раз вторую ось.
Пусть изначально оси координат будут ортогональны друг к другу. Затем будем наклонять вертикальную ось вправо-вниз. В этом случае ковариантная компонента неподвижной оси вообще не меняется, а для поворачивающейся следует за изменением её направления, оставаясь всего лишь послушной тенью.
При этом обе контравариантные компоненты вытворяют пируэты. Даже та, что относится к неподвижной оси. Они делают всё, чтобы из видоизменённых контравариантных компонент можно было бы собрать тот самый исходный вектор.
И вот уже это наблюдение наталкивает нас ещё на одну мысль. Мы можем ковариантные компоненты описать в терминах скалярного произведения стрелки на базисные векторы! Это даст ещё одну алгебраическую интерпретацию и методику вычисления ковариантных компонент.
Итак, наши контравариантные компоненты — это просто коэффициенты, стоящие перед базисными векторами в разложении нашего вектора.
Ковариантные компоненты — это скалярное произведение нашего вектора на базисные вектора. По сути, проекции, тени. Поэтому, когда базис меняется, эти проекции тоже меняются в сторону, следующую за изменением базиса. Только и всего.
Можем для примера вычислить их и увидеть, как масштабные множители, изменившие базис, выносятся, кое-где сокращаются и в итоге дают получить в точности тот результат, который нужен.
Итак, подытожим. Мы с вами увидели, что есть величины, имеющие направление и интенсивность (длину, плотность) как вещи в себе. Их можно мыслить как некие инвариантные объекты, которые, тем не менее, можно представлять разными типами компонент. Компоненты в зависимости от типа преобразуются по-разному. Для каких-то из этих величин ковариантное представление более естественно, для других — контравариантное. Но в силу взаимной однозначности таких представлений нас это волновать уже не должно. Мы научились оперировать с каждым типом компонент как с самостоятельным геометрическим объектом. Получили два вида представления направленных объектов в виде векторов и ковекторов. Что из этого использовать — зависит от задачи. Мы увидели ясно, почему происходит такое разделение. Когда вы движетесь к двери, она движется в противоположную сторону — к вам.
Контравариантность — это дверь, которая «бежит» к вам, когда вы идёте к ней. Ковариантность — это ваши шаги, которые гарантируют: чем больше вы их делаете (в направлении двери), тем ближе она становится. Что может быть проще?
Необходимость введения тензора
Мир вокруг устроен порой весьма сложно. И для исчерпывающего описания явлений, с которыми сталкиваются человеки, одними стрелочками не обойтись. В этом разделе мы с вами естественным образом придём к такому объекту, как тензор. И уже опираясь на этот первый пример, сможем развить это понятие, увидев его элементы и в стрелочках, и в более сложных штуковинах.
Почему вектора не хватило
Представьте, что вы — инженер XIX века, и ваша задача — рассчитать прочность моста. Вы знаете, что сила — это вектор: у неё есть направление и величина. «Отлично! — думаете вы. — Запишу все силы векторами и сложу их!» И тут приходит прозрение: чтобы описать, что происходит внутри материала, вектора недостаточно. Нужен объект, который хранит информацию не только о силе, но и о том, как она распределена по бесконечно малым площадкам, какие в них действуют напряжения. Так начинается история тензоров. Одним из первых примеров тензора ранга больше чем 1 (о рангах позже) был тензор напряжений. Собственно, само слово «тензор» происходит от латинского tensus, означающего «напряжённый».
Напряжение — это мера того, как частицы материала «общаются» друг с другом под нагрузкой. Представьте, что каждая частица — житель многоквартирного дома: Сосед сверху давит на неё (нормальное напряжение); сосед слева пытается выдернуть её с места с доворотом вокруг своей оси (касательное напряжение); и так с каждым из соседей что-то да происходит. Вектор может описать, например, суммарную силу, действующую на весь дом. Но чтобы понять, кто из его элементов кого конкретно толкает, нужна полная сводка по каждому элементу и уровню. Для этого инженеры придумали выделять бесконечно малый кубик материала и смотреть на силы, действующие на каждую из его шести граней.
