автордың кітабын онлайн тегін оқу Сочинения Джорджа Беркли. Том 3. Философские работы с 1734 по 1745
Джордж Беркли
Сочинения Джорджа Беркли
Том 3. Философские работы с 1734 по 1745
Шрифты предоставлены компанией «ПараТайп»
Переводчик Валерий Алексеевич Антонов
© Джордж Беркли, 2025
© Валерий Алексеевич Антонов, перевод, 2025
Третий том собрания сочинений Джорджа Беркли включает в себя ключевые философские работы, созданные мыслителем в поздний период его жизни — с 1734 по 1745 год. Особенностью этого тома является то, что метафизические идеи Беркли представлены здесь не в чистом виде, в контексте математической («Аналитик») и медицинской («Сейрис») полемики. В «Сейрисе» его философская мысль достигает кульминации в концепции Бога как объединяющего принципа Вселенной
ISBN 978-5-0068-6034-6 (т. 3)
ISBN 978-5-0068-4643-2
Создано в интеллектуальной издательской системе Ridero
Оглавление
Аналитик
Впервые опубликовано в 1734 году
Беркли: Фрейзер. III.
Предисловие редактора к «Аналитике»
«Аналитик» был опубликован в 1734 году, в Дублине и в Лондоне, в то время когда его автор покидал Лондон, чтобы вступить во владение удалённой епархией Клойна, после двухлетнего пребывания в Англии, последовавшего за его возвращением из Род-Айленда. Он всё ещё был занят полемикой с «ничтожными философами», когда вернулся в Ирландию; и «Алкифрон» вызвал критику как со стороны теологов и ортодоксальных мыслителей, так и со стороны религиозных скептиков. В апреле 1734 года он сообщает своему другу Сэмюэлю Джонсону в Коннектикуте, что «что касается книги епископа Корка (Брауна) [1] и другой книги, на которую вы ссылаетесь, автором которой является некий Бакстер [2], их здесь очень мало читают и принимают во внимание; по этой причине я не обратил на них публичного внимания. Отвечать на возражения, на которые уже ответили, и повторять те же самые вещи — задача столь же ненужная, сколь и неприятная. И я бы не обратил внимания на то «Письмо о зрении» [3], если бы оно не было напечатано в газете, которая распространила его по всему королевству.
[1] «Божественная аналогия» епископа Брауна, опубликованная в 1733 году. Восьмая глава содержит защиту «аналогического знания» Брауна о Боге от возражений, выдвинутых в «Алкифроне».
[2] Он ссылается на Эндрю Бакстера, шотландца, автора «Исследования о природе человеческой души» (1734), один из разделов которого озаглавлен: «Рассмотрение схемы декана Беркли против существования Материи, или материального мира, и показание её несостоятельности».
[3] См. Предисловие редактора к «Опыту теории зрения» выше.
Кроме того, я обнаружил, что Теория зрения для большинства людей была несколько туманна; по этой причине я был не прочь воспользоваться возможностью объяснить её [1]».
Но «ничтожный философ» Беркли теперь предстаёт как скептически настроенный математик. В начале 1734 года он так отзывается о своём здоровье и занятиях в письме к своему другу Прайору: «Что до меня, то благодаря упорядоченному образу жизни и очень раннему подъёму (что я нахожу лучшим средством в мире) мне стало значительно лучше; настолько, что, хотя я и не могу читать, мои мысли кажутся такими же ясными, как и всегда. Поэтому я, для развлечения, провожу свои утренние часы в размышлениях о некоторых математических вопросах, которые, возможно, приведут к какому-нибудь результату [2]». Им стал «Аналитик».
