Ирина Васильевна Черняева
Секреты экономики
Шрифты предоставлены компанией «ПараТайп»
Благодарности:
Юрий Александрович Черняев
© Ирина Васильевна Черняева, 2019
Состояние экономики характеризует первичная информация, создаваемая самими хозяйствующими субъектами. Финансовая отчётность любой организации — кладезь секретов, искусством раскрытия которых обучено крайне ограниченное число специалистов.
Книга поможет всем, кто хочет научиться читать бухгалтерский отчёт.
0+
ISBN 978-5-4496-3278-4
Создано в интеллектуальной издательской системе Ridero
Оглавление
- Секреты экономики
- Вместо введения
- Глава 1. Прорывная экономическая идея
- 1.1. Основная воспроизводственная пропорция
- 1.2. Триумф российской финансовой школы
- 1.3. Концепция экономической ценности затрат на производство
- 1.4. Логические формулы создания экономической ценности
- Формула производства
- Формула распределения
- Формула обмена
- Формула потребления
- 1.5. Математическая формула экономической ценности
- Глава 2. Цифровая экономика
- 2.1. Реальный сектор экономики в цифре
- 2.2. Логика формирования экономической информации
- Этап I. Информация о производстве
- Этап II. Информация о денежных потоках
- Этап III. Информация о финансах
- 2.3. Анализ действующей практики
- Глава 3. Секреты реального сектора
- 3.1. Производство
- 3.2. Сколько стоит труд
- 3.3. Стоимость / Финансы
- 3.4. Деньги
- Главный секрет экономики
Вместо введения
Основную причину перманентного кризиса глобальной экономики следует искать в фатальных догматах экономической теории. Эту позицию разделяет, в частности, Джеймс Гэлбрейт. В исследовании, посвященном творчеству своего отца — американского экономиста и одного из виднейших теоретиков XX века Джона Кеннет Гэлбрейта — он утверждает: «Академическая экономика ушла в загадочную страну неясных формальных моделей, догматических правил и интеллектуальной бессвязности, за которыми скрывались лоббисты и богатые заказчики. Пришли и ушли монетаризм, экономика предложения, а затем и рациональные ожидания. В конце концов научная дисциплина окуклилась и в значительной степени перестала взаимодействовать с внешним миром, оставив в публичной сфере лишь представителей второго уровня для реализации раз и навсегда сформулированных догматических правил»[1].
Уйти от абстрактных догм значит заняться поиском аргументов их несостоятельности, предложить новые адекватные правила ведения хозяйства и подтвердить достоверность результатов научного поиска на практике.
На этом пути автор провела концептуальные, модельные и натурные исследования, позволившие установить важнейшие причинно-следственные связи неудовлетворительного состояния отечественной экономики. Подготовлены новые методики управления бизнесом на основе публичной финансовой информации, в частности, инновационные методики экономического анализа и бизнес-планирования. Методики апробированы на практике. Организовано обучение в Онлайн-школе доктора Черняевой «Секреты экономики», основные положения базового курса которой изложены в настоящей книге.
[1] Гэлбрейт Джеймс. Экономист, определивший свою эпоху / ж. Вольная экономика. https://zen.yandex.ru/media/freeconomy/ekonomist-opredelivshii-svoiu-epohu-5c18fb6b776ed300aac4ff90
[1] Гэлбрейт Джеймс. Экономист, определивший свою эпоху / ж. Вольная экономика. https://zen.yandex.ru/media/freeconomy/ekonomist-opredelivshii-svoiu-epohu-5c18fb6b776ed300aac4ff90
Основную причину перманентного кризиса глобальной экономики следует искать в фатальных догматах экономической теории. Эту позицию разделяет, в частности, Джеймс Гэлбрейт. В исследовании, посвященном творчеству своего отца — американского экономиста и одного из виднейших теоретиков XX века Джона Кеннет Гэлбрейта — он утверждает: «Академическая экономика ушла в загадочную страну неясных формальных моделей, догматических правил и интеллектуальной бессвязности, за которыми скрывались лоббисты и богатые заказчики. Пришли и ушли монетаризм, экономика предложения, а затем и рациональные ожидания. В конце концов научная дисциплина окуклилась и в значительной степени перестала взаимодействовать с внешним миром, оставив в публичной сфере лишь представителей второго уровня для реализации раз и навсегда сформулированных догматических правил»[1].
Глава 1. Прорывная экономическая идея
У стрекозы 6 пар ног,
но ходить она не умеет
1.1. Основная воспроизводственная пропорция
Воспроизводственные отношения выстраиваются в логическую цепочку согласно семантике категории «экономика». Сначала Ксенофонт, затем Аристотель, оперируя к закону двойственного характера мира, определили экономику, с одной стороны, как науку о производстве (ойкономия), с другой, — в качестве искусства обогащения (хрематистика)[1]. В основе науки о производстве лежит закон стоимости; в основе искусства обогащения — законы спроса и предложения. Из этого следует, что единицей формирования информации о производстве выступает стоимость, единицей информации об обогащении — цена.
Архитектура экономической логики выстраивается на четырёх основаниях:
— элементы,
— законы,
— факторы,
— результаты,
совокупность которых характеризует внутреннюю логику воспроизводственного процесса в сфере ойкономии и его внешнюю логику в сфере хрематистики (рис. 1).
