автордың кітабын онлайн тегін оқу Современные проблемы нанотехнологии
А. А. Попович, И. Н. Мутылина, Т. А. Попович, В. В. Андреев
СОВРЕМЕННЫЕ ПРОБЛЕМЫ НАНОТЕХНОЛОГИИ
УЧЕБНО-МЕТОДИЧЕСКИЙ КОМПЛЕКС
Информация о книге
УДК 539.216(22.3)Гб1
ББК 32.844.1+32.86
С56
Авторы: Попович А. А., Мутылина И. Н., Попович Т. А., Андреев В. В.
Рецензенты:
Руднев В. С. — д-р хим. наук, профессор (ИХ ДВО РАН);
Юдаков А. А. — д-р техн. наук, профессор (ИХ ДВО РАН).
Учебно-методический комплекс «Современные проблемы нанотехнологии» включает в себя учебное пособие и методические указания по выполнению практических работ и самостоятельной работы.
В учебном пособии изложены основы наноматериаловедения и нанотехнологии. Рассмотрены способы получения, исследования и применения наноматериалов. Приведены вопросы для самоконтроля.
В методических указаниях по выполнению практических работ рассмотрены современные методы исследования и принципы аттестации ультрадисперсных частиц, описаны приборы, применяемые для исследования наноматериалов. Приведена методика работы на современном оборудовании.
УДК 539.216(22.3)Гб1
ББК 32.844.1+32.86
© ДВФУ, 2008
© ООО «Проспект», обложка, 2015
© ООО «Проспект», электронная версия книги, 2015
ПРЕДИСЛОВИЕ
Учебно-методический комплекс «Современные проблемы нанотехнологии» включает в себя учебное пособие и методические указаний по выполнению практических работ и самостоятельной работы.
В учебном пособии изложены основы наноматериаловедения и нанотехнологии. Рассмотрены способы получения, исследования и применения наноматериалов. Приведены вопросы для самоконтроля.
В методических указаниях по выполнению практических работ рассмотрены современные методы исследования и принципы аттестации ультрадисперсных частиц, описаны приборы, применяемые для исследования наноматериалов. Приведена методика работы на современном оборудовании.
В методических указаниях по выполнению самостоятельной работы определены цели и задачи выполнения самостоятельной работы, приведена структура работы и рекомендации по оформлению работы, описаны общие вопросы организации самостоятельной работы. В указаниях перечислены источники разработки и приведены задания для выполнения самостоятельной работы
Данный учебно-методический комплекс предназначен для бакалавров и магистров направлений 551600 «Материаловедение и технология новых материалов», 554500 «Нанотехнология», а также может быть также использован студентами других специальностей при изучении вопросов материаловедения и технологии современных материалов.
Учебное пособие
ВВЕДЕНИЕ
Нанотехнология возникла в результате развития и слияния целого ряда научных направлений физики и химии XX в. Несмотря на проблемы с определением, нанотехнология уже реально существует, и в этой области ученые многих стран сейчас соревнуются друг с другом, постоянно получая новые результаты. Можно сказать, что нанотехнология возникла в результате «освоения» и практического применения многих фундаментальных достижений науки, полученных за долгое время и только сейчас ставших основой новых технологий. Благодаря достижениям нанотехнологии, многие идеи, ранее воспринимавшиеся как фантазии и мечты человечества (продление жизни, материалы с новыми уникальными свойствами) становятся реальностью уже в наше время.
В феврале 2000 г. в США было объявлено о Национальной Нанотехнологической Инициативе, представляющей собой обширную научно-техническую программу. Сейчас достоинство новых технологий оценили уже многие страны. На развитие нанотехнологий правительства выделяют значительные средства, позволяющие реализовать национальные программы в данной области. Все более активное участие в этом процессе принимает Россия. Несомненно, что в XXI в. нанотехнологии будут оказывать все более возрастающее воздействие на экономическую и социальную жизнь всего человечества. Развитие нанотехнологии не сводится лишь к получению конкретных научных результатов или внедрению новых технологий. Оно включает в себя решение многих побочных экономических и социальных задач, т.е. требует целостного, системного подхода. Для решения поставленных задач необходима подготовка высококвалифицированных кадров. В последнее время в России появляется все больше книг и публикаций, посвященных нанотехнологиям, однако литературы все еще не достаточно.
В предлагаемом учебном пособии авторы попытались проанализировать развитие нанотехнологии с разных точек зрения и предложить материал в доступной форме для обучения студентов в рамках образовательных программ 551600 «Материаловедение и технология новых материалов», 554500 «Нанотехнология».
Глава 1.
НАНОМАТЕРИАЛЫ
1.1. История, основные понятия и определения
Нанотехнология возникла вследствие революционных изменений в информатике [15]. В 1947 г. был изобретен транзистор, после чего началась эпоха расцвета полупроводниковой техники, при которой размеры создаваемых кремниевых устройств постоянно уменьшались. Одновременно возрастали быстродействие и объем запоминающих устройств. Так, плотность записи на жестких магнитных и оптических дисках в настоящее время уже достигает 1 гигабит/кв. дюйм. Следовательно, в полупроводниковых технологиях уже более полувека происходит непрерывная революция.
По мере приближения размеров полупроводниковых устройств к 1 микрону (1 мкм = 10-6 м) в них начинают проявляться квантово-механические свойства вещества, т.е. необычные физические явления (типа туннельного эффекта). Вероятно, при сохранении нынешних темпов развития промышленность полупроводников примерно через 5–10 лет столкнется с проблемами, требующими развития новых материалов и технологических приемов. Революционный прорыв в этом направлении возможен только за счет использования нанотехнологии, которая позволяет создавать целый ряд принципиально новых производственных процессов, материалов и устройств на их основе. Расчеты показывают [15], что использование нанотехнологии может повысить основные характеристики полупроводниковых вычислительных и запоминающих устройств в тысячу раз. Это станет революцией в области информационных технологий и окажет огромное воздействие на экономическое и социальное развитие общества в XXI в.
Однако нанотехнологию не стоит сводить только к локальному революционному прорыву в области информационных технологий. Уже сейчас в нанотехнологии получен ряд важных результатов, позволяющих надеяться на существенный прогресс в развитии многих других направлений науки и техники (медицина и биология, химия, экология, энергетика, механика и т.п.). Например, при переходе к нанометровому диапазону (т.е. к объектам с характерными длинами около 10 нм) многие важнейшие свойства веществ и материалов изменяются существенным образом. Это такие характеристики как электропроводность, коэффициент оптического преломления, магнитные свойства, прочность, термостойкость и т.п. На основе материалов с новыми свойствами уже сейчас создаются новые типы солнечных батарей, преобразователей энергии и экологически безопасных продуктов. Возможно, производство дешевых, энергосберегающих и экологически безопасных материалов станет наиболее важным следствием внедрения нанотехнологий. Уже созданы высокочувствительные биологические датчики (сенсоры) и другие устройства, позволяющие говорить о возникновении новой науки – нанобиотехнологии и имеющие огромные перспективы практического применения. Нанотехнология предлагает новые возможности микрообработки материалов и создания на этой основе новых производственных процессов и изделий.
Нанотехнология – это символ третьей научно-технической революции, которая преобразует мир уже в самое ближайшее время. Первая научно-техническая революция (энергетическая), неразрывно связана с изобретением и широким внедрением паровых машин Джеймса Уатта (1774 г.). Вторая научно-техническая революция (информационная) связана с именем основоположника кибернетики Норберта Винера (1894–1964 гг.). И первая, и вторая научнотехнические революции (НТР) продолжают активно развиваться. От паровой машины – к электрическим, атомным и далее топливным энергетическим системам. От первых вычислительных механических и радио-ламповых монстров – к микроэлектронным персональным компьютерам, супер-ЭВМ и далее к интеллектуальным роботам.
Начало третьей научно-технической революции связывают с именем Ричарда Фейнмана (1918–1988 гг.), который еще в 1959 г. предсказал возможность манипулирования отдельными атомами.
Нанотехнология — это искусство создания новых процессов, отдельных изделий и систем путем осмысленного использования физических и химических явлений, описывающих природные процессы взаимодействия отдельных атомов и молекул. Свойства объектов, имеющих размеры менее 100 нм, нельзя описать методами классической физики. Например, при диаметре проводника менее 100 нм перестает «работать» закон Ома, основывающийся на представлении электрона элементарной частицей. При столь малых диаметрах проводника за счет поперечного квантования продольное сопротивление пропадает, исчезает диссипация. Здесь электрон необходимо рассматривать не как элементарную частицу, а как электромагнитную волну. Все процессы в нанотехнологии описываются исключительно квантово-механическими законами.
Нанотехнология сегодня – это:
новые материалы с уникальными свойствами, существенно превосходящими традиционные;
новые сверхминиатюрные и одновременно сверхмощные по быстродействию и памяти компьютеры;
новые средства дистанционного контроля за состоянием здоровья людей, профилактики и лечения больных, в том числе внешние и «вживляемые» миниатюрные и быстродействующие биодатчики;
новые энергетические системы, включая топливные и солнечные элементы нано-, микро- и мегамощности;
новые виды специальной техники различного применения;
энергосберегающие источники света и дисплеи;
системы преобразования социальных условий жизни и работы людей.
Если при уменьшении объема какого-либо вещества по одной, двум или трем координатам до размеров нанометрового масштаба возникает новое качество или это качество возникает в композиции из таких объектов, то эти образования относят к наноматериалам, а технологии их получения и обработки – к нанотехнологиям. Подавляющее большинство новых физических явлений на наномасштабах происходит из волновой природы частиц (электронов и т.д.), поведение которых подчиняется законам квантовой механики [15].