Его «Записная книжка» показывает, что его мысли уже тогда работали в этом направлении; впоследствии это проявилось более отчётливо в «Трактате о принципах человеческого знания» и в «De Motu». Эндрю Бакстер в своём «Исследовании» выдвигает в качестве возражения против новой концепции материи и пространства Беркли то, что она заставляет тех, кто её принимает, «подозревать, что даже математика, возможно, не слишком основательна в своих глубинах». Сток рассказывает, что Аддисон был связан с крестовым походом Беркли против математиков-вольнодумцев, поскольку он сказал ему, что Гарт на своём смертном одре оставался невосприимчив к христианству на том основании, что Эдмунд Галлей, знаменитый математик и астроном, убедил его, что эта религия является обманом; потому что её предполагаемое откровение о Боге непостижимо. Как бы то ни было, мысли Беркли в течение этой весны в Лондоне и впоследствии в Клойне были сосредоточены на одном из проявлений «ничтожной философии», предположительно распространённом среди математиков, основанном на существовании тайн в религии.
[1] См. мою книгу «Жизнь и письма Беркли» (1871), стр. 222.
[2] Там же, стр. 210.
«Аналитик» обращён к Эдмунду Галлею (1646–1742), знаменитому астроному, в образе «математика-неверующего». В науке Галлей стоял сразу после Ньютона по единодушному признанию его современников, и в его опубликованных трудах нет доказательств религиозного скептицизма. Его «неверие» основывается на общей молве и частных высказываниях, подобно якобы атеистическому «доказательству» Энтони Коллинза; на всё это Беркли, возможно, был опрометчиво склонен опираться. Но его подозреваемый материализм лишил Галлея поддержки Стиллингфлита, когда он был кандидатом на Савилейскую кафедру геометрии в Оксфорде вместе с Дэвидом Грегори. И нам рассказывают [1], что Ньютон остановил его, когда он говорил с пренебрежением о религии, мягким упрёком: «Я изучал эти вещи; вы — нет». Этот вопрос обсуждается в «Защите Галлея от обвинения в религиозном неверии» (1844), написанной преподобным С. Дж. Риго из Ипсвича.
[1] «Жизнь Ньютона» Брюстера
Философская и теологическая цель «Аналитика», отдельно от математических дискуссий, к которым он привёл, может быть смешана с чисто математической полемикой. В уме Беркли это есть аргумент к человеку (argumentum ad hominem) против математиков-вольнодумцев, продолжающий также главный аргумент Седьмого диалога «Алкифрона». Некоторые математики отвергают религию на основании её конечной непостижимости: но их собственная наука в конечном счёте также непостижима; и действительно, некоторые её доктрины покоятся на рассуждениях, которые кажутся несвязными, если не противоречивыми. Математика, как и всё остальное человеческое знание, поддерживается только верой или доверием, которые незаменимы в условиях отсутствия всеведения. Религия неизбежно разделяет эту конечную непостижимость, общую для неё с самой доказуемой частью человеческого знания.
Подобный аргумент появляется в Седьмом диалоге «Алкифрона» и приближается к нему во «Введении» к «Трактату о принципах» (раздел 20), где утверждается, что слова не всегда должны обозначать идеи: без идей они могут выражать практические правила, достаточные для того, чтобы нам действовать. В основе всего человеческого знания лежат рабочие принципы, которые не могут быть сведены к нашим идеям: неразумно настаивать на такой их интерпретации. В этом отношении наука и религия находятся в одинаковом положении. Сила так же непостижима, как благодать. Оба имеют практическое значение; но ни одно из значений не может быть полностью представлено в наших идеях чувств или воображения. Так же и с «математиком-неверующим». Он возражает против религии, потому что Бога нельзя полностью представить в чувственном образе: он должен с тем же основанием отвергнуть математику, потому что она тоже укоренена в подобной тайне.
Метод флюксий Ньютона, тогда столь модный, берётся в качестве примера. Флюксии не представимы в воображении: мы не можем осознать их в идеях чувств; и доказательства, которые их поддерживают, полезные в своих результатах, в конечном счёте человечески непостижимы. Тем не менее, математики-«вольнодумцы» готовы принять в рамках своей собственной науки то, что они отвергают в религии: флюксии, как и религия, при сведении к конечным принципам, включают незавершённые или таинственные концепции, которые превосходят человеческое понимание: и «математики-неверующие» принимают их, доверяя авторитету не до конца понятых принципов, а некоторые неверующие — личному авторитету сэра Исаака Ньютона.