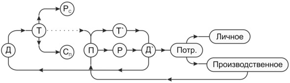
В процессе кругооборота авансированный капитал, как известно, проходит три стадии, последовательно принимая денежную (Д), производительную (ТРСп… П) и товарную (Т») формы. Логическим завершением кругооборота является метаморфоза товарной формы капитала снова в денежную (Д»).
Соотношение величины авансированного денежного потока (Д) и встречного ему потока денег за реализованный товар (Д») определяют сложившиеся в экономике отношения потребления, как неотъемлемая часть воспроизводственного процесса (рис. 3).
Обозначения на рисунке:
П — отношения производства,
Р — отношения распределения,
О — отношения обмена,
Потр. — отношения потребления
В таком случае логическая модель воспроизводственных отношений естественным образом коррелирует с логикой модели кругооборота денежного капитала, образуя интегрированную воспроизводственную модель (рис. 4).
Моделирование позволяет сделать два принципиальных вывода:
1. Отношения распределения (Р) возникают в сфере кругооборота денежного капитала на стадии производственного потребления (П) с целью формирования новой стоимости (Т') и задают вектор движения потоку денежных средств, поступивших из внешней среды (Д').
2. Отношения потребления выходят за рамки сферы кругооборота денежного капитала, провоцируя таким образом принятие субъективных решений по поводу денежной компенсации (восстановления) потреблённого в производстве капитала и затрат живого труда.
Субъективные решения в сфере потребления становятся неуправлямыми, если отсутствует механизм мониторинга восстановления потреблённой стоимости затрат живого и прошлого труда. Именно этим обстоятельством объясняется разрушение производственных объектов, приватизированных в 90-е годы, предбанкротное состояние большинства функционирующих хозяйствующих субъектов и, как следствие, падение уровня ВВП.
Как исправить ситуацию и в чём суть прорывной экономической идеи? Ответ позволяет получить новое направление в экономической науке — «цифровая экономика». Логика следующая: необходимо различать понятия «цифра в экономике» и «экономика в цифре».
«Цифра в экономике» означает формальное выражение экономических индикаторов в цифровом виде, например, сумма выручки, объем валового внутреннего продукта, стоимость капитала, минимальный размер оплаты труда и т. д. Цифровой контент позволяет провести количественный анализ ситуации на основе огромного числа рекомендованных коэффициентов и формул.
Термин «экономика в цифре» несёт совершенно иную смысловую нагрузку и означает описание полного воспроизводственного цикла языком цифры. Такое описание представляет собой качественный анализ ситуации, по результатам которого принимаются эффективные управленческие решения (рис. 5).
При разработке алгоритма анализа экономики в цифре особое внимание необходимо обратить на проблемные зоны, выпадающие из кругооборота денежного капитала, т. е. на цифровое выражение отношений распределения и отношений потребления (см. рис. 4). Именно в этих зонах сегодня происходит нарушение воспроизводственной логики.
Так, действующая практика распределительных отношений построена на переподчинении вектора движения денеженых потоков от объективной финансовой логики к субъективной логике распорядителей денежных средств, провоцируя в том числе выведение денежного капитала из оборота.
Вышедшая из под контроля действующая практика реализации отношений потребления неминуемо ведёт к нарушению «основной воспроизводственной пропорции, т. е., пропорции между производством и потреблением»[2]. Исправить ситуацию традиционным способом — бюджетными инвестициями невозможно, поскольку экстенсивными методами невозможно решить проблемы внутреннего (эндогенного) характера. Инвестиции в национальные проекты, конечно, дадут некоторый количественный эффект, но экономическая эффективность будет незначительной.
Без восстановления логики воспроизводственных отношений ситуация в отечественной экономике не изменится, сколько бы ни было проектов и денежных вливаний. Первый шаг на этом пути связан с семантикой отношений распределения, в понятие которых разные национальные школы вкладывают противоположный смысл. Речь идёт, прежде всего, о сравнении российской и англо-американской финансовых школ. Триумфальную победу в этом интеллектуальном противостоянии одержала отечественная школа. К сожалению, отечественные реформаторы взяли на вооружение постулаты западных финансовых школ.
1.2. Триумф российской финансовой школы
Американская и отчасти европейская финансовые школы отождествляют финансы либо с деньгами (классическая теория финансов), либо с так называемой «триадой»: ресурсы, отношения, рынки (неоклассическая теория финансов). Под ресурсами понимается всё то, что обращается на финансовом рынке; под отношениями — договорные отношения, придающие правовой статус движению ресурсов; под рынком — место и механизм оформления отношений, связанных с движением ресурсов.
З. Боди и Р. Мертон — авторы базового учебника «Финансы» при подготовке специалистов в системе MBA — считают, что «Финансы (finance) — это наука о том, каким образом люди управляют расходованием и поступлением дефицитных денежных ресурсов на протяжении определенного периода времени»[3]. При этом под финансовой системой (financial system) Боди и Мертон понимают совокупность рынков и других институтов, используемых для заключения финансовых сделок, обмена активами и рисками.