Термин «нанотехнология» получил широкое распространение в мире после выхода в 1986 г. книги физика Эрика Дрекслера «Машины творения», в которой он предложил называть свои разработки по конструированию отдельных молекул, обладающих заданными свойствами, «молекулярной нанотехнологией». Прежде всего, было бы целесообразно определиться с содержанием понятия «нанотехнологии», появившегося в литературе с легкой руки Н. Танигучи (Япония). В самом общем смысле нанотехнологии включают создание и использование материалов, устройств и технических систем, функционирование которых определяется наноструктурой, т.е. ее упорядоченными фрагментами размером от 1 до 100 нм. Важнейшей составной частью нанотехнологии являются наноматериалы, т.е. материалы, необычные функциональные свойства которых определяются упорядоченной структурой их нанофрагментов размером от 1 до 100 нм. Слово «нано» (от греческого иаиоз-карлик) используется как приставка для образования долевых единиц, равных одной миллиардной доле исходных величин. Например, один нанометр равен 10-9 м, одна наносекунда – 10-9 с и т.д.
Согласно рекомендации 7-й Международной конференции по нанотехнологиям (Висбаден, 2004 г.), выделяют следующие типы наноматериалов: нанопористые структуры; наночастицы; нанотрубки и нановолокна; нанодисперсии (коллоиды); наноструктурированные поверхности и пленки; нанокристаллы и нанокластеры.
Последние представляют собой частицы упорядоченного строения размером от 1 до 5 нм, содержащие до 1000 атомов. Собственно, наночастицы диаметром от 5 до 100 нм состоят из 103–106 атомов. Нитевидные и пластинчатые частицы могут содержать гораздо больше атомов и иметь один или даже два линейных размера, превышающих пороговое значение, но их свойства остаются характерными для вещества в нанокристаллическом состоянии. Соотношение линейных размеров наночастиц позволяет рассматривать их как одно-, двух- или трехмерные (соответственно, 1D-, 2D- и ЗD-наночастицы). Если наночастица имеет сложную форму и строение, то в качестве характеристического рассматривают не линейный размер частицы в целом, а размер ее структурного элемента. Такие частицы, как правило, называют наноструктурами, причем их линейные размеры могут значительно превышать 100 нм. В зависимости от того, какую преимущественную анизотропию имеют структурные элементы наноструктур, последние также подразделяют на одно-, двух- и трехмерные (нульмерные).
Наиболее важной отличительной особенностью наносистем является проявление в них эффекта размерного квантования. С классической точки зрения, по мере уменьшения размеров частиц в системе должно происходить увеличение удельной поверхности, а свойства объемной фазы остаются неизменными. При этом влияние размеров частиц на термодинамику системы учитывается введением в выражение для свободной энергии дополнительного слагаемого σds, где σ – коэффициент поверхностного натяжения, не зависящий от размера, a s – площадь поверхности. Согласно уравнению Томпсона, по мере уменьшения размеров частиц происходит увеличение равновесного давления пара и растворимости, изменяются температуры плавления и других фазовых переходов. Ряд свойств системы, связанных с протеканием процессов на ее поверхности, таких как адсорбция и катализ, пропорциональны удельной поверхности. Значение удельной поверхности частиц резко возрастает по мере приближения их размера к атомарному, что связано со значительным увеличением числа атомов, составляющих поверхность частиц. Вместе с тем многие свойства материалов (в том числе магнитные, оптические, электрические) являются следствием коллективных взаимодействий в твердом теле и не могут сохраняться при переходе от объемного к наноматериалу. В этом случае свойства веществ не могут быть объяснены только увеличением их удельной поверхности и ростом числа поверхностных атомов без учета квантоворазмерных эффектов. Примерами могут служить такие явления, как образование квантовых точек в случае, когда размеры частиц полупроводника соизмеримы с дебройлевской длиной волны электрона, изменение ширины запрещенной зоны за счет локализации экситонов, переход ферромагнитных материалов в суперпарамагнитное состояние. Однако иногда размерный эффект проявляется даже в таких свойствах веществ, как их каталитическая активность или реакционная способность: с уменьшением размера частиц может наблюдаться как резкое увеличение, так и уменьшение удельной активности, т.е. активности, отнесенной к одному атому металла. Как правило, этот эффект особенно ярко выражен у кластеров. Следует отметить, что важнейшей составляющей нанотехнологий является химический синтез нанопродуктов. По сути дела, химики занимались нанотехнологиями на протяжении двух с половиной столетий.
Отправной точкой фундаментального вклада российских исследователей в развитие нанотехнологий считают лекцию Нобелевского лауреата Р. Фейнмана «Там внизу еще много места», в которой он предлагал манипулировать отдельными атомами для создания очень малых объектов с необычными свойствами. Эта идея была реализована в дальнейшем благодаря созданию сканирующего туннельного микроскопа (1981 г.) и атомно-силового микроскопа (1986 г.). Однако многие фундаментальные исследования, без которых было бы немыслимо развитие современных нанотехнологий, проводились на протяжении десятилетий научными школами академиков В.А. Каргина, П.А. Ребиндера, Б.В. Дерягина и Нобелевского лауреата Ж.И. Алферова. Было бы несправедливо замалчивать пионерские работы В.Б. Алесковского по развитию методов «химической сборки», т.е. послойного (layer-by-layer) синтеза, заложившие начало успешно функционирующей и сейчас Санкт-Петербургской научной школе (С.И. Кольцов, А.А. Малыгин, И.В. Мурин, В.М. Смирнов, В.П. Толстой). Несомненным для своего времени достижением является создание и практическое внедрение в атомную энергетику оригинальных технологий получения ультрадисперсных (нано-) порошков, выполненное советскими учеными. В это же время академик И.В. Тананаев впервые предложил дополнить классические диаграммы «состав-структура-свойство» координатой дисперсности, а академики И.И. Моисеева и М.Н. Варгафтика провели оригинальные исследования по созданию «гигантских кластеров» палладия, ядро которых насчитывает около 600 атомов металла.
В последние десятилетия прошлого века активность российских ученых в области нанотехнологий значительно сократилась. При этом именно в этот период за рубежом, в первую очередь в США и в Японии, были сделаны важные открытия, включая создание объемных фотонных кристаллов с запрещенной оптической зоной, синтез углеродных нанотрубок, а в дальнейшем и нанотрубок BN, MoS2, WS2, V2O5 (1995 г.), TiO2. В этот же период были предприняты попытки создания молекулярных переключателей и измерения электропроводимости отдельных молекул, продемонстрирован полевой транзистор на углеродной нанотрубке, продолжены исследования по самосборке молекул на металлической поверхности. Примерно в то же время группа экспертов Национального Научного фонда (NSF) США сделала заключение о безусловной приоритетности исследований в области нанотехнологий и наноматериалов, а в 2000 г. в США была принята долгосрочная комплексная программа, названная Национальной нанотехнологической инициативой. В соответствии с этой программой объем бюджетного финансирования нанотехнологических исследований в США уже в 2001 г. составил 420 млн долларов, в 2004 г. вырос до 900 млн долларов, а в дальнейшем вышел на стационарный уровень, немногим превышавший 1 млрд долларов/год. В Японии и в странах Европейского Союза государственная поддержка нанотехнологических исследований немного уступала США. Вместе с тем значительно возросла активность частного капитала. В 2002 г. число венчурных компаний, занимавшихся производством нанопродуктов, достигло в мире 320, причем среди них на производстве нанопорошков специализировалось 160 компаний, нанотрубок – 55, нанопористых материалов – 22, фуллеренов – 21, квантовых точек – 16, нановолокон – 9, нанокапсул – 8, нанопроволок – 6 и дендримеров – 5 компаний. Производство нанопорошков является довольно масштабным и связано с изготовлением катализаторов дожига выхлопных газов автомобилей (11,5 тыс. тонн), абразивов (9,4 тыс. тонн), материалов для магнитной записи (3,1 тыс. тонн) и солнцезащитных материалов (1,5 тыс. тонн). Согласно прогнозам, рынок нанопорошков, оцениваемый сейчас в 1 млрд. долларов, должен к 2010 г. возрасти до 11 млрд. долларов, тогда как мировой рынок нанотехнологий в целом к этому времени предположительно должен превысить 1 трл долларов США. Выпуск нанопродукции освоили и некоторые российские компании.
Материалы и технологии всегда играли большую роль в истории цивилизации, определяя не только уровень развития производительных сил, но и социальный прогресс в обществе. Ключевые материалы определяли целые эпохи развития человечества. Каменный, бронзовый, железный века, век пара и электричества, атомной энергии и информационных технологий значительно отличались благодаря основным материалам и технологиям этих периодов.
Большинство экспертов в области стратегического планирования, научно-технической политики и инвестирования уверены, что в ближайшее десятилетие нас ждет нанореволюция во всех областях науки, производства, национальной безопасности, медицины, быта, отдыха и развлечений. Причем ее последствия будут обширнее и глубже, чем компьютерной революции последней трети XX в. Под этим понимают широкомасштабное и системное вторжение наноструктурных материалов, изделий и способов их получения буквально во все сферы жизни [9]. Многие развитые и развивающиеся страны имеют в качестве приоритетных программы развития нанотехнологий.
Акт об исследованиях и развитии нанотехнологий в XXI в., подписанный президентом Бушем в 2003 г., предполагает фронтальное решение проблем нанотехнологии как в фундаментальном, так и в прикладном направлениях с выделением свыше тысячи направлений поиска, объединенных вокруг наноэлектроники, нанобиотехнологии, молекулярной электроники, наноэлектромеханики, наноэнергетики, оптоэлектроники, создания новых поколений функциональных и конструкционных наноматериалов, наноматериалов для медицины, машиностроения и робототехники, компьютерных технологий, экологии, аэронавтики, систем безопасности и борьбы с терроризмом. Созданная в США инфраструктура включает ведущие университеты, национальные лаборатории и производственные структуры, функционирующие в составе венчурных компаний. Число продуктов, произведенных в США с помощью нанотехнологий, уже сейчас превысило 3 тысячи, а более половины патентодержателей составляют американские компании, университеты или частные лица. Даже Японии пришлось ограничить наноактивность более узким кругом решаемых задач. По числу нанотехнологических публикаций в международных журналах лидируют 6 стран, три из которых – США, Германия, Франция – несколько опережают Японию, Южную Корею и Китай, причем на второе место уже в 2004 г., безусловно, вышел Китай, увеличивший за десятилетие число нанотехнологических публикаций в 21 раз и лишь немногим (на 25%) уступивший США. Вместе с тем по числу полученных патентов Китай находится пока лишь на 20 месте.