В своей критике обоснования флюксий Беркли, несомненно, затронул спорные моменты в ньютоновской теории. Де Морган в своём очерке «Ранняя история исчисления бесконечно малых в Англии» говорит, что доктрина Ньютона различалась в разные периоды; что до 1704 года он рассматривал бесконечно малые величины; что в том году, в своей «Quadratura Curvarum», он отказался от бесконечно малой величины, и в такой манере, которая могла навести на мысль, что он никогда её не принимал. Де Морган далее полагает, что Беркли в «Аналитике» не мог или не хотел видеть, что Ньютон 1687 года и Ньютон 1704 года придерживались двух разных способов мышления; и что он противопоставляет бесконечно малые моменты «Начал» противоречивым заявлениям в «Quadratura».
В этой близкой ему области Беркли проявляет свою характерную проницательность. Он смело бросает вызов современным аналитикам; доказывает, что математики в своих доказательствах вынуждены принимать то, что не может быть сведено к конечным объектам чувств; и приходит к выводу, что рассуждающие, которые могут принять тайны в своей собственной области, непоследовательны, отвергая религию, потому что она предъявляет подобное требование к не полностью постижимому доверию. Таким образом, всё человеческое знание — физическое, математическое и теологическое — в конечном счёте является скорее практической верой, нежели perfectly постигнутой наукой.
Можно допустить, что природная стремительность Беркли и склонность доводить концепции до крайностей ведут его в «Аналитике» к положениям, которые по меньшей мере легко могут быть misunderstood. Не довольствуясь тем, чтобы подчеркивать непостижимость, если не противоречивость, оснований математики, особенно флюксий, он приписывает фальшь ньютоновскому анализу. Он говорит так, как будто флюксии содержат положительные противоречия, а не merely относительную непостижимость; и математики жалуются, что он был слеп к ньютоновской концепции непрерывности. Но он спорил с лицами, которые, как предполагалось, исходили из того, что слова должны означать нечто, сводимое к данным чувств, и которые отвергали тайны религии потому, что те не поддавались такому анализу иначе как ценой противоречия. Он, по-видимому, рассматривает ньютоновскую концепцию непрерывности как открытую для подобного же возражения, с той же точки зрения; как неспособную быть сведённой к данным чувств и воображения и, следовательно, влекущую за собой противоречия, когда с ней обращаются так, как если бы она была к ним сводима. Если это всё, что он имел в виду, то его язык недостаточно осторожен. Карно и Лагранж, Эйлер и Д'Аламбер впоследствии пытались различными способами разрешить трудности, сходные с некоторыми из тех, которые выявил Беркли.
Беркли много говорит о тайнах, заключённых в количественной бесконечности в математике: можно было бы ожидать, что он сослался бы на тайну бесконечной жизни в религии; которая, более того, включает в себя как качественную, так и количественную непостижимость. Жизнь, продлённая на миллионы лет, умноженные на миллионы, всё ещё конечна и, следовательно, постижима, отличаясь таким образом от жизни, которая абсолютно бесконечна; и «не видел того глаз, не слышало ухо, и не приходило то на сердце человеку» — представить себе жизнь, освобождённую от физических условий смертной жизни на земле. Чувственное воображение не может создать картину бессмертия, и всё же это слово было средством огромного влияния в духовной истории человека. Это яркий пример того, что имеет в виду Беркли, когда говорит, что «сообщение идей не является главной и единственной целью языка, как это обычно предполагается»; ибо у него есть и другие цели, «как-то: возбуждение какой-либо страсти, побуждение к действию или удержание от него, приведение души в некоторое particular расположение»; так что «страхи, любовь, ненависть, восхищение, презрение и тому подобные страсти немедленно возникают в душе при восприятии определённых слов, без всяких идей, являющихся посредниками».