Классическая теория финансов, или теория централизованных финансов, по мнению Кэмпбелла Р. Макконнелла и Стенли Л. Брю, носит характер функциональных финансов поскольку «Первоначальной целью федеральных финансов является обеспечение неинфляционной полной занятости, то есть балансирование экономики, а не бюджета. Если достижение этой цели сопровождается устойчивым положительным сальдо или большим и всё возрастающим государственным долгом — пусть будет так… Правительство не должно сомневаться, идя на введение любых дефицитов или излишков для достижения этой цели»[4]. Под функциональными финансами авторы понимают монетарные инструменты и методы государственного регулирования экономики.
Стивен А. Росс вообще не связывает финансовую науку с производством, утверждая, что «главное направление финансовой теории связано с функционированием рынков капитала, предложением финансовых активов и способами их оценки. Как только задолженность становится объектом торговли, складываются рынки капитала, возникает и предмет финансовой науки»[5].
В словаре Р. Паркера приводится следующее определение: «Финансы — обобщенный термин, используемый для характеристики монетарных ресурсов и способов их генерирования и использования»[6].
Л. Гитман утверждает, что «Финансы — это искусство и наука управления деньгами. Финансы охватывают процессы, институты, рынки и инструменты, имеющие отношение к циркуляции денежных средств между индивидуумами, фирмами и правительствами»[7].
В Словаре современной экономики приводится следующее определение: «Финансы — в узком смысле могут быть интерпретированы как капитал в монетарной форме, т. е. в форме фондов, выданных или полученных, как правило, с долгосрочной целью, с помощью финансового рынка или института. В широком смысле этот термин относится к фондам, полученным из любых источников и используемым для несения любых расходов»[8].
Краткий обзор дефиниций показывает, что англо-американская финансовая школа фактически стоит на позициях идентичности категорий «финансы» и «деньги». Как следствие, практика формирования «финансовых пузырей» в глобальной экономике не находит своего решения.
На принципиально иных принципах сформирована российская финансовая наука. Её основатель В. П. Дьяченко в работе «Общее учение о советских финансах» (1946 г.) подверг обоснованной критике положение, согласно которому финансы рассматриваются как совокупность денежных средств. Российская финансовая наука определяет финансы как «область распределительных отношений, опосредствующих движение стоимости»[9].
Ученики и последователи Дьяченко (Аллахвердян Д. А., Гаретовский Н. В., Злобин И. Д., Шерменев М. К., Родионова В. М. и др.), в своих работах доказывали, что финансы возникают на второй стадии общественного воспроизводства — в процессе распределения стоимости общественного продукта (в её денежной форме), что именно распределительный характер финансов отражает их место и роль в ряду других стоимостных категорий товарного производства[10]. Финансы производны от денег, тем не менее, не тождественны деньгам.
Более того, по мнению В. М. Родионовой, финансы — это распределительно-стоимостная категория товарного производства, которая отнюдь не тождественна распорядительно-распределительному механизму управления народным хозяйством. Стоимостную категорию «финансы», исходя из её распределительной природы, можно использовать по-разному: либо в составе административно — командных рычагов управления, либо, учитывая объективные свойства этой категории, как стоимостной инструмент регулирования экономики, обеспечения её сбалансированности, роста и эффективности. Таким образом, формы использования финансов в качестве экономического инструмента, по мнению автора, зависят от модели хозяйствования, принятой политическим руководством страны[11].
Финансы выступают связующим звеном между наукой производства и искусством обогащения (рис. 6). Это значит, что:
1. Финансы определяют стоимостные пропорции потребления факторов производства и таким образом формируют новую стоимость (стоимость товара).
2. Деньги не имеют экономической логики. Вектор движения денежных средств, полученных от реализации товара, должен соответствовать финансовой логике распределения стоимости. На практике движение денежных потоков находится под влиянием субъективной воли распорядителей денежных средств и это привносит в экономику хаос и разрушение.
Созданию новой стоимости в производстве предшествует финансовое бизнес-планирование. Именно на этом этапе формируется основная воспроизводственная пропорция как объект финансового распределения и финансового контроля. На стадии планирования финансовыми инструментами формируются стоимостные пропорции в структуре новой стоимости. Контроль соблюдения этих пропорций осуществляется на стадии потребления, когда стоимостные параметры приобрели денежное выражение (рис. 7).
Согласно производственной функции, объем производства зависит прежде всего от основных факторов — живого труда (L) и капитала (К). Под капиталом здесь понимается стоимость орудий труда, т. е., стоимость физической формы капитала. Производственная функция дает возможность выявить оптимальный размер издержек, необходимых для производства необходимого товара. При этом в стоимость товара включается не вся стоимость орудий труда, а только её часть, т. е., сумма начисленной амортизации (А). Именно эта часть стоимости потребления капитала определяется в процессе финансового планирования.
Финансовый контроль за функцией потребления выражается в контроле соответствия денежной компенсации затрат живого труда и потреблённой стоимости капитала. Без участия финансов процесс капиталообразования на эндогенной основе невозможен. Посредством распределительной сущности финансов формируется механизм простого воспроизводства, или механизм капитал-функции в действии.