Россия находится в начале пути развития нанотехнологий. Причина заключается в том, что годы перестройки и постперестроечный период сильно затормозили развитие многих отраслей промышленности и науки. Исключение составляли лишь те, кто сотрудничал с зарубежными коллегами, имевшими соответствующее оборудование. И в 90-е гг. прошлого века фундаментальные исследования, вносившие вклад в развитие нанотехнологий, в России не прекращались. В 1996 г. М.А. Ананяном был создан институт нанотехнологий, а в 2001 г. – концерн «Наноиндустрия».
1.2. Классификация наноматериалов
Применимость того или иного материала в конструкции определяется комплексом свойств, включающим соотношение между прочностью (предел текучести и предел прочности) и пластичностью (относительная равномерная деформация, полное относительное удлинение до разрушения), а также вязкость разрушения и другие свойства. На рис. 1.1 приведена классификация веществ и материалов по размеру частиц (Б), или зерен.
Рис. 1.1. Классификация веществ и материалов по размеру D частиц (зерен) [2]
Наноматериалы классифицируют также по геометрической форме и размерности структурных элементов, из которых они состоят. Основными типами нанокристаллических материалов по размерности являются кластерные материалы, волоконные материалы, плёнки и многослойные материалы, а также поликристаллические материалы, зёрна которых имеют сравнимые размеры во всех трёх направлениях (рис. 1.2). В данном пособии рассматриваются методы получения, структура и свойства объёмных («bulk») и дисперсных веществ и материалов с размером частиц от 5 до 200–300 нм, т.е. нанокристаллических и субмикрокристаллических.
Малые атомные агрегации (кластеры) являются промежуточным звеном между изолированными атомами и молекулами, с одной стороны, и массивным (объёмным) твёрдым телом, с другой стороны. Переход от дискретного электронного энергетического спектра, свойственного отдельным атомам и молекулам, к зонному электронному энергетическому спектру, характерному для твёрдого тела, происходит через кластеры.
Рис. 1.2. Типы нанокристаллических материалов: 0D — (нульмерные) кластеры; 1D — (одномерные) нанотрубки, волокна и прутки; 2D — (двумерные) плёнки и слои; 3D — (трёхмерные) поликристаллы
Отличительной чертой кластеров является немонотонная зависимость свойств от количества атомов в кластере. В нанокристаллических дисперсных и объёмных материалах такая зависимость свойств отсутствует, но появляется зависимость свойств от размера частиц (зёрен, кристаллитов). Кластер представляет собой группу из небольшого (счётного) и, в общем случае, переменного числа взаимодействующих атомов (ионов, молекул). Ясно, что минимальное число атомов в кластере равно двум. Верхней границе кластера соответствует такое число атомов, когда добавление ещё одного атома уже не меняет свойства кластера, т.к. переход количественных изменений в качественные уже закончился. Положение верхней границы кластера неоднозначно, но с химической точки зрения большая часть изменений заканчивается, когда число атомов в группе не превышает 1–2 тысячи. Верхнюю границу размеров кластера можно рассматривать как границу между кластером и изолированной наночастицей.
Предполагаемые экономические, технические и социальные последствия развития нанотехнологии показаны в табл. 1.1.
Основной проблемой при внедрении нанотехнологий в промышленность является на данном этапе не столько получение новых материалов, сколько развитие методов их обработки. Например, уменьшение размеров кристаллического зерна материала в 10 раз приводит к увеличению прочности материала примерно в три раза, при дальнейшем уменьшении зерен наблюдается так называемый эффектом сверхпластичности и т.п. Исследование материалов с наноразмерными зернами потребует также изменения освещенности при работе с обрабатываемой поверхностью.
Многие нанокристаллические вещества обладают особыми характеристиками (повышенной прочностью, легкостью, странной окраской и т.д.). Особую роль нанозернистость играет в материалах для магнитной записи (размер зерен определяет плотность записи), в специальных пленках, покрытиях, так называемых «биосовместимых» веществах и т.п. Обработка поверхности объектов с нанометровой точностью является очень непростой задачей, но именно такая обработка зачастую и обеспечивает требуемые функциональные характеристики (например, оптические). В частности, обработка играет важнейшую роль при создании многих описанных выше устройств и биодатчиков.
Таблица 1.1
Возможности нанотехнологии в обработке материалов [15]
| Материалы и методы обработки | Ожидаемые эффекты от внедрения нанотехнологии | Экономические, технические и социальные последствия |
| Нанокристаллы, нанозерна | Повышение прочности стали. Обработка поверхности с молекулярной точностью. Производство новых материалов | Повышение прочности, снижение веса, особая отделка и внешний вид. Медицинское применение (противораковые препараты) |
| Технология получения (измельчение зерен) нанозернистых материалов | Создание наноэлектронных устройств, сред для магнитной записи со сверхвысокой плотностью | Создание светоизлучающих устройств с низким энергопотреблением, сред для магнитной записи со сверхвысокой плотностью |
| Техника обработки поверхности с нанометровой точностью | Создание высокоэффективных оптоэлектронных переключателей, устройств для сверхточной механической обработки | Новый этап развития полупроводниковой промышленности |
| Технология получения и отделения двумерных кристаллов | Использование металлических нанокластеров в катализе и энергетике. Создание сверхпроводящей керамики. Создание функциональных оптических материалов. Создание сверхлегких и сверхпрочных конструкционных материалов | Развитие промышленного производства новых типов материалов |
| Многослойные, композиционные и структурированные материалы | Создание высокопрочных и коррозионностойких металлических материалов. Создание магнитных сред для записи со сверхвысокой плотностью | Прогресс в энергетике и информационных технологиях |
В настоящее время изучаются двумерные процессы образования и осаждения (или, наоборот, отделения) кристаллов из наночастиц и нанокластеров разного типа (металлы, керамика, стекла и т.п.) и изучаются характеристики поведения образующихся поверхностей при низких температурах, в каталитических реакциях и т.п. Уже найдены целые классы материалов с перспективными оптическими и механическими свойствами (например, наностекла и т.д.). Обнаружено, что многослойные нанопокрытия (толщиной в несколько нм) обладают высокой коррозионной стойкостью и твердостью, а многослойные нанопленки сложного вида имеют неожиданные магнитные свойства. Подобные покрытия были использованы при реставрации исторических памятников Санкт-Петербурга к 300-летию города. Внешне незаметные покрытия нанопленок позволили приостановить разрушение многих памятников архитектуры. Образование структур из нанокристаллических зерен позволяет придавать материалам новые свойства.
Переход от свойств изолированных наночастиц к свойствам объёмных (массивных) кристаллических веществ в течение многих десятилетий оставался невыясненным, т.к. отсутствовало промежуточное звено – компактное твердое тело с зернами нанометрового размера. Только после 1985 г., когда были созданы методы получения компактных нанокристаллических веществ, началось изучение объемных нанокристаллических веществ и материалов.
В 1959 г. Р. Фейнман в своем выступлении в Калифорнийском технологическом университете [61] обратил внимание на проблему контроля и управления строением вещества в интервале очень малых размеров как на малоизученную, но перспективную область физики. Он отметил, что «научившись регулировать и контролировать структуры на атомном уровне, мы получим материалы с совершенно неожиданными свойствами и обнаружим совершенно неожиданные эффекты... Развитие техники манипуляции на атомарном уровне позволит решить многие проблемы». Технику манипуляции на атомарном уровне сейчас называют нанотехнологией [11].
Глава 2.
УГЛЕРОДНЫЕ НАНОСТРУКТУРЫ
Многообразная природа углеродной связи позволяет углероду образовывать одни из наиболее интересных наноструктур, а именно углеродные нанотрубки. Потенциал использования углеродных нанотрубок превосходит потенциал многих других наноструктур.
Для понимания природы углеродной связи необходимо рассмотреть электронную структуру атома углерода. В нем имеется шесть электронов, которые в невозбужденном атоме находятся на низших энергетических уровнях. Когда атом углерода связан в молекуле с другими атомами, его электронная структура выглядит следующим образом (1s)2, (2s), (2px), (2py), (2pz) [33]. На нижнем уровне 1s с квантовым числом п = 1 находятся два электрона с противоположно направленными спинами. Распределение заряда электрона в s-состоянии сферически симметрично. Эти 1s-электроны не принимают участия в образовании химических связей. Остальные четыре электрона находятся на уровнях с п = 2: один – на сферически симметричной s-орбитали, три – на рх-, ру- и pz-орбигалях. Распределения заряда на p-орбиталях имеют сильно удлиненную в одном направлении форму и их оси взаимно перпендикулярны. Внешняя s-орбиталь и три р-орбитали формируют химические связи атома углерода с другими атомами. Распределение зарядов, связанных с этими орбиталями, смешиваются или перекрываются с распределениями зарядов каждого связанного с углеродом атома. Образуется скрепляющее атомы облако электронного заряда. На основе таких рассуждений молекула метана (СН4) могла бы иметь вид, где все связи Н – С перпендикулярны друг другу. Однако в действительности структура молекулы метана тетраэдрическая, с углами между углеродными связями 109°28'. Это различие объясняет концепция гибридизации. В атоме углерода разность энергий между 2s- и 2р-уровнями очень мала, что позволяет волновым функциям 2s-состояния смешиваться с одной или несколькими волновыми функциями 2р-состояния. Ненормализованная волновая функция ψ валентного состояния может быть записана как
Твердый углерод имеет две стабильные при комнатной температуре формы, называемые аллотропными модификациями, — алмаз и графит. Алмаз состоит из атомов углерода, тетраэдрически связанных друг с другом посредством sp-гибридизированных связей, образующих трехмерную сетку. У каждого атома углерода – четыре ближайших соседа. Графит имеет слоистую структуру, причем каждый слой образован шестиугольниками из атомов углерода, связанных посредством sp-гибридизированной связи, угол между которыми составляет 120°. У каждого атома углерода есть три ближайших соседа в плоскости слоя. Эти гексагональные слои связаны друг с другом относительно слабыми силами Ван-дер-Ваальса.