Появление «Аналитика» с его метафизикой послужило сигналом к математической полемике, памятной в истории науки в Англии восемнадцатого века. В течение семи лет, последовавших за его появлением, было выпущено около тридцати pamphlets и сталей в нападение или защиту, в которых приняли участие некоторые из главных математиков того времени.
Впереди всех них был доктор Джеймс Джурин (1684–1750) из Кембриджа, знаменитый врач и физик, близкий друг Ньютона, который напал на «Аналитика» вскоре после его появления, под псевдонимом Philalethes Cantabrigiensis, в pamphlet озаглавленном «Геометрия — не друг неверия; или Защита сэра Исаака Ньютона и британских математиков. В письме к автору Аналитика». «Защита свободомыслия в математике» Беркли, опубликованная в марте 1735 года, является его ответом Джурину. Последовало возражение от Philalethes Cantabrigiensis, в «Ничтожном математике; или Свободомыслящий — не справедливомыслящий, изложенное во втором письме к автору Аналитика; содержащем защиту сэра Исаака Ньютона и британских математиков против недавнего pamphletа, озаглавленного „Защита свободомыслия в математике“». На это второе письмо, датированное 13 июня 1735 года и опубликованное в следующем месяце, Беркли не ответил.
В том же году Уолтон из Дублина предложил «Оправдание флюксий сэра Исаака Ньютона». На это Беркли ответил в «Приложении» ко второму изданию своей «Защиты свободомыслия в математике», Приложении, которое заканчивается серией вопросов. Возражение Уолтона озаглавлено «Катехизис автора „Ничтожного философа“ полностью отвеченный». Этот ответ вызвал со стороны Беркли его «Причины не отвечать на полный ответ мистера Уолтона, в письме к О. Т. П.». На это Уолтон ответил в «Ответе на „Причины не отвечать на полный ответ мистера Уолтона“», приложенном ко второму изданию его «Катехизиса». На этом полемика между Беркли и Уолтоном закончилась.
Обсуждение продолжалось в течение нескольких лет среди математиков, становясь всё более исключительно математическим, в пренебрежении к метафизическому аргументу, который был побудительным мотивом «Аналитика». Ниже приведены наиболее важные из относящихся к делу публикаций:
«Рассуждение о природе и достоверности методов флюксий сэра Исаака Ньютона и о первых и последних отношениях» Бенджамина Робинса. Робинс (1707–51) был выдающимся математиком, который незадолго до этого вступил в полемику с Бернулли о концепции движения Лейбница. Возвращаясь из-за границы, он застал английских математиков горячо занятыми обсуждением, поднятым «Аналитиком». Его «Рассуждение», появившееся в 1735 году, было followed в 1739 году его «Замечаниями на „Трактат о движении“ г-на Кёллера; на сложную систему оптики доктора Смита, магистра Тринити-колледжа в Кембридже; и на „Рассуждение о distinct и indistinct зрении“ доктора Джурина»; таким образом, связанные с теорией зрения. «Рассуждение» 1735 года было рецензировано в «Republic of Letters» в сентябре того же года. В декабрьском номере есть критика Робинсом «возражений против доктрины флюксий и последних пропорций; с замечаниями о методах, принятых для их устранения». Полемика была продолжена в серии статей Робинса и Джурина, которые появились в «Republic of Letters» в январе, апреле, июле и августе 1736 года. Генри Пембертон (1694–1771), врач, друг Ньютона, который поручил ему наблюдение за третьим изданием «Начал» (1726), также участвовал в полемике. Серия из девяти статей и возражений между Пембертоном и Джуриным появилась в «Works of the Learned» в 1737 году, начиная с февраля.