Отдельно нужно прокомментировать понятие бесконечно малого кубика. Лейбницу и Ньютону часто предъявляли за подобные высказывания. Действительно, что такое бесконечно малый объём? Почему бесконечно малую величину вы иногда считаете не нолём и обращаетесь с ней как с параметром, а иногда отбрасываете как настоящий ноль? В качестве оправдания такого подхода Лейбниц говорил: «Прибавьте к горе песчинку. Вы можете её учитывать, считая частью горы, а можете не учитывать и пренебречь её параметрами в сравнении с величием горы — это и есть бесконечно малая». Исчисление бесконечно малых обогатило человечество колоссальными инженерными достижениями ещё до того, как было переосмыслено и строго непротиворечиво обосновано в трудах Огюстена Коши, Карла Вейерштрасса и других математиков. Это теория пределов и всё то, что вам рассказывают на матанализе. В физике бесконечно малыми считаются реальные (не бесконечно малые!) величины, которые малы в сравнении с другими параметрами системы. Их игнорируют, если их вклад в результат незначителен. Хотя с точки зрения математики с ними работают как в классическом матанализе.
Итак. Представим себе некоторое тело и какой-то маленький элемент внутри него.
Напряжения возникают в теле при его нагружении (деформации, сжатии, скручивании) как реакция частиц на попытку внешних сил изменить их взаимное расположение. Эти внутренние силы сопротивления удерживают частицы от смещения.
В одной и той же точке материала напряжения могут различаться в зависимости от направления. Например, соседние частицы могут «давить» вдоль одной оси и «сдвигать» вдоль другой. В простых случаях, таких как растяжение или сжатие бруса, определить максимальные напряжения относительно легко. Однако при сложных нагрузках задача усложняется: требуется анализировать, как напряжения меняются при повороте условных площадок внутри материала.
Для этого изучают напряжённое состояние — совокупность всех напряжений, действующих на бесконечно малый элемент вокруг точки. Такой подход позволяет найти опасные зоны, где напряжения достигают критических значений, и предотвратить разрушение конструкции. Коротко: напряжения — это внутренний ответ материала на внешние силы, а их анализ требует учёта всех направлений и типов воздействия.
Попытки первооткрывателей справиться с описанием всех этих напряжений, тянущих и сдвигающих точку в разные стороны, были вполне естественны. Кстати, что бы вы сделали на их месте? Как учли бы в едином описании всевозможные силы упругости, действующие на элемент тела?
Наши первооткрыватели первично вводили систему координат XYZ и рассматривали координатные плоскости как основу для бесконечно малых площадочек. Силы, действующие на каждую из площадок, первооткрыватели обозначали максимально просто. Xx, Xy, Xz, Yx, Yy, Yz, Zx, Zy, Zz. Под этими символами подразумевали проекции напряжений, действующих на гранях элементарного кубика или на площадке, соответствующей конкретной оси координат. Вполне естественно выглядит! Согласитесь?
В последствии в XIX веке наступило прозрение, что эти девять чисел — есть единый объект! Его-то и назвали тензором напряжений.
Как видите, всё просто в математике, гениально и просто. Где невозможно обойтись одним вектором, ничто не мешает нам взять их несколько штук!
Сегодня обозначения отличаются от тогдашних. Тензор напряжений принято обозначать чаще всего греческой буквой «сигма» с двумя индексами или латинской буквой P. Первый индекс показывает, о какой грани или площадочке идёт речь, а второй — о каком компоненте вектора напряжения, относящегося к этой площадке.
Возможно, вы спросите, почему нельзя просто взять и сложить все эти силы или их компоненты, действующие в одном направлении, приложенных к точке, и получить вектор силы на единицу площади? Почему, например, нельзя сложить Pxx и Pyx? Дело в том, что хотя силы действуют в одном направлении в одной точке, их природа различна. Например, Pxx тянет объект влево и хочет, чтобы соответствующая этой компоненте грань выступала влево. В то же время Pyx действует, чтобы сдвинуть или потянуть выделенную перпендикулярную оси Y грань влево. Эта компонента силы хочет создать трёхмерный параллелограмм вместо выступа. Сдвиг и растяжение приводят к тому, что тело деформируется по-разному в разных направлениях. Поэтому эти компоненты и вектора нельзя складывать. Поэтому же, помимо указания сил, необходимо указывать поверхность, на которую действует сила. Если сложить их «в лоб», получится бессмысленная смесь разнонаправленных векторов. Это как сложить скорость ветра и силу тяжести — формально числа есть, но физического смысла нет.