Фил Итон из Чикагского университета (США) синтезировал квадратную молекулу C8H8, представленную на рис. 2.1, а, названную кубаном. Л. Палетт из университета Огайо в 1983 г. синтезировал молекулу C20H20 додекаэдрической формы (рис. 2.1, б), образованную соединением пятиугольников из углерода с углами между С – С-связями, составляющими от 108° до 110°.
Рис. 2.1. Структура молекулы: а) кубической C8H8 б) додекаэдрической С20Н20
Синтез этих углеводородных молекул с углами, отличными от стандартных углов гибридизации, был важным шагом на пути создания углеродных наноструктур, также требующих различных углов между связями.
2.1. Углеродные кластеры
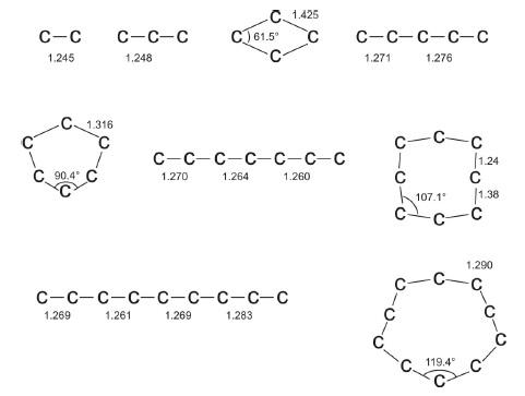
Для получения кластеров углерода используют лазерное испарение углеродной подложки в потоке гелия. Пучок электронных кластеров фотоионизируется ультрафиолетовым лазером и анализируется масс-спектрометром. При количестве атомов N менее 30 образуются кластеры со всеми значениями N хотя некоторые пики заметнее других. Вычисления структуры малых кластеров методом молекулярных орбиталей показывают, что такие кластеры имеют линейную или замкнутую неплоскую моноцикличную геометрию (рис. 2.2).
Рис. 2.2. Некоторые примеры структур малых углеродных кластеров
Линейная структура с sp-гибридизацией наблюдается при нечетных значениях N, циклическая – при четных. Открытые структуры из 3, 11, 15, 19 и 23 атомов со стандартными углами наиболее заметны на спектре и, следовательно, более стабильны. Замкнутые структуры имеют углы между углеродными связями, отличающиеся от предсказаний обычной теории гибридизации.
2.2. Фуллерены
Открытие молекулы, похожей на футбольный мяч и состоящей из 60 атомов углерода, произошло при изучении поглощения света межзвездной пылью, т.е. малыми частицами вещества, находящимися в межзвездном и межгалактическом пространстве. При прохождении света удаленной звезды через космическое пространство его интенсивность уменьшается. Это явление называется оптическим поглощением и происходит вследствие поглощения и рассеяния света на межзвездной пыли, находящейся на пути распространения света от звезды к Земле. Ученые изучают это поглощение, измеряя интенсивность приходящего от звезд света на разных длинах волн. В результате исследования выяснилось, что в ультрафиолетовом диапазоне поглощение увеличивается при длинах волн около 220 нм. Это поглощение приписывали рассеянию света на гипотетически малых частицах графита, находящихся в межзвездной среде. Далее были обнаружены [33] в спектре графита четыре дополнительные линии в ИК-диапазоне, не связанные с графитом. Похожую на футбольный мяч молекулу из 60 атомов углерода с химической формулой С60 химики-теоретики предсказывали давно, но никаких доказательств ее существования обнаружено не было. Многие свойства этой молекулы были вычислены теоретиками. Молекула С60 была названа фуллереном по имени архитектора и изобретателя Р. Бакминстрера Фуллера, сконструировавшего геодезический свод, напоминающий структуру С60 (рис. 2.3).
Молекула С60 имеет 12 пентагональных (пятиугольных) и 20 гексагональных (шестиугольных) симметрично расположенных граней, образующих форму, близкую к шару. На самом деле геометрия молекулы фуллерена ближе к форме футбольного мяча, также состоящего из пяти шестигранных фасеток. Эти шарообразные молекулы могут соединяться друг с другом в твердом теле с образованием гранецентрированной кубической (ГЦК) кристаллической решетки. Расстояние между центрами ближайших молекул в гранецентрированной решетке, удерживаемых слабыми Ван дер Ваальсовыми силами, составляет около 1 нм. Поскольку С60 растворим в бензоле, его монокристалл можно вырастить при медленном выпаривании раствора С60 в бензоле.
Рис. 2.3. Структура молекулы фуллерена С60
Вследствие высокой симметричности и замкнутости всех связей молекулы С60 обладают высокой термической стабильностью (~ 1500 °С в инертной среде). Однако во внутреннюю полость (диаметром ~ 0,1 нм) можно поместить различные атомы и малоатомные молекулы, а снаружи возможны химические реакции присоединения других групп.
Первые инкапсулированные лантаном фуллерены были получены уже через неделю после обнаружения и выделения молекул С60 [9]. Несколько позже смогли ввести в полость фуллерена Ca, Ba, Sr. Так зародилась новая ветвь металлоорганической химии.
Эндоэдральные комплексы обозначают формулой Mm@Cn, где М – инкапсулированный атом, а индексы т и п указывают на число атомов внутри фуллерена и в его оболочке соответственно. Перспективно их применение в химии, биологии, медицине, электронике, энергетике. По ряду причин наибольший интерес представляют эндоэдральные металлофуллерены.
Для получения эндоэдральных комплексов в основном используют электродуговую (введение в электроды металла, инкапсулируемого в углеродную молекулу) и ионно-лучевую (бомбардировка быстрыми ионами выбранных металлов) технологии синтеза.
К настоящему времени удалось синтезировать эндофуллерены, содержащие атомы более двух десятков видов и еще несколько десятков комплексов с внедренными малоатомными молекулами. Трудной задачей, несколько сдерживающей применение эндофуллеренов, является выделение инкапсулированных молекул из общей массы обычных фуллереновых.
Атом, заключенный в фуллереновую клетку, практически теряет свои индивидуальные химические свойства. В эндометаллофуллеренах размер внедренного иона обычно меньше внутренней полости, поэтому он смещается относительно центра молекулы и придает ей постоянный дипольный момент (до 3–4 D). Это может быть использовано при создании материалов со сегнето-электрическими свойствами для различного применения в электронике.
Несмотря на свою химическую инертность, фуллерены могут участвовать в различных реакциях присоединения, замещения и полимеризации. В результате помимо эндоэдральных комплексов фуллерены могут образовывать химические соединения с атомами, группами, молекулами, присоединяющимися снаружи оболочки (экзопроизводные). При этом остов С60 может сохранять свою форму или расширяться. Синтезированы также и гетерофуллеры, в которых некоторые атомы углерода замещены другими атомами.
Возможности создания фуллереновых производных с различными физическими и химическими свойствами привлекают ученых и представителей различных фирм к исследованиям и их приложениям во многих областях техники.
Еще более разнообразные свойства имеют молекулы С70, форма которых напоминает дыню или мяч для регби. Их также можно модифицировать, помещая атомы или молекулы внутри или «пришивая» их снаружи.
На основе фуллеренов уже синтезировано несколько тысяч новых соединений. В отличие от других углеродсодержащих молекул фуллерены обладают большим числом эквивалентных центров, а следовательно, богатой изомерией производных. Присоединить к наружной стороне молекулы фуллерена можно как отдельные атомы, так и их группы. Однако наибольший интерес представляет «пришивка» органических молекул, что позволяет фуллереновые молекулы (чаще всего С60) сделать высокоселективными к определенным химическим реагентам, реакциям или физическим воздействиям.
Благодаря действию слабых нехимических ван-дер-ваальсовых сил фуллереновые молекулы могут конденсироваться в молекулярные кристаллы, называемые фуллеритами. Соотношение между энергией связи молекул С60 в решетке (180 кДж/моль) и энергией атомизации (714 кДж/моль) таково, что нагрев приводит к возгонке молекул гораздо раньше, чем к их термическому разложению. При комнатной температуре фуллерит С60 имеет ГЦК-решетку, а при температуре < 261 К – простую кубическую. При фазовом переходе меняются тип решетки и характер вращательного движения молекул в ее узлах.
В простой кубической фазе молекулы С60 утрачивают способность вращения вокруг двух (из трех возможных) осей и приобретают определенную ориентацию относительно кристаллографических направлений, которую они не имеют в ГЦК-фазе. Фуллерит с ГЦК-решеткой является полупроводником с шириной запрещенной зоны 1,5–1,8 эВ. Как и в традиционных элементарных полупроводниках (Si, Ge), свойства фуллерита можно менять с помощью легирования: обеспечивать проводимость п- и p-типа, добиваться перехода в сверхпроводящее состояние при нескольких десятках градусов Кельвина и т.п.
В 1993 г. было открыто явление фотополимеризации в С60. В разных условиях освещения возникают разнообразные полимеризованные структуры (от димеров до цепных и сетчатых структур). Облучение потоком электронов, нагрев в сочетании с высоким давлением (до 10 ГПа) также приводит к полимеризации и образованию новых фаз.