В 1736 году преподобный Томас Байес (?) опубликовал «Введение в учение о флюксиях и защиту математиков от возражений автора „Аналитика“», насколько они предназначены для того, чтобы повлиять на различные методы рассуждения. В следующем году Джеймс Смит выпустил «Новый трактат о флюксиях»; а в 1741 году была опубликована анонимная «Объяснение флюксий». В 1745 году появилось «Утверждение гармонии древней и современной геометрии: в ответ на призыв автора „Аналитика“ к прославленным математикам нынешнего века прояснить то, что он называет их тёмной аналитикой». Этот забытый трактат состоит из документов, представленных Королевскому обществу, в которых флюксии рассматриваются как раздел более общего метода рассуждения, называемого максиминоритет и минимайоритет. В 1739 году Робинс опубликовал «Замечания» на Эйлера, Смита и Джурина, на которые Джурин ответил в том же году. Возражение Робинса в 1740 году повлекло за собой «Ответ» от Джурина в следующем году. В 1742 году Колин Маклорен, знаменитый шотландский математик, опубликовал обстоятельный «Трактат о флюксиях». Все эти работы являются примерами объёмной полемики, родоначальником которой был «Аналитик». «„Аналитик“, — по словам профессора Келланда, — оказал услугу науке, если не другим, то тем, что дал повод для работы Маклорена о флюксиях. Принципы метода были ранее изложены сжато и туманно: он развил их по манере древних геометров».
Беркли ссылается на полемику вокруг «Аналитика» в «Сирис» (раздел 271, примечание), что можно считать его последним словом по этому вопросу. Математическая важность «Аналитика» меньше, чем его метафизическая, или же его биографическая и историческая значимость.
Рассуждение, обращённое к математику-неверующему
1. Хотя я и не знаком с вами лично, сударь, мне хорошо известна та репутация, которую вы снискали в отрасли, составляющей ваше основное занятие. Известен мне и тот авторитет, который вы, вследствие сего, присваиваете себе в вопросах, чуждых вашей профессии; равно как и те злоупотребления, что вы, вкупе с иными особами вашего склада, позволяете себе, опираясь на сей незаконный авторитет. Вы вводите в заблуждение неосторожных людей в вопросах величайшей важности, — в вопросах, где ваши математические познания никоим образом не могут служить мерилом компетенции. Впрочем, справедливость и здравый смысл велят нам пренебрегать суждением людей о вещах, кои они не обдумали и не исследовали. Но некоторые, громче всех заявляющие о своих притязаниях на эти качества, тем не менее, делают как раз то, что, казалось бы, презирают, облекаясь в ливрею мнений других людей и надевая на себя всеобщее почтение к суждению вас, господ, которые почитаются из всех людей величайшими мастерами рассудка, наиболее сведущими в отчётливых идеях и никогда не принимающими things на веру, но всегда ясно видящими свой путь, как люди, постоянным занятием которых является выведение истины путём справедливейшего умозаключения из самых очевидных принципов. С этим предубеждением на уме они подчиняются вашим решениям там, где вы не имеете права решать. И что это — один из кратких путей к созданию неверующих, мне достоверно известно.
2. Поскольку же предполагается, что вы постигаете отчётливее, рассматриваете пристальнее, выводите справедливее и заключаете точнее, нежели прочие люди, и что вы поэтому менее религиозны, ибо более рассудительны, я потребую привилегии свободомыслящего; и возьму на себя liberty исследовать объект, принципы и метод доказательства, принимаемые математиками нынешнего века, с той же свободой, с какой вы, как предполагается, обращаетесь с принципами и тайнами Религии; дабы все люди могли видеть, какое право вы имеете вести за собой, или какое поощрение есть у других следовать за вами. Старое замечание гласит, что Геометрия есть превосходная Логика. И должно признать, что когда определения ясны; когда постулаты не могут быть отвергнуты, ни аксиомы оспорены; когда из отчётливого созерцания и сравнения фигур их свойства выводятся посредством непрерывной, хорошо связанной цепи следствий, причём объекты постоянно сохраняются в виду, и внимание всегда fixed на них; тогда приобретается привычка рассуждать, тесная, точная и методичная — какая привычка укрепляет и оттачивает ум и, будучи перенесена на другие subjects, имеет общее употребление в поиске истины. Но насколько это относится к нашим геометрическим аналитикам, perhaps стоит рассмотреть.