Влияние финансов на капитал-функцию поддаётся исследованию во взаимосвязи структуры капитала и соответствующей стадии капиталообразования (рис. 8).
Капитал существует только в движении. Капитал приводится в движение при помощи живого труда. Следовательно, на первой стадии капиталообразования необходимо сформировать оптимальное соотношение между трудом и функционирующим капиталом, т. е. обосновать техническую структуру капитала.
Скоростью движения капитала определяется уровень технологичности производства. Если скорость потребления капитала отстаёт от скорости научно-технического прогресса, такое производство теряет конкурентоспособность. Следовательно, необходимо научное обоснование скорости потребления стоимости капитальных активов и соответствующей ей стоимости потребления затрат живого труда. В результате формируется стоимостная структура капитала, или «ДНК экономики».
Завершающей стадией капиталообразования является восстановление потреблённой стоимости капитала в денежной форме. Потреблённая стоимость (начисленная амортизация) капитальных активов должна соответствовать изменениям технического строения капитала, вызванным научно-техническим прогрессом. Так формируется органическая структура капитала.
Совокупность трёх фаз распределения стоимости (имущества, финансовой выручки и денежного дохода) образует финансовый механизм капиталообразования, или механизм устойчивого развития на эндогенной основе.
Финансовый механизм устойчивого экономического развития одновременно рассматривается в качестве механизма экономической безопасности, под которой понимается такое состояние совокупного капитала общества, при котором процесс устойчивого развития экономики и социально-экономическая стабильность обеспечиваются внутренними источниками, а внешние факторы рассматриваются в качестве дополнительных стимулов, либо препятствий. Гарантом экономической безопасности может служить только механизм развития на эндогенной основе.
1.3. Концепция экономической ценности затрат на производство
Переход на новые для страны общественные отношения означает смену базовых ценностей. Базовой ценностью капиталистического воспроизводства, является воспроизводство общественного капитала, под которым понимается совокупность живого и прошлого труда, находящегося в сложной системе взаимосвязей и взаимозависимостей. Такое воспроизводство предполагает непрерывное возобновление постоянного капитала (средств производства) и переменного капитала (рабочей силы, вовлечённой в процесс производства).
Капитал — это ценность, обладающая способностью к воспроизводству через механизм стоимости. Из определения следует, что исследование базовой ценности неразрывно связано с понимаем сути механизма формирования и продвижения новой стоимости на всех стадиях воспроизводственного цикла.
Уровень технологичности производства и качества производимых товаров определяет качество используемых средств производства. Будучи приобретёнными на рынке, т. е. получив общественное признание собственной стоимости, именно средства производства становятся «точкой отсчёта» при формировании новой стоимости.
Однако без участия живого труда средства производства останутся мёртвым капиталом. Трансформация стоимости средств производства в новую стоимость происходит в процессе воздействия актуальной энергии живого труда на потенциальную энергию прошлого труда. Синергия затрат живого и прошлого труда возникает в процессе обмена энергией этих факторов, а их созидательное взаимодействие осуществляется в результате внутреннего обмена. В отличие от внешнего обмена товара на деньги (Т — Д; Д — Т), в котором собственники и товара, и денег преследуют каждый свою цель, внутренний обмен характерен для связанных частей единого организма, настроенного на достижение общей цели. В этом их единство.
Основу любой национальной экономики составляет производство. Отношения производства, как и экономика в целом, имеет двойственную природу. Двойственная природа отношений производства выражается в создании не только естественной стоимости товара, но и его экономической ценности. Согласно Марксу, естественная стоимость (natural worth) какой-либо вещи состоит в ее способности удовлетворять потребности или служить удобствам человеческой жизни[12]. Чем сильнее потребность, тем выше естественная стоимость товара и цена, которую готов заплатить покупатель. Ограничителем выступает только покупательная способность последнего. Таким образом, естественная стоимость товара — понятие субъективное, основанное на покупательских предпочтениях и регулируемое законами спроса и предложения.
Экономическая ценность товара — это его «обратная» сторона, показывающая, какими усилиями (затратами) общества создана естественная стоимость товара. Экономическая ценность формируется на основе стоимостных характеристик затрат на производство, главной из которых выступает соотношение отдельных элементов стоимости. В капиталистической экономике базовыми элементами выступают составляющие совокупного капитала, т. е. совокупность живого и прошлого труда.
Экономическая ценность имеет объективный характер, а её создание регулируется законом соответствия производительных сил производственным отношениям. Это значит:
Во-первых, соответствие достигается на основе внутренней сбалансированности самих производительных сил, под которыми понимают личные и вещественные факторы производства в своей совокупности и взаимодействии. Согласно Марксу, средства производства наряду с физическим существованием могут жить экономической жизнью. Аналогично физической и экономической жизнью живёт труд. Поэтому внутреннее содержание капиталистического производства характеризует двойственный характер капитала, определяемый его техническими и стоимостными характеристиками. Строение капитала определяется «тем отношением, в котором капитал делится на постоянный капитал, или стоимость средств производства, и переменный капитал, или стоимость рабочей силы, то есть общую сумму заработной платы»[13].
Во-вторых, соответствие производительных сил производственным отношениям достигается посредством и в результате использования распределительных отношений, т. е. посредством механизма финансового распределения.