В плотно упакованной ГЦК-решетке фуллерита С60 на каждую молекулу приходится одна октаэдрическая пора с радиусом 0,206 нм и две тетраэдрические с радиусом 0,112 нм. В эти поры могут быть внедрены различные атомы и небольшие молекулы. Такие материалы называют интеркалированными фуллеренами. Если они передают свои валентные электроны молекулам С60, соединение называют фуллеридом, если нет – клатратом.
В ряде фуллеридов Ме3С60> с атомами щелочных металлов, заполняющих все пустоты (Na, K, Rb, Cs), обнаружен сверхпроводящий переход при Т > 30 К.
2.3. Нанотрубки
В 1991 г. [9] в продуктах электродугового испарения графита были обнаружены нанотрубки. По структуре наиболее простыми являются одностенные нанотрубки (ОНТ) (рис. 2.4), существование и свойства которых предсказывали задолго до фактического получения.
Структуру одностенных нанотрубок можно представить путем сворачивания графенового листа (слой графита моноатомной толщины) вдоль той или иной кристаллографической оси. Электронные и колебательные свойства ОНТ существенно зависят от взаимного направления базисного вектора гексагональной решетки и оси трубки. Направление задает так называемую «хиральность», т.е. скрученность графенового листа в структуре ОНТ. Изменяя хиральность, можно менять ширину запрещенной зоны и получать квазиодномерные проволоки с металлическим или полупроводниковым типом проводимости. Обычно диаметр ОНТ составляет 1–2 нм, а длина колеблется от сотен нанометров до десятков микрометров. В аккуратно выращенных ОНТ один структурный дефект приходится примерно на 4 мкм длины, т.е. на 1012 атомов углерода, что значительно меньше, чем в самых совершенных монокристаллах кремния.
Рис. 2.4. Схема строения некоторых фуллереновых структур: а) фуллерен С70; б) однослойная нанотрубка с закрытым торцом
Однако для некоторых приложений в электронике и этого может оказаться недостаточно, поскольку роль дефектов в квазиоднородном проводнике может быть гораздо значимее, чем и объемном. В то же время поврежденные связи могут оказаться удобными местами для присоединения функциональных групп, что удобно при создании сенсоров, катализаторов и др.
Двустенные нанотрубки тоже обладают интересными свойствами, причем они предсказываются даже лучше, чем для одно- и многослойных. Специальными катализаторами добиваются выхода двухслойных трубок более чем 95 % от массы получаемого продукта.
Разработаны методы синтеза не только углеродных, но и нанотрубок из других атомов с полезными свойствами.
Так, в двухслойных ВN-нанотрубках был обнаружен гигантский эффект Штарка (расщепление спектральных линий во внешнем электрическом поле). Используя этот эффект, можно уменьшить или даже устранить в электронном спектре запрещенную зону и превратить трубку из диэлектрической в металлическую. Фактически это дает возможность сконструировать высококачественный полевой транзистор в объеме несколько кубических нанометров.
Многостенные трубки, в отличие от одностенных, сложнее по структуре и обычно содержат больше различных дефектов. Их внешний диаметр может варьироваться в диапазоне от единиц до десятков нанометров, а длина – от долей до единиц микрометров. Внутренний диаметр обычно составляет 1–2 нм. Отдельные слои могут образовывать в поперечном сечении коаксиальные цилиндры, свиток или чешуйки (рис. 2.5).
Различают открытые на концах и закрытые (половинками сфероидных фуллеренов) нанотрубки, обладающие ценностью для разных приложений.
Рис. 2.5. Модели поперечного сечения многослойных нанотрубок: а) «русская матрешка»; б) свисток; в) «папье-маше»
Первоначально фуллерены и нанотрубки получали методом электродугового или лазерного испарения графита и последующей конденсацией в среде инертного газа (рис. 2.6).
Рис. 2.6. Получение нанотрубок методом лазерного и электродугового испарения графита с последующей конденсацией в среде инертного газа [4]
Различные режимы процесса позволяют получать наноструктуры с выходом до 25–40 % общей массы, в случае лазерной технологии и до 90 % и производительностью ~ 10 г/ч. Предложены также методы переработки углеродсодержащего сырья в нанотрубки, использующие солнечную энергию (рис. 2.7).
Рис. 2.7. Получение нанотрубок с использованием солнечной энергии [4]
Намного большая производительность и выход нанотрубок возможны при каталитическом пиролизе газообразных углеводородов и последующем химическом осаждении из пара. Эта технология заключается в продувании через вращающуюся трубчатую печь с температурой 500–800 °С этилена, ацетилена, метана, природного газа или другого углеводородного сырья (рис. 2.8).
Рис. 2.8. Получение нанотрубок методом каталитического пиролиза газофазных продуктов [4]
Особенность инкапсулированных труб – существование критического диаметра внутренней полости, ниже которого содержимое перестает образовывать кристаллические структуры, т.е. аморфизуется. Величина этого критического диаметра зависит от межфазной поверхностной энергии инкапсулированного материала и обычно составляет несколько нанометров.
2.4. Применение углеродных нанотрубок
Многие перспективные направления в нанотехнологии связываются с углеродными нанотрубками – большими (иногда и гигантскими) молекулами, состоящими исключительно из атомов углерода. Углеродные нанотрубки – это протяжённые структуры, состоящие из свёрнутых гексагональных сеток с атомами углерода в узлах. Главная особенность этих молекул – их каркасная форма: они выглядят как замкнутые, пустые внутри трубки. Нанотрубки могут быть большие и маленькие, однослойные и многослойные, прямые и спиральные. В настоящее время наиболее распространённым методом получения нанотрубок является метод термического распыления графитовых электродов в плазме дугового разряда. При горении плазмы происходит интенсивное термическое испарение анода. На торцевой поверхности катода образуется слой из углеродных нанотрубок. Образующиеся многочисленные нанотрубки имеют длину около 40 мкм. Они нарастают на катоде перпендикулярно плоской поверхности его торца. Происходит так называемая самосборка углеродных нанотрубок из атомов углерода.
Углеродные нанотрубки прочнее графита, хотя сделаны из таких же атомов углерода, потому что в графите атомы углерода находятся в листах. Нанотрубки можно применять в качестве очень прочных микроскопических стержней и нитей. Модуль Юнга однослойной нанотрубки достигает 1–5 ГПа, что на порядок больше, чем у стали. Нить, сделанная из нанотрубок, толщиной с человеческий волос способна удерживать груз в сотни килограммов.
В настоящее время максимальная длина нанотрубок обычно составляет около сотни микронов – что, конечно, слишком мало для повседневного использования. Однако длина нанотрубок, получаемых в лабораториях, постепенно увеличивается – сейчас ученые уже подошли к миллиметровому рубежу.
Ориентировать и собирать нанотрубки в упорядоченные структуры очень сложно. Для этого используют необычные технологии. Например, короткие нанотрубки растворяют в эпоксидной смоле, и пока она не затвердела, выдувают из неё огромный пузырь (25x50 см), придерживая его с боков плоскими пластинками из пластика. В затвердевших участках тонкой эпоксидной плёнки, прилипших к удерживающим пластинам, нанотрубки ориентированы параллельно друг другу в вертикальном направлении (рис. 2.9).
Несмотря на то, что нанотрубки только начинают использовать, уже сейчас в продаже есть ракетки для тенниса, армированные углеродными нанотрубками для ограничения скручивания и обеспечения большей мощности удара. Применяют нанотрубки и в деталях спортивных велосипедов.
Рис. 2.9. Пузырь, выдутый из эпоксидной смолы с добавлением нанотрубок [6]
Необычные электрические свойства нанотрубок могут сделать их одним из основных материалов наноэлектроники. Созданы опытные образцы транзисторов, состоящие из одной нанотрубки, ведь прикладывая напряжение в несколько вольт, можно изменять проводимость однослойных нанотрубок на 5 порядков. Необычные свойства углеродных нанотрубок допускают множество возможных применений: от электродов батареек до электронных устройств и армирующих волокон для получения более прочных композитов.
Для реализации этого потенциала необходимо разработать технологию крупномасштабного производства однослойных нанотрубок. Существующие методы синтеза обеспечивают небольшой выход конечного продукта, стоимость которого сегодня составляет около $ 1500 за грамм. С другой стороны, разработаны основанные на химическом осаждении методы крупномасштабного производства многослойных нанотрубок стоимостью $ 60 за фунт, причем при увеличении спроса ожидается дальнейшее существенное падение цены.
Полевая эмиссия и экранирование. При приложении небольшого электрического поля вдоль оси нанотрубки с ее концов происходит очень интенсивная эмиссия электронов. Подобные явления называют полевой эмиссией. Этот эффект легко наблюдать при приложении небольшого напряжения между двумя параллельными металлическими электродами, на один из которых нанесена композитная паста из нанотрубок. Достаточное количество трубок окажется перпендикулярным электроду, что и позволит наблюдать полевую эмиссию. Одно из применений этого эффекта состоит в усовершенствовании плоских панельных дисплеев. Мониторы телевизоров и компьютеров используют управляемую электронную пушку для облучения люминесцентного экрана, испускающего свет требуемых цветов. Корейская корпорация Samsung разрабатывает плоский дисплей, использующий электронную эмиссию углеродных нанотрубок. Тонкая пленка нанотрубок помещается на слой с управляющей электроникой и покрывается сверху стеклянной пластиной, покрытой слоем люминофора. Одна японская компания использует эффект электронной эмиссии в осветительных вакуумных лампах, таких же ярких, как и обычные лампы накаливания, но более эффективных и долговечных. Другие исследователи используют эффект при разработке новых способов генерации микроволнового излучения.
Высокая электрическая проводимость углеродных нанотрубок означает, что они будут плохо пропускать электромагнитные волны. Композитный пластик с нанотрубками может оказаться легким материалом, экранирующим электромагнитное излучение. Это важно для военных, развивающих идеи цифрового представления поля боя в системах управления, контроля и связи. Компьютеры и электронные устройства, являющиеся частями такой системы, должны быть защищены от оружия, генерирующего электромагнитные импульсы.