3. Метод Флюксий есть всеобщий ключ, с помощью коего современные математики отпирают секреты Геометрии, и, следовательно, Природы. И, поскольку именно он позволил им столь замечательно превзойти древних в открытии теорем и решении проблем, упражнение и приложение оного стало главным, если не единственным, занятием всех тех, кто в сей век слывёт глубокими геометрами. Но whether сей метод ясен или тёмен, последователен или противоречив, доказателен или сомнителен, я буду исследовать с величайшей беспристрастностью, и так же представлю моё исследование на ваше собственное суждение и суждение каждого беспристрастного читателя. — Предполагается, что линии порождаются [1] движением точек, плоскости — движением линий, а твёрдые тела — движением плоскостей.
[1] [Introd. ad Quadraturam Curvarum.] — АВТОР. В этом и трёх последующих разделах представлено краткое изложение тайн, заключённых в ньютоновских флюксиях, а также в исчислении континентальных математиков, которые, как утверждается, требуют не меньшей конечной веры, чем тайны, которые заключает в себе религия.
И поскольку количества, порождённые в равные времена, бывают больше или меньше в соответствии с большей или меньшей скоростью, с коей они возрастают и порождаются, был найден метод определять количества по скоростям их порождающих движений. И такие скорости называются флюксиями: а порождённые количества называются флюентами (текущими количествами). Говорят, что эти флюксии приблизительно так относятся друг к другу, как приращения флюент, порождённые в наименьшие равные частицы времени; и точно — в первой пропорции нарождающихся, или в последней — исчезающих приращений. Иногда, вместо скоростей, рассматриваются мгновенные приращения или убыли неопределённых флюент под названием моментов.
4. Под моментами мы не должны понимать конечные частицы. Говорят, что это не моменты, но количества, порождённые из моментов, каковые последние суть лишь зарождающиеся принципы конечных количеств. Говорится, что малейшие ошибки не должны быть neglected в математике: что флюксии суть скорости, не пропорциональные конечным приращениям, сколь бы те ни были малы; но лишь моментам или нарождающимся приращениям, где рассматривается одна лишь их пропорция, а не величина. И у упомянутых флюксий есть другие флюксии, которые флюксии от флюксий называются вторыми флюксиями. А флюксии от этих вторых флюксий называются третьими флюксиями: и так далее, четвёртые, пятые, шестые и т. д. до бесконечности. Итак, как наше Чувство напряжено и озадачено восприятием объектов чрезвычайно малых, так же и Воображение, каковая способность происходит от чувства, очень напряжено и озадачено, чтобы формировать ясные идеи наименьших частиц времени или наименьших приращений, порождённых в оных: и ещё более — чтобы постигать моменты, или те приращения флюент в statu nascendi, в самом их первом origin или начале существования, прежде чем они станут конечными частицами. И представляется ещё более трудным постигать отвлечённые скорости таких зарождающихся несовершенных сущностей. Но скорости от скоростей — вторые, третьи, четвёртые и пятые скорости и т. д. — превосходят, если я не ошибаюсь, всякое человеческое understanding. Чем далее ум анализирует и преследует эти ускользающие идеи, тем более он теряется и приходит в замешательство; объекты, вначале мимолётные и minute, скоро исчезая из виду. Несомненно, в любом смысле, вторая или третья флюксия представляется тёмной Тайной. Начинающаяся скорость от начинающейся скорости, нарождающееся приращение от нарождающегося приращения, т. е. от вещи, не имеющей величины — примите это в каком угодно свете, ясное conception оного, если я не ошибаюсь, окажется невозможным; так это или нет, я предоставляю испытанию каждого мыслящего читателя. И если вторая флюксия непостижима, что же нам думать о третьих, четвёртых, пятых флюксиях и так далее без конца?