Данный тезис не вписывается в парадигму англо-американских и отчасти европейских финансовых школ, которые отождествляют категорию «финансы» либо с деньгами, либо с капиталом, либо с имуществом бизнеса. Триумфу монетаризма способствовал тот факт, что за этой парадигмой последовала значительная часть глобальной экономики, приблизив таким образом крах современной модели глобального рынка.
Отечественная финансовая школа одержала концептуальную победу над западными теориями финансов, но осталась «невыученным уроком» современной России. Сегодня у отечественных финансистов появился реальный шанс реванша, шанс на создание качественно новой модели рыночной экономики, основанной на принципах сбалансированного развития и справедливости.
В-третьих, соответствие достигается на основе закона стоимости. Причём в формировании современной концепции стоимости необходимо идти не от «трудовой теории» или «теории издержек», а на основе органической структуры капитала. В совокупном капитале заложена семантика и квинтэссенция адекватной экономики.
В производстве раскрывается феномен внутреннего обмена в структуре совокупного капитала, когда без обмена между энергией накопленных знаний, т. е. прошлого труда («поле») и энергией живого труда («вещество») прошлый труд превращается в «мёртвый капитал», а живой труд возвращается к своим истокам (ручному труду).
Экономический смысл внутреннего обмена затратами основных факторов производства выражается в том, что стоимость этих затрат формирует базис вновьсоздаваемой стоимости товара, а процесс потребления затрат называется производственным потреблением. В этом смысле производство есть потребление, а потребление — суть производство. Иначе говоря, производство есть потребление стоимости живого и прошлого труда путём внутреннего обмена энергией этих факторов.
Внутренние обменные процессы выстраиваются согласно универсальному закону единства и борьбы противоположностей. Соблюдать экономическую логику, значит следовать в русле универсальных законов бытия. Логика производственного потребления, выдержанная в русле закона единства и борьбы противоположностей, соответствует требованию баланса экономических интересов труда и капитала, поскольку только так соблюдается объективная потребность во взаимодействии живого и прошлого труда в процессе создания новой стоимости. Отсутствие такого баланса неизбежно провоцирует накал противоречий и социально-экономические конфликты. Сохранение логики воспроизводственных процессов полностью соответствует семантике либерализма; нарушение этой логики есть ни что иное, как либеральный фундаментализм.
В развитых экономиках эта проблема решается на микроуровне поскольку эволюционно развивающееся предпринимательство выработало иммунитет к провоцированию конфликтов и противоречий между трудом и капиталом. Отсюда высокие уровни оплаты труда и платёжеспособного спроса на товарных рынках. Но даже в этих странах экономическая логика соблюдается лишь отчасти, в силу хозяйственной необходимости, а не с учётом объективной закономерности.
Другое дело развивающиеся экономики, где противоречия и протестные настроения проходят долгий путь созревания. За это время собственники капитала, отравленные догмами либерального фундаментализма, разрушают национальную экономику, превращая накопленные и воплощенные в орудиях труда знания (функционирующий капитал) в виртуальный финансовый или «пустышку» денежный капитал, исключённый из процесса создания ценностей. Надежда на светлое будущее таких экономик останется легендой, если социально-экономическую функцию не возьмёт на себя государство.
В арсенале государства есть эффективный инструмент регулирования экономических противоречий, который стоит воспринимать в качестве альтернативы т. н. «ручному» управлению. Использование такого инструмента означает болезненный путь перехода от единоличной власти к действительно государственному управлению. Но только на этом пути возможно сохранение самого государства без нарушения прав свободного предпринимательства и свободного ценообразования.
История не знает прецедента регулирования капиталистическим государством производственных процессов как, впрочем, и не имела опыта перехода от социализма к капитализму. У России есть шанс ещё раз стать пионерами новой истории, но теперь не спонтанно, а с конкретным целеполаганием. Начинать нужно с крупных и средних предприятий добывающей и обрабатывающей промышленности, будь то аграрный сектор, энергетика, добыча полезных ископаемых, машиностроение, пищевая и лёгкая промышленность, транспорт. Крайне актуально использование встроенных регуляторов в ходе реализации национальных проектов.
Особенностью стадии производства является то, что процесс потребления части стоимости прошлого труда и стоимости услуг живого труда приобретает качественные характеристики только при условии соблюдения определённых пропорций между ними. Между затратами живого и прошлого труда не может не быть пропорциональной зависимости, как не могут не взаимодействовать отдельные части живого организма.
Единство противоположных по сути факторов экономики выражается в следующем:
— Единство философии живого и прошлого труда, в основе которых лежат знания.
— Единство критериев оценки затрат живого и прошлого труда, а именно стоимостная оценка.
— Эффект синергии, возникающей в результате реализации производственной функции.
Устанавливая научно обоснованные стоимостные пропорции взаимодействия живого и прошлого труда, современное цивилизованное общество получает возможность регулировать классовые противоречия между трудом и капиталом, социальный характер которых действительно носит объективный характер. В стоимостной оценке этих затрат никаких противоречий нет. На практике такие противоречия искусственно создаются путём лоббирования интересов собственников капитала.