Компьютеры. Возможно конструирование полевых транзисторов, являющихся переключающими элементами в компьютере, на основе полупроводниковых углеродных нанотрубок, соединяющих два золотых электрода (рис. 2.10). При приложении небольшого напряжения к затвору, которым является кремниевая подложка, по нанотрубке между истоком и стоком течет ток. Если ток течет, элемент находится в состоянии «включено», в противном случае – в состоянии «выключено». Обнаружено, что небольшое напряжение на затворе может изменить проводимость нанотрубки более чем в 106 раз, что сравнимо со значениями для кремниевых полевых транзисторов.
Время переключения такого устройства будет очень маленьким, а возможная тактовая частота оценочно может составить 1012 Гц, что в 1000 раз быстрее существующих процессоров. Золотые исток и сток можно сформировать методами нанолитографии, диаметр соединяющей их нанотрубки составит около одного нанометра. Такие малые размеры позволят в перспективе поместить на чип большее количество переключателей. Пока такие устройства делаются в лабораторных условиях поштучно.
Основной целью разработчиков компьютерной техники является увеличение количества переключателей на чипе. Для этого необходимо использовать переключатели меньшего размера, более тонкие соединяющие их проводники и более плотную упаковку элементов на чипе.
Рис. 2.10. Схема полевого транзистора на основе углеродной нанотрубки
При уменьшении поперечного сечения металлического, например, медного проводника увеличивается его сопротивление и выделяющееся при протекании тока тепло. Нагрев может достигать таких значений, при которых возникает опасность плавления или испарения проводников. Однако углеродные нанотрубки диаметром 2 нм имеют чрезвычайно низкое сопротивление, что позволяет пропускать по ним большие токи без существенного нагрева. Это делает их пригодными в качестве соединительных проводов. Высокая теплопроводность нанотрубок означает, что их можно использовать и в качестве теплоотводов, позволяющих быстро уносить с чипа избыточное тепло.
Другой активно развиваемой идеей является создание компьютера из нанотрубок. Компьютер был бы массивом параллельных нанотрубок на подложке, над ними с небольшим промежутком располагался бы массив нанотрубок, перпендикулярных нижним. Каждая трубка соединялась бы с металлическим электродом. Точки пересечения являлись бы переключателями компьютера. Когда трубки не касаются в точке пересечения, переключатель выключен, т.к. сопротивление между ними велико. Во включенном состоянии трубки касаются друг друга, а сопротивление соединения мало. Управление состоянием включено / выключено может осуществляться токами, текущими по трубкам. Ориентировочно на квадратном сантиметре чипа можно разместить 1012 таких элементов. На современных процессорах Пентиум расположено около 108 переключателей. Скорость переключения таких устройств в 100 раз выше, чем на нынешнем поколении интеловских чипов. В идеале хотелось бы иметь полупроводящую трубку внизу и металлическую наверху, тогда при контакте образуется переход металл-полупроводник, пропускающий ток только в одном направлении. Такой переход был бы выпрямителем.
Топливные элементы. Углеродные нанотрубки могут быть использованы при изготовлении батареек. Литий, являющийся носителем заряда в некоторых батарейках, можно помещать внутрь нанотрубок. Считают, в трубке можно разместить один атом лития на каждые шесть атомов углерода. Другой возможный вариант использования нанотрубок – хранение в них водорода, что может быть использовано при конструировании топливных элементов как источников электрической энергии в автомобилях. Топливный элемент состоит из двух электродов и специального электролита, пропускающего ионы водорода между ними, но не пропускающего электроны. Водород направляется на анод, где он ионизируется. Свободные электроны движутся к катоду по внешней цепи, а ионы водорода диффундируют к катоду через электролит, где из этих ионов, электронов и кислорода образуются молекулы воды. Такой системе необходим источник водорода. Одна из возможностей состоит в хранении водорода внутри углеродных нанотрубок. По существующим оценкам, для эффективного использования в этом качестве трубка должна поглощать 6,5 % водорода по весу. В настоящее время в трубку удалось поместить только 4 % водорода по весу. Метод заполнения углеродных нанотрубок водородом [33] состоит в использовании электрохимической ячейки, показанной на рис. 2.11.
Рис. 2.11. Электрохимическая ячейка, используемая для введения водорода в углеродные нанотрубки: источник питания; электрод, покрытый углеродными нанотрубками; электролит (водный раствор КОН с концентрацией 6 моль/литр);
Одностенные нанотрубки в форме листа бумаги составляют отрицательный электрод в растворе КОН, являющемся электролитом. Другой электрод состоит из Ni(ОН)2. Вода электролита разлагается с образованием положительных ионов водорода (Н+), движущихся к отрицательному электроду из нанотрубок. Наличие связанного в трубках водорода определяется по падению интенсивности рамановского рассеяния.
Химические сенсоры. Полевой транзистор, аналогичный показанному на рис. 2.10 и сделанный на полупроводящей хиральной нанотрубке, является чувствительным детектором различных газов. Полевой транзистор помещался в сосуд емкостью 500 мл с выводами электропитания и двумя клапанами для ввода и вывода газа, омывающего транзистор. Протекание газа, содержащего от 2 до 200 ppm NO2, со скоростью 700 мл/мин на протяжении 10 минут привело к трехкратному повышению проводимости нанотрубки. При связывании NO2 с нанотрубкой заряд переносится с нанотрубки на группу NO2, увеличивая концентрацию дырок в нанотрубке и ее проводимость.
Частота одной из нормальных мод колебаний, имеющих очень сильную линию в рамановском спектре, очень чувствительна к присутствию посторонних молекул на поверхности нанотрубки. Направление и величина смещения зависят от типа молекулы на поверхности. Этот эффект лежит в основе новых химических газовых сенсоров на основе углеродных нанотрубок.
Катализ. Катализатором называется вещество, обычно металл или сплав, увеличивающее скорость протекания химической реакции. Для некоторых химических реакций углеродные нанотрубки являются катализаторами. Например, многослойные нанотрубки со связанными с ними снаружи атомами рутения имеют сильный каталитический эффект на реакцию гидрогенизации коричного альдегида (С6Н5СН=СНСНО) в жидкой фазе по сравнению с эффектом того же рутения, находящегося на других углеродных субстратах. Также проводились химические реакции и внутри углеродных нанотрубок, например, восстановление оксида никеля NiO до металлического никеля и AlO до алюминия. Поток газообразного водорода Н2 при 475 °С частично восстанавливает МоO3 до МоO2 с сопутствующим образованием паров воды внутри многослойных нанотрубок. Кристаллы сульфида кадмия CdS образуются внутри нанотрубок при реакции кристаллического оксида кадмия CdO с сероводородом (H2S) при 400 °С.
Механическое упрочнение. Использование длинных углеродных волокон, таких как полиакрилнитрил, является отработанной технологией увеличения прочности пластиковых композитов. Полиакрилнитрил имеет прочность на разрыв около 7 ГПа и диаметр 1–10 мкм. Использование этих волокон для упрочнения требует разработки методов равномерного распределения и ориентирования их в нужном направлении в материале. Волокно должно выдерживать условия, возникающие при обработке. Важными параметрами, определяющими эффективность упрочнения композита такими волокнами, являются прочность волокна на разрыв и отношение его длины к диаметру, а также способность волокна к деформированию в матрице. Из-за высокой прочности на разрыв и большого отношения длина/диаметр углеродные нанотрубки должны оказаться очень хорошим материалом для упрочнения композитов. В этой области уже проведена некоторая предварительная работа. Так, в исследовательском центре корпорации «Дженерал Моторз» показано, что добавка 11,5 вес. % многослойных углеродных нанотрубок диаметром 0,2 мкм к полипропилену приводит к удвоению его прочности на разрыв. Исследования в Токийском университете [33] показали, что добавление 5 об. % нанотрубок к алюминию также увеличивает прочность материала на разрыв вдвое по сравнению с также обработанным алюминием, но без армирования. Композиты получали горячим прессованием и горячей экструзией. Алюминиевая пудра и углеродные нанотрубки смешивались и нагревались до температур выше 800 К в вакууме и затем сжимались стальными штампами. После этого из расплава экструзией получали стержни. Важно что углеродные нанотрубки можно ввести в алюминий и при последующей обработке они остаются химически устойчивыми. Получая более однородное распределение и лучшее упорядочивание по направлениям углеродных нанотрубок в материале, по-видимому, возможно достичь существенного увеличения прочности на разрыв. Теоретически показано, что оптимальной долей трубок в материале является 10 объемных процентов. При этом прочность на разрыв должна увеличиться в шесть раз.
Атомногладкие поверхности нанотрубок могут привести к проскальзыванию стенок одна относительно другой в многослойных нанотрубках и проскальзывания отдельных однослойных нанотрубок в пучке, что может уменьшить значения прочности из-за слабого сцепления с упрочняемым материалом. При этом показано, что углеродные нанотрубки могут образовывать прочные связи с железом, а, значит, упрочнять сталь. Это направление требует дальнейших исследований. Особенно следует учитывать высокую стоимость технологии производства нанотрубок.
Медицина. Полости нанотрубок с внутренним диаметром от нескольких нанометров можно заполнять и биологическими молекулами, в частности, энзимами. Мысль о применении микроскопических устройств в медицине впервые была высказана в 1959 г. знаменитым американским физиком Ричардом Фейнманом, описавшим микроробота, проникающего через сосуд в сердце и выполняющего там операцию. В 1967 г. биохимик и писатель-фантаст Айзек Азимов первым выдвинул идею «мокрой технологии» – использования для лечения людей живых механизмов, существующих в природе. В частности, собирать их из нуклеиновых кислот и ферментов. Роберт Эттингер предложил использовать модифицированные микробы для «ремонта» клеток [11].