5. Иностранные математики, по мнению некоторых, даже из наших собственных, действуют manner менее точным, perhaps, и геометрическим, но более вразумительным. Вместо флюент и их флюксий, они рассматривают переменные конечные количества как возрастающие или уменьшающиеся путём continual прибавления или вычитания бесконечно малых количеств. Вместо скоростей, коими порождаются приращения, они рассматривают сами приращения или убыли, которые они называют разностями и которые предполагаются бесконечно малыми. Разность линии есть бесконечно малая линия; разность плоскости — бесконечно малая плоскость. Они предполагают, что конечные quantities состоят из частей бесконечно малых, и что кривые суть многоугольники, стороны которых бесконечно малы, и которые углами, образуемыми ими друг с другом, определяют кривизну линии. Теперь, постичь количество бесконечно малое — то есть, бесконечно меньшее, чем любое ощутимое или вообразимое количество, или любая наименьшая конечная величина — это, признаюсь, выше моей способности. Но постичь часть такого бесконечно малого количества, которая должна быть всё ещё бесконечно меньше его, и, следовательно, будучи умноженной бесконечно, никогда не сравняется с малейшей конечной quantity, это, я подозреваю, есть бесконечная трудность для любого человека whatsoever; и будет признано таковой теми, кто чистосердечно говорит, что они думают; при условии, что они действительно думают и размышляют, а не принимают вещи на веру.
6. И всё же в дифференциальном исчислении, чей метод служит всем тем же целям и намерениям, что и метод флюксий, наши современные аналитики не довольствуются рассмотрением лишь разностей конечных величин: они рассматривают также разности этих разностей, и разности разностей первых разностей: и так до бесконечности. То есть, они рассматривают величины бесконечно меньшие, чем наименьшая различимая величина; и другие, бесконечно меньшие, чем эти бесконечно малые; и всё другие, бесконечно меньшие, чем предшествующие инфинитезимали, и так без конца и предела. Так что мы вынуждены допустить бесконечную последовательность инфинитезималей, каждая из которых бесконечно меньше предыдущей и бесконечно больше последующей. Подобно тому, как существуют первые, вторые, третьи, четвёртые, пятые и т. д. флюксии, так существуют и разности, первые, вторые, третьи, четвёртые и т.д., в бесконечном progression к ничто, к которому ты всё приближаешься и никогда не достигаешь. И (что всего удивительнее) хотя бы ты взял миллион миллионов этих инфинитезималей, каждая из которых предполагается бесконечно большей, чем некоторая другая реальная величина, и прибавил их к наименьшей заданной величине, она от этого ничуть не станет больше. Ибо это есть одно из скромных допущений наших современных математиков и является краеугольным камнем или основанием их умозрений.
7. Все эти положения, говорю я, предполагаются и принимаются на веру некоторыми строгими требователями доказательств в религии, людьми, которые pretendent верить не дальше, чем могут видеть. То, что люди, имевшие дело лишь с ясными положениями, с трудом допускают тёмные, могло бы показаться не совсем необъяснимым. Но тот, кто может переварить вторую или третью флюксию, вторую или третью разность, не должен, мне кажется, брезговать каким бы то ни было положением в богословии. Существует естественное предположение, что способности людей созданы одинаковыми. Именно на этом предположении они пытаются спорить и убеждать друг друга. Следовательно, то, что одному кажется очевидно невозможным и противоречивым, можно предположить таковым же и для другого. Но с каким видом разумности может кто-либо осмелиться утверждать, что тайны не могут быть объектами веры, в то же самое время, когда он сам допускает подобные тёмные тайны быть объектом науки [[1]]?
___________
[[1] «Объекты науки», то есть объекты веры, или разумного доверия, которое лежит в основе математического и естественнонаучного знания, как оно же лежит и в основе религии и богословия.]