Это мнение разделяют многие отечественные и зарубежные экономисты. В частности, Руслан Дзарасов считает, что в результате переноса развитыми странами трудоизбыточных процессов в регионы с низкой оплатой труда «Возникает порочный круг, когда противоречия капитализма временно преодолевают за счет усиления эксплуатации периферии, что еще больше подрывает его эффективность. Именно эта логика и лежит в основе современного мирового экономического кризиса»[14].
К мнению учёного остаётся добавить лишь то, что и в самих развитых странах проблема разбалансированной стоимости живого и прошлого труда тоже не решена и продолжается «игра» в пользу капитала. В качестве сдерживающего фактора в этих странах используется протестная активность профсоюзов, эффективность которой весьма сомнительна и неизбежно влечёт негативные социальные последствия и высокие транзакционные издержки.
Либеральных фундаменталистов вполне устраивает догматическое правило, введённое более 200 лет назад в оборот классиками политэкономии: «стоимость труда оценивается временем». Правило давно потеряло экономический смысл поскольку энергия не может оцениваться линейным временем; у неё должен быть свой стоимостной критерий. И таким критерием может быть только один — эквивалентная стоимость потреблённой энергии затрат прошлого труда. Совокупность эквивалентных стоимостей в структуре вновь созданной стоимости и есть объективно необходимые затраты, в которых отражается созданная производителем экономическая ценность.
Не всякая добавленная стоимость представляет собой экономическую ценность. Между ними два отличия:
Первое отличие: в структуре потреблённых в процессе производства стоимостей факторов производства. Разбалансированная структура потреблённых стоимостей (сложившаяся в пользу одного из собственников — труда или капитала) неизбежно ведёт к структурным диспропорциям в национальной экономике и инфляционным процессам. Такая добавленная стоимость не может признаваться экономически ценной.
Второе отличие: в распределении денежной выручки от реализации вновьсозданной стоимости. Например, сборочные производства, функционирующие в том числе в России, обеспечивают рост экономики. Однако ни одно сборочное предприятие не обладает информацией (а значит, не имеет фактически) собственного интеллектуального капитала. И это при том, что его физический капитал принадлежит материнской компании, расположенной в экономически развитой стране. Таким образом, сборочное производство не имеет ни физического, ни интеллектуального капитала и представляет собой всего лишь способ трудоустройства дешёвой рабочей силы. Так организован «порочный круг нищеты», экономическая логика которого бьёт, в том числе, по развитым странам. Отличие в том, что развитые страны нашли выход и возвращают производство в естественный воспроизводственный процесс; у развивающихся экономик только один путь — создание хозяйственного механизма, ориентированного на создание экономической ценности.
Экономически ценными признаются такие затраты на производство, структура стоимости которых не провоцирует противоречий между трудом и капиталом. Создание экономической ценности в составе добавленной стоимости несёт в себе качественные характеристики воспроизводственного процесса, под которыми понимается гармония экономики, или такое общественное производство, в котором развитие основных факторов производства — труда и капитала — не усиливает их социальное противоречие. Создание экономической ценности единственный путь к устойчивому сбалансированному развитию экономики, её независимости от внешних факторов, а значит, подлинной экономической безопасности.
Концептуально вопрос пропорциональной зависимости между стоимостью затрат живого и прошлого труда имеет определённое решение, прошел публичное обсуждение и получил название «Модель развития на эндогенной основе»[15]. По сути речь идёт о механизме регулирования соответствия стоимости затрат живого и прошлого труда в реальном секторе экономики, предназначенном для использования в качестве встроенного регулятора.
Разработанная на этой основе методика бизнес-планирования апробирована на практике и показала заслуживающие внимания результаты.
Разработанная Марксом концепция органической структуры капитала позволяет утверждать, что создаваемая стоимость (С) должна быть достаточно обеспечена экономической ценностью (Ц) и является функцией ценности:
f=С (Ц)
При прочих равных условиях, стоимость, получившую общественное признание (реализованную стоимость), можно принять равной ценности (Ц):
С=Ц
Согласно производственной функции, выход продукции определяется оптимальным сочетанием факторов производства (Q=L×K). Следовательно, экономическая ценность товара (ЦT) является функцией от ценности потреблённых в производстве факторов:
ЦT =ЦL×ЦK,
где:
Q — выпуск продукции;
L — труд,
K — капитал;
ЦL — ценность затрат труда,
ЦK — ценность потреблённого капитала.
Стоимость товара рассчитывается как сумма стоимостей факторов производства и представляется некоторой величиной С:
С = С1 + С2 + … + Сn
Без обоснования параметров соотношения стоимостей потреблённых факторов производства новая стоимость приобретает гипертрофированные формы, обесценивая процесс управления производимой ценностью в обществе. Классический пример — отраслевое нормирование затрат.
Кроме того, при неизменной стоимости продукта неравенство стоимостей основных факторов производства (труд и капитал) приведет к снижению результирующей производственной функции, а, значит, к снижению экономической ценности этого продукта и экономической полезности производства. Следовательно, экономическая полезность продукта (Пэ) прямо пропорциональна его экономической ценности (ЦЭ) и обратно пропорциональна его стоимости (С):
ПЭ=ЦЭ ÷ С
Под экономической ценностью (ЦЭ) понимаются общественно необходимые затраты потребления основных факторов, определяемые по формуле:
ЦЭ=2×min (L,A),
где:
L — стоимость потреблённого труда,
А — стоимость потреблённого капитала,
Q — суммарная стоимость факторов производства (труда и капитала) в составе полной стоимости произведенного продукта.