Цилиндрические углеродные нанотрубки настолько тонки, что 50000 таких нанотрубок, сложенных в ряд, едва ли достигнут толщины человеческого волоса. Благодаря своим уникальным свойствам нанотрубки могут стать эффективным средством доставки самых разнообразных терапевтических агентов в клетки пациентов. Однако недостаточное количество данных о том, что происходит с нанотрубками после того, как они открепились от своего «груза», оставалось до настоящего времени основным препятствием в их применении. Исследователи из Стэндфордского университета [55] проследили, что происходит с нанотрубками после их введения в организм мыши. Исследование показало, что нанотрубки не остаются в этих органах, а со временем метаболизируются и выводятся с мочой. Результаты исследования были опубликованы в журнале PNAS (Proceedings of the National Academy of Sciences). Следовательно, нанотрубки не вредят организму, надолго оставаясь в тканях: «все животные выглядели совершенно здоровыми. Мы не нашли никаких доказательств токсичности нанотрубок» [55].
Углеродные нанотрубки, в которых молекулы углерода организованы в гексагональные кольца, в ответ на облучение генерируют сильный сигнал. Это позволяет с высокой точностью определять местонахождение интересующих молекул, а также их концентрацию в тканях и в периферической крови. В более ранних исследованиях для прослеживания молекул использовались флуоресцентные метки, однако результаты оказывались статистически недостоверными. Флуоресцентная метка имеет тенденцию с течением времени отделяться от нанотрубки или подвергаться распаду, причем время ее полураспада слишком коротко, чтобы позволить отследить весь период пребывания нанотрубок в организме. Знание о том, что углеродные нанотрубки попадают в пищеварительную систему и нормальным образом выводятся из организма, очень важно для их клинического применения. Исследователи считают, что, модулируя структуру нанотрубок, можно менять продолжительность их нахождения в кровотоке. Наилучшие результаты были получены, когда нанотрубки покрыли полиэтиленгликолем (ПЭГ) (рис. 2.12). Была использована разветвленная форма полимера, показавшая себя более эффективной, чем неразветвленная. Нанотрубки, покрытые ПЭГ, биологически инертны и не вступают в реакции с молекулами внеклеточного матрикса и цитоплазмы клеток. Также они обладают высокой растворимостью в воде, что способствует их длительной (до 10 ч) циркуляции в кровотоке. Покрытие нанотрубок различными соединениями расширяет спектр их применения и позволяет варьировать типы препаратов, доставляемых с помощью нанотрубок к клеткам.
Рис. 2.12. Углеродная нанотрубка, покрытая полиэтиленгликолем
Американцы создали материал, имитирующий настоящую костную ткань. Применив метод самосборки волокон, имитирующих природный коллаген, они «посадили» на них нанокристаллы гидрооксиапатита. Затем на эту «шпатлевку» приклеивались собственные костные клетки человека, такой материал можно использовать для исправления дефектов костей после травм или операций.
Другая разработка, напротив, не дает клеткам приклеиваться к поверхности. Это нужно, к примеру, для создания биореакторов, в которых будут содержаться стволовые клетки. Проблема в том, что, как только стволовая клетка «села» на какую-то поверхность, она немедленно начинает специализироваться – превращаться в клетку конкретной ткани. Чтобы она сохраняла свой потенциал, надо не давать ей «присесть».
Экспериментируя с фуллеренами и дендримерами, во многих странах ищут эффективные лекарства от СПИДа, гриппа, болезни Паркинсона, рака и т.п. Микрокапсулы с нанопорами могут послужить больным диабетом – они смогут доставить в организм человека клетки поджелудочной железы животного и вовремя выделять инсулин, при этом оставаясь невидимыми для иммунной системы человека.
Искусственно сконструированная клетка-респироцит сможет заменить недостающие в крови эритроциты – она умеет переносить и кислород, и углекислый газ. При этом взвеси респироцитов понадобится в сотни раз меньше, чем препаратов донорской крови или кровезаменителей.
У российской науки также есть достижения в области нанотехнологий. Российские ученые — лидеры в изучении и применении наночастиц металлов в медицине. Бактерицидные и ранозаживляющие свойства серебра известны медицине давно. Ученые выяснили, что если серебро и другие металлы превратить в наночастицы, эти свойства резко возрастают. И доказали это на многочисленных клинических исследованиях. Ожоги, огнестрельные раны, переломы, кожные, гинекологические и прочие инфекции заживают значительно быстрее и эффективнее. Наши ученые создали десятки препаратов, основанных на свойствах этих металлов. Н. Богданчикова, которая в России занималась исследованиями серебра, а потом переехала в Мексику, стала инициатором развития этого научного направления в Латинской Америке.
Второе направление, в котором Россия могла бы лидировать в мире – создание биочипов. Чип – это маленькая пластинка, на поверхности которой размещены рецепторы к различным веществам – белкам, токсинам, аминокислотам и т.п. Достаточно капнуть на чип крошечную каплю плазмы, крови или другой биологической жидкости, как «родственные» молекулы прикрепятся к рецепторам. Затем прибор-анализатор считает информацию. Биочипы, созданные в Институте молекулярной биологии им. Энгельгардта РАН под руководством академика Андрея Мирзабекова, «умеют» практически мгновенно выявлять возбудителей туберкулеза, ВИЧ, особо опасных инфекций, многие яды, антитела к раку и т.п. Причем российские биочипы оказались намного дешевле и эффективнее американских. Однако внедрение этой новейшей технологии в практическую медицину идет очень медленно.
Глава 3.
МЕТОДЫ ПОЛУЧЕНИЯ НАНОКРИСТАЛЛИЧЕСКИХ МАТЕРИАЛОВ
Материалы — это вещества или композиции веществ, связанные физическим или химическим взаимодействием, которые находят применение в практической деятельности человека благодаря определенным полезным свойствам [9]. Наноструктурные материалы, или сокращенно наноматериалы – это разновидность материалов, которым именно присутствие наноразмерных элементов придает желаемые свойства. Известно, что любое вещество – это совокупность атомов или молекул, которые представляют собой распространенные в природе нанообъекты. В качестве наноматериалов целесообразно выделить материалы, содержащие специфические группировки атомов (молекул) нанометровых размеров, благодаря чему и создается качественно новый объект, существенно отличающийся по свойствам от объектов, не имеющих таких структурных единиц (даже если их химический состав полностью совпадает).
Наноматериаловедение – комплексная сфера деятельности, соединяющая фундаментальную и прикладную науку, технологию и производство. Задачи наноматериаловедения сводятся к следующему [9]:
разработка новых и улучшение свойств традиционных материалов; исследование микроструктуры материалов с целью совершенствования и прогнозирования их поведения в различных условиях эксплуатации;
изучение макросвойств (физико-механических, физических, химических, тепловых, электрических, оптических и др.) в различных условиях;
развитие теоретических основ, позволяющих предсказывать свойства материалов на основе физических моделей различного уровня (электронного, атомарного, кластерного, мезоскопического);
разработка техники компьютерного моделирования, анализа и дизайна материалов с использованием аппарата квантовой механики, методов молекулярной динамики, конечных элементов, динамики структурных дефектов и т.д.;
создание новых и совершенствование традиционных технологий производства, обработки, изучения и утилизации материалов;
поиск новых сфер и способов применения наноматериалов. Наноструктурные материалы должны соответствовать требованиям, предъявляемым к обычным материалам.
Принципиальной основой материаловедения во всей истории развития этой науки являлось положение: свойства материала определяются химическим составом, технологией получения, влиянием внешних факторов (температурой, химическим составом среды, давлением, магнитными полями и т.п.). В настоящее время к перечисленным факторам добавился характерный размер частицы или элемента структуры. Отчасти это объясняет некоторые причины и мотивации появления отдельной дисциплины – «Наноматериаловедение» и ее основные отличительные особенности.
1. Уменьшение характерных размеров R-морфологических единиц (отдельных частиц, зерен, пустот, включений других фаз и т.д.) в область R < 100 нм ведет к сильному изменению всех физических свойств вещества. В этом кроются большие резервы модификации известных материалов и создания совершенно новых из известного и доступного сырья.
2. Оперирование нанообъектами, создание наноструктурных материалов и изделий, их изучение вызвали к жизни специфические приемы, технические решения, которые получили обобщающее название «нанотехнология». Общая тенденция такова, что чем меньше объект, тем большую роль играют диффузионные и миграционные процессы, самоорганизация структуры, самосборка. Одним из основополагающих принципов нанотехнологии являются замена традиционных технологий «сверху вниз», т.е. от большого к малому через отсечение ненужного, к принципу «снизу вверх», т.е. от малого к большому путем безотходного дизайна или самосборки из отдельных атомов, молекул или их кластеров.
3. Преимущества использования наноматериалов и нанотехнологии многообразны. Так, из обычного и вполне доступного сырья удается создавать принципиально новые продукты, добиваться от них свойств и эффектов, не доступных в традиционном материаловедении и технологиях.
Объемными наноструктурированными материалами называют твердые тела с наноразмерной структурой. Подобные материалы могут быть получены путем компактирования нанокристаллических порошков или получением в компактных материалах наноразмерной структуры.
3.1. Методы синтеза нанокристаллических порошков
Существуют различные способы получения нанокристаллических порошков: газофазный синтез, плазмохимический синтез, осаждение из коллоидных растворов, термическое разложение и восстановление, механосинтез, детонационный синтез, упорядочение нестехиометрических соединений, синтез высокодисперсных оксидов в жидких металлах, самораспространяющийся высокотемпературный синтез. Все их можно объединить в три группы: физические, химические и биохимические.