Представьте кубик, на который действуют: растяжение по оси X, равное 10 МП (Мега Паскалей), и сдвиг по грани XY, равное 5 МП. Если сложить эти силы, мы получим 15 МП, но это не будет иметь смысла: растяжение и сдвиг — разные типы воздействия. Чтобы найти, например, максимальное растягивающее напряжение под углом 30°, нужно использовать тензор, всю совокупность действующих напряжений, а не сумму компонент.
Какой мы теперь делаем вывод из всего этого? Тензор напряжений — это единственный способ корректно описать, как силы распределены по всем направлениям и площадкам в точке материала. Простое сложение компонент:
— смешивает разнородные величины (нормальные и касательные напряжения);
— игнорирует зависимость напряжений от ориентации;
— нарушает законы физики (например, парность касательных напряжений).
Можно привести простую аналогию: Представьте, что тензор — это палитра художника, где каждый цвет (компонент напряжения) отвечает за определённый оттенок. Если смешать все краски в кучу, получится грязно-коричневая масса. Только используя цвета по правилам (тензорный формализм), можно создать точную картину напряжённого состояния.
Исчерпывающее описание
Давайте теперь задумаемся над тем, почему тензора напряжения как совокупности трёх векторов достаточно для описания вообще всех мыслимых и немыслимых напряжений в теле? Всего три вектора, приставленных к трём площадкам, могут решить любой вопрос.
Для этого анализа давайте вспомним доступные нам операции. Мы можем записать три вектора напряжений, приложенных каждый к своей ориентированной площадке, в виде прямоугольной таблицы из девяти компонент, называемой матрицей. Матрицы могут умножаться на другие матрицы, и в частности на матрицы-строки и матрицы-столбцы.
Если из элементов матрицы составить некоторые алгебраические комбинации, то мы можем получить так называемые инварианты — величины, которые будут неизменны при переходе к другой системе координат. На всякий случай напомним, что матрицы умножаются по правилу «строка на столбец». Умножаясь на вектор справа или на ковектор слева, они дают тот же тип объекта (вектор и ковектор соответственно) и в этом смысле являются операторами. То есть объектами, которые преобразуют вектора, превращая их в другие вектора. Матрица — это оператор, то есть превращатель. Если вектора, на которые воздействуем, мы стали рассматривать в новом базисе, то и превращатель разумно тоже рассмотреть с новой точки зрения — из нового же базиса!
I2 — вторая симметрическая сумма,
I3 — детерминант.
У вектора при смене базиса не меняется его «длина» или, как её называют в более абстрактном случае, норма. У матрицы тоже есть несколько типов инвариантов. Это её след — сумма диагональных элементов, определитель (детерминант) и сумма главных миноров второго порядка (или вторая симметрическая сумма). Инварианты — это «душа» матрицы. Они остаются неизменными, даже если вы смотрите на объект под разными углами. Как говорил математик Герман Вейль: «Инварианты — это то, что остаётся, когда всё остальное ушло».
Как эти математические действия помогут нам получать информацию из тензора напряжений? Ну, во-первых, сразу видно, что вместо одной длины вектора у нас есть три каких-то инварианта! Каждый из них наверняка расскажет нам о чём-то своём, специфическом именно ему качестве. Во-вторых, матрица оказалась неким преобразователем, который, беря направление (вектор), видоизменяет его. И по деяниям такого оператора можно смело делать выводы о внутренней структуре, закодированной матрицей, олицетворяющей наш тензор напряжений.
- Басты
- Физика
- Юрий Бердинский
- Тензоры. Что может быть проще
- Тегін фрагмент