Всё вышесказанное даёт основание для переосмысления теории стоимости, теоретическим фундаментом которой становится концепция органического строения капитала. Экономическая ценность по сути есть цивилизационная ценность. Подлинной цивилизационной ценностью, воплощённой в товаре, являются накопленные человечеством знания, воплощённые в орудиях труда и приводимые в действие живым трудом, обладающим современными знаниями. Соединение энергий живого и прошлого труда — суть процесса создания экономической ценности. Синергия человеческого капитала и предметной части производительного капитала позволяет получить максимальный социально-экономический эффект только при условии, что живой и прошлый труд находятся не только в состоянии перманентной борьбы противоположностей, но и в состоянии органического единства. Таким образом, экономически ценными признаются таки затраты на производство, стоимость которых не провоцирует усиление противоречия между трудом и капиталом.
Критерием экономической ценности товара является непревышение стоимости затрат живого труда над стоимостью потребленных в производстве затрат прошлого труда (рис. 9).
где:
А — стоимость затрат прошлого труда (амортизация),
L — стоимость затрат живого труда,
Р — прибыль.
Сбалансированная стоимость — устойчивый внутренний источник развития. Напротив, дисбаланс в структуре экономической ценности, спровоцированный нерегулируемой структурой стоимости общественного продукта, является первопричиной структурных диспропорций в национальной экономике и препятствием на пути решения социально-экономических проблем. Механизм управления структурой новой стоимости, по сути, является механизмом управления сбалансированным развитием экономики поскольку позволяет обеспечить непрерывность воспроизводства ценностей на эндогенной основе. Именно этого механизма не достаёт в алгоритме заявленного экономического прорыва в экономике России.
1.4. Логические формулы создания экономической ценности
Экономические отношения реализуются в соответствующих процессах, которые имеют описание в смысловой, структурной и математической формулах. Формула позволяет выявить устойчивые зависимости и соответствия. Более того, именно в этом основное практическое значение формализованных отношений.
Кругооборот экономических благ, обращающихся в закрытой системе, неизменен на всех этапах своего движения, включая производство, распределение, обмен и потребление. Следовательно, стоимость факторов производства, потреблённых в релевантном периоде, вновь созданная стоимость и денежные потоки, сопровождающие процесс реализации новой стоимости, находятся в определённой связи и взаимозависимости.
Формула производства
Экономическая формула производства, описывает процесс создания новой стоимости (стоимости товара) за счёт потребления ранее созданной стоимости (стоимости факторов производства). Результат эффективности отношений производства оценивается как качеством естественной ценности созданного товара (субъективное), так и его экономической ценностью (объективное).
Экономическая ценность товара, созданная на стадии производства, определяется уровнем сбалансированности органической структуры капитала. Органическая структура капитала в отечественной экономике сегодня крайне разбалансирована: на 1 единицу стоимости потребленного капитала в среднем приходится более 4 единиц стоимости живого труда. В такой ситуации воспроизводство капитала в российской экономике стремительно падает, а накопление капитала стимулируется преимущественно внешними инвестициями.
Не последнюю роль в этом играет принятая на макроуровне оценка стоимости потребления капитала. В Методических указаниях Росстата содержится следующее определение: «Потребление основного капитала — это оценка величины уменьшения в течение отчетного года текущей рыночной стоимости запаса основного капитала за счет снижения ожидаемых доходов от его эксплуатации, вызванного снижением текущей эффективности основных фондов и сокращением оставшегося срока их службы. Его расчет проведен с использованием метода непрерывной инвентаризации»[16].
Таким образом, механизм простого воспроизводства основного капитала, т. е. восстановления его стоимости на уровне потреблённой в производстве стоимости, исключён из стратегии управления национальной экономикой. Данный тезис подтверждает тот факт, что стоимость потреблённого в производстве основного капитала отражается в Системе Национальных Счетов в составе валовой прибыли. Это значит, что амортизация из средства (активы) и источника (пассивы) сведена к источнику, не имеющему материального подтветрждения. «Выпавшая» из СНС часть активов в форме амортизации не позволяет оценить степень восстановления потреблённой стоимости основного капитала национальной экономики.
Кроме того, внутренние источники финансирования, будь то накопленная амортизация или валовая прибыль, остаются продуктами финансового распределения, абстрактными величинами до тех пор, пока их расчётное значение не будет подтверждено реальными денежными потоками.
В такой ситуации предложения реализации стратегии «рывка в экономике» повышением заработной платы только усугубят проблему разбалансированности вновь созданной стоимости и структурного дисбаланса экономики в целом.