Газофазный синтез
Изолированные наночастицы обычно получают путем испарения металла, сплава или полупроводника при контролируемой температуре в атмосфере инертного газа низкого давления с последующей конденсацией пара вблизи или на холодной поверхности. Это самый простой способ получения нанокристаллических порошков. В отличие от испарения в вакууме, атомы вещества, испарённого в разреженной инертной атмосфере, быстрее теряют кинетическую энергию из-за столкновений с атомами газа и образуют сегрегации (кластеры) [11].
Первые работы в этом направлении были выполнены немецким ученым В. Кольшуттером в 1912 г. [11]: изучение испарения Zn, Cd, Se и As в вакууме, а также в водороде, азоте и углекислом газе показало, что размер получаемых частиц зависит от давления и атомного веса газа. Первый обширный обзор, посвящённый детальному обсуждению метода конденсации и образованию высокодисперсных частиц металлов путём конденсации металлического пара, опубликовали в 1969 г. М.Я. Ген и Ю.И. Петров. Конденсация в перенасыщенном паре протекает через образование и рост зародышей (кластеров). Методом совместной конденсации паров металлов в Аr и Не удалось получить высокодисперсные сплавы Аu-Сu и Fе-Сu, образованные сферическими частицами диаметром 16–50 нм [11].
Вариантом конденсации пара металла в газовой атмосфере является предложенный ещё в XIX в. русскими учеными В. Тихомировым и А. Лидовым метод диспергирования металла с помощью электрической дуги в жидкости и последующей конденсации металлического пара в парах жидкости.
Установки, использующие принцип испарения-конденсации, различаются способом ввода испаряемого материала, способом подвода энергии, рабочей средой, организацией процесса конденсации и системой сбора полученного порошка. Испарение металла может происходить из тигля или же металл поступает в зону нагрева и испарения в виде проволоки, впрыскиваемого металлического порошка или в струе жидкости. Может использоваться также распыление металла пучком ионов аргона. Подвод энергии может осуществляться непосредственным нагревом, пропусканием электрического тока через проволоку, электродуговым разрядом в плазме, индукционным нагревом токами высокой и сверхвысокой частоты, лазерным излучением, электронно-лучевым нагревом. Испарение и конденсация могут происходить в вакууме, в неподвижном инертном газе, в потоке газа, в том числе в струе плазмы.
Конденсация парогазовой смеси может происходить при её поступлении в камеру (с большим сечением и объёмом), заполненную холодным инертным газом; охлаждение будет происходить как за счёт расширения, так и благодаря контакту с холодной инертной атмосферой. Существуют установки, в которых в камеру конденсации поступают две струи – парогазовая смесь подаётся вдоль оси, а по её периферии поступает кольцевая струя холодного инертного газа. В результате турбулентного смешения температура паров металла уменьшается, увеличивается пересыщение и происходит быстрая конденсация. Из классического материаловедения известно, что чем выше градиент температур при кристаллизации, тем меньше размеры образовавшихся кристаллов. Благоприятные условия конденсации металлических паров создаются в результате создания высокого градиента температуры. Конденсация паров в этом случае происходит почти мгновенно.
Частицы полученного конденсацией нанокристаллического порошка настолько малы, что находятся в постоянном броуновском движении и остаются взвешенными в газе, не осаждаясь под действием силы тяжести. Для сбора полученных порошков используют специальные фильтры и центробежное осаждение, иногда применяют улавливание жидкой плёнкой.
В зависимости от условий испарения металла (давление газа, расположение и температура подложки) его конденсация может происходить как в объёме, так и на поверхности реакционной камеры. Для объёмных конденсатов более характерны частицы сферической формы, для поверхностного конденсата – частицы, имеющие огранку. При одинаковых условиях испарения и конденсации металлы, имеющие более высокую температуру плавления, образуют частицы меньшего размера.
В последнее время газофазный метод синтеза получил более широкое развитие благодаря разным способам нагрева испаряемого вещества. Используют электронно-лучевой, плазменный, лазерный и дуговой способы нагрева. Метод конденсации паров в инертном газе наиболее часто используется в научных целях – для получения небольших количеств нанопорошков. Синтезированные этим методом порошки мало агломерируются и спекаются при сравнительно низкой температуре.
На рис. 3.1 представлен прибор для получения керамических нанопорошков из металлоорганических прекурсоров. Испарителем в этом случае является трубчатый реактор, в котором прекурсор смешивается с несущим инертным газом и разлагается. Образующийся непрерывный поток кластеров или наночастиц попадает из реактора в рабочую камеру и конденсируется на холодном вращающемся цилиндре.
Рис. 3.1. Схема прибора для получения нанокристаллических керамических порошков методом конденсации паров (СУС) с использованием металлоорганических прекурсоров как источника конденсируемого пара [2]
Успешное проведение процесса обеспечивается малой концентрацией прекурсора в инертном газе, быстрым расширением и охлаждением газового потока при выходе из реактора в рабочую камеру, низким давлением в рабочей камере. Полученные этим способом нанопорошки по своим характеристикам (дисперсный состав, агломерируемость, температура спекания) не отличаются от нанопорошков, синтезируемых стандартным методом испарения и конденсации.
Свойства изолированных нанокристаллических частиц в большой мере определяются поверхностным слоем. При толщине поверхностного слоя, равной 3–4 атомным монослоям (0,5–1,5 нм), и среднем размере нанокристалла 1020 нм поверхностный слой занимает до 50 % всего вещества. Высокоразвитая поверхность частиц сильно увеличивает их реакционную способность и затрудняет их изучение.
Плазмохимический синтез
Плазмохимический синтез с разными способами создания плазмы – один из наиболее перспективных методов получения разнообразных наноструктурных материалов. Он наиболее распространён для получения высоко дисперсных порошков нитридов, карбидов, боридов и оксидов. Основными условиями получения высокодисперсных порошков этим методом являются протекание реакции вдали от равновесия и высокая скорость образования зародышей новой фазы при малой скорости их роста. В реальных условиях плазмохимического синтеза получение наночастиц целесообразно осуществлять за счёт увеличения скорости охлаждения потока плазмы, в котором происходит конденсация из газовой фазы; благодаря этому уменьшается размер образующихся частиц, а также подавляется рост частиц путём их слияния при столкновении.
При плазмохимическом синтезе используется низкотемпературная (4000–8000 К) азотная, аммиачная, углеводородная, аргоновая плазма дугового, тлеющего, высоко- или сверхвысокочастотного разрядов. В качестве исходного сырья применяют элементы, их галогениды и другие соединения. Характеристики получаемых порошков зависят от используемого сырья, технологии синтеза и типа реактора. Частицы плазмохимических порошков имеют размеры от 10 до 100–200 нм и более и являются монокристаллами. Плазмохимический синтез обеспечивает высокие скорости образования и конденсации соединения и отличается высокой производительностью. Главные недостатки плазмохимического синтеза – широкий разброс частиц по размерам и высокое содержание примесей в порошке. К настоящему времени плазмохимическим методом получены высокодисперсные порошки нитридов титана, циркония, гафния, ванадия, ниобия, тантала, бора, алюминия и кремния, карбидов титана, ниобия, тантала, вольфрама, бора и кремния, оксидов магния, иттрия и алюминия [11]. Наиболее широко плазмохимический метод применяется для синтеза нитридов переходных металлов IV и V групп.
Температура плазмы, доходящая до 10000 К, определяет наличие в ней ионов, электронов, радикалов и нейтральных частиц, находящихся в возбужденном состоянии. Наличие таких частиц приводит к высоким скоростям взаимодействия и быстрому (за 10-3–10-6 с) протеканию реакций. Высокая температура обеспечивает переход практически всех исходных веществ в газообразное состояние с их последующим взаимодействием и конденсацией продуктов. Плазмохимический синтез включает несколько этапов. На первом этапе происходит образование активных частиц в дуговых, высокочастотных и сверхвысокочастотных плазменных реакторах. Наиболее высокой мощностью и коэффициентом полезного действия обладают дуговые плазменные реакторы, однако получаемые в них материалы загрязнены продуктами эрозии электродов (безэлектродные высокочастотные и СВЧ плазменные реакторы не имеют этого недостатка). На втором этапе в результате закалки происходит выделение продуктов взаимодействия. Получаемые плазмохимическим синтезом порошки имеют правильную форму и размер частиц 10–100 нм и более.
Плазмохимические порошки карбидов металлов, бора и кремния обычно получают взаимодействием хлоридов соответствующих элементов с водородом и метаном или другими углеводородами в аргоновой высокочастотной или дуговой плазме, нитриды получают взаимодействием хлоридов с аммиаком или смесью азота и водорода в низкотемпературной СВЧ-плазме. С помощью плазмохимического синтеза можно получать также многокомпонентные субмикрокристаллические порошки, представляющие собой смеси карбида и нитрида, нитрида и борида, нитридов разных элементов и т.д.
Синтез оксидов в плазме электродугового разряда проводится путём испарения металла с последующим окислением паров или окислением частиц металла в кислородсодержащей плазме. В работе [1] описан плазмохимический синтез наночастиц оксида алюминия со средним размером 10–30 нм. Образование нанопорошков оксида алюминия с минимальным размером частиц достигается при взаимодействии паров металла с кислородом воздуха в условиях интенсивного вдувания воздуха, за счёт чего происходит быстрое уменьшение температуры. Интенсивное охлаждение тормозит рост частиц и увеличивает скорость образования зародышей конденсированной фазы.
Близким к плазмохимическому синтезу является газофазный синтез с использованием лазерного нагрева реагирующей газовой смеси [11]. Преимущества лазерного нагрева – контролируемое гомогенное зародышеобразование, исключение возможности загрязнения, отсутствие поверхностей, вызывающих гетерогенное зародышеобразование, однородное и точное управление процессом. Использование лазера как источника энергии обеспечивает монохроматичность и высокую яркость излучения, благодаря чему достигается высокая степень преобразования света в тепло. В частности, лазерным синтезом получали нанокристаллические порошки Si, Si3N
...