Обратить негативные процессы вспять возможно только одним способом — приблизить скорость производственного потребления капитала к скорости научно-технического прогресса. На практике это значит, что в процессе хозяйственного планирования норма амортизации капитального имущества (НА) должна быть не ниже скорости НТП (ТНТП) в данной отрасли машиностроения и приборостроения, или:
НА=ТНТП
Логика отношений производства реализуется в механизме отношений, возникающих на стыке двух сфер: собственно производства и распределения. Логика формализуется в процессе финансового бизнес-планирования, финансового контроля и анализа финансово-хозяйственной деятельности. Поскольку производственные отношения отражают суть созидательных процессов в любой экономической системе, постольку формула производства является базовым элементом формулы экономики.
Формула распределения
Вторая стадия воспроизводственных отношений «распределение» имеет наиболее проблемный характер как с точки зрения теории, так и мировой практики. Большинство западных финансовых школ под финансами понимают деньги. Основатель российской финансовой школы В. П. Дьяченко обосновал теорию неравнозначности категорий «финансы» и «деньги» (1946 г.) и определил финансы в качестве распределительно-стоимостной категории товарного производства. Финансы возникают на второй стадии общественного воспроизводства в процессе распределения стоимости общественного продукта в её денежной форме.
В результате доминирования англо-американской финансовой школы глобальная экономика оказалась уязвимой перед финансовыми пузырями, провоцирующими экономические кризисы. Решить эту проблему представляется возможным только в концепции отечественных финансов, когда под распределением понимаются отношения, опосредующие процесс формирования структуры новой стоимости за счёт обоснованного потребления стоимости факторов производства.
Если на стадии производства при помощи финансовых инструментов была распределена стоимость затрат прошлого труда (орудий труда), то на стадии распределения теми же инстурементами формируется полная величина вновь созданной стоимости, т. е. формируется стоимость товара.
Таким образом, объектом финансового распределения выступает внось созданная стоимость (С), которая определяется как сумма затрат всех факторов производства:
С = A + L + М,
где:
А — амортизация, начисленная в релевантном периоде;
L — стоимость затрат живого труда, потреблённых в релевантном периоде;
М — стоимость материальных затрат, потреблённых в релевантном периоде.
Формула отношений распределения позволяет решить две прикладные задачи:
— аргументировать финансовую логику процесса производства на стадии бизнес-планирования;
— определить вектор распределения денежных потоков, поступающих из сферы обмена, на стадии финансового контроля и финансового анализа.
Формула обмена
Под отношениями обмена традиционно понимаются товарно-денежные отношения, определяющие правила взаимодействия товаропроизводителей с потребителями их услуг. Иными словами, отношения обмена исследуются исключительно на стыке «внутренняя среда бизнеса — внешняя среда рынка», когда сформированная во внутренней среде себестоимость товара увеличивается на желаемую величину прибыли, формируя таким образом цену товара.
Внешние обменные процессы носят объективный характер и реализуются в соответствии с законами спроса и предложения и определяются по формуле:
Nденежная = Nфинансовая,
где:
Nденежная — денежная выручка,
Nфинансовая — финансовая выручка.
Внутренние обменные процессы выпали из сферы исследования и практического менеджмента. В то же время только состояние внутренних обменных процессов в экономике соответствует законам природного операционализма, когда всё связано со всем. Это сравнимо с состоянием иммунной системы человека. Сбалансированность внутренних обменных процессов способствует не только повышению качества естественной ценности товара, но и уровня его экономической ценности.
Формула потребления
Отношения потребления регулируют процесс восстановления в денежной форме той части стоимости факторов производства, которая была затрачена в производстве и обмене. Логику потребления определяет механизм реализации отношений на уровне «финансы — деньги».
Вслед за обменом, т. е. общественным признанием естественной и экономической ценности товара происходит интеграция финансовых и денежных потоков в разрезе составляющих их элементов. Здесь движение денег подчиняется либо объективной финансовой логике, либо субъективной логике участников хозяйственных процессов. В первом случае функция потребления сводится к обеспечению непрерывности воспроизводственных процессов, во втором — к созданию коррупционной деградирующей экономики, отличительным признаком которой является «ручное управление».
Если хозяйственный процесс выстраивается на сбалансированной основе, формула потребления может быть выражена равенством финансового и денежного параметров стоимости основных факторов производства, потреблённых и восстановленных в релевантном периоде. Финансовые параметры определяются как сумма потреблённой стоимости основного капитала (F×НА) и стоимости затрат труда (L). Денежные потоки должны быть эквивалентны заданным финансовым параметрам (правая часть формулы).
F×НА+L=Nден.× (F×НА÷Nфин.+L÷Nфин.), где:
F — среднегодовая стоимость амортизируемых активов,
HA — норма амортизации.
Формула потребления концентрирует в себе все элементы формулы экономики, а её прикладное значение состоит в обеспечении контроля степени восстановления стоимости потреблённых в производстве факторов.
1.5. Математическая формула экономической ценности
Начало математической формализации экономических отношений положил Дж. Р. Хикс, описавший идеи, заложенные в «Общей теории» Дж. М. Кейнса, при помощи систем одновременных уравнений, описывающих экономику на макроуровне[17]. По этому поводу нобелевский лауреат Джеймс Тобин пишет: «Эти системы обычно не полностью замкнуты; они зав
- Басты
- ⭐️Прикладная наука
- Ирина Черняева
- Секреты экономики
- 📖Тегін фрагмент