— —
8. Действительно, должно признать, современные математики не рассматривают эти вопросы как тайны, но как ясно постигнутые и освоенные их всеобъемлющими умами. Они не стесняются говорить, что с помощью этой новой аналитики они могут проникнуть в саму бесконечность: что они могут даже распространить свои взгляды за пределы бесконечности: что их искусство объемлет не только бесконечное, но и бесконечное из бесконечного (как они это выражаются), или бесконечность бесконечностей. Но, несмотря на все эти утверждения и притязания, можно справедливо усомниться, не обманываются ли и они точно так же, как другие люди в других изысканиях часто бывают обмануты словами или терминами, чудесным образом будучи введены в заблуждение своими собственными особыми знаками, символами или видами. Нет ничего легче, чем придумать выражения или обозначения для флюксий и инфинитезималей первого, второго, третьего, четвёртого и последующих порядков, proceeding в той же правильной форме без конца и предела x. ’x. '’x. «»’x. и т. д. или dx. ddx. dddx. ddddx. и т. д. Эти выражения, действительно, ясны и отчётливы, и ум не находит трудности в том, чтобы представить их продолжающимися beyond любых назначенных границ. Но если мы приподнимем покров и заглянем под него, если, отложив в сторону выражения, мы пристально обратимся к рассмотрению самих вещей, которые, как предполагается, ими выражены или обозначены, мы обнаружим много пустоты, темноты и смятения; более того, если я не ошибаюсь, прямые невозможности и противоречия. Так ли это или нет, каждый мыслящий читатель упрашивается исследовать и судить самостоятельно.
9. Рассмотрев объект, я перехожу к рассмотрению принципов этого нового анализа, основанного на моментах, флюксиях или инфинитезималях; в котором, если окажется, что ваши основные положения, от которых, как предполагается, зависят все остальные, содержат ошибку и ложное умозаключение; тогда последует, что вы, сами не знающие, как вести себя, не можете с какой бы то ни было пристойностью назначать себя проводниками для других людей. Главный пункт в методе флюксий — получить флюксию или момент прямоугольника или произведения двух промежуточных величин. Поскольку отсюда выводятся правила для получения флюксий всех других произведений и степеней; какими бы ни были коэффициенты или показатели, целые или дробные, рациональные или иррациональные. Теперь, можно было бы подумать, этот основополагающий пункт должен быть очень ясно разъяснён, учитывая, сколько на нём построено и что его влияние простирается на весь анализ. Но предоставим судить читателю. Вот что даётся в качестве доказательства [[1]].
___________
[[1] Philosophiae Naturalis Principia Mathematica. Lib. II. lem. 2.] — АВТОР.
—
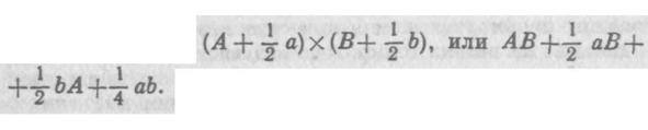
Предположим, что произведение или прямоугольник AB увеличивается непрерывным движением: и что мгновенные приращения сторон A и B суть a и b. Когда стороны A и B были недостаточны, или меньше на половину своих моментов, прямоугольник был A — 1/2a x B — 1/2b, то есть AB — 1/2aB — 1/2bA +1/4ab. И как только стороны A и B увеличиваются на другие две половины своих моментов, прямоугольник становится A +1/2a x B +1/2b или AB +1/2aB +1/2bA +1/4ab. Из последнего прямоугольника вычтем первый, и остающаяся разность будет aB + bA. Следовательно, приращение прямоугольника, порождённое полными приращениями a и b, есть aB + bA. Что и требовалось доказать. Но очевидно, что прямой и истинный метод получения момента или приращения прямоугольника AB — это взять стороны увеличенными на их целые приращения и перемножить их друг на друга, A + a на B + b, произведение которых AB + aB + bA + ab есть увеличенный прямоугольник; откуда, если мы вычтем AB, остаток aB + bA + ab будет истинным приращением прямоугольника, превосходящим то, что было получено предыдущим неправомерным и окольным методом, на величину ab. И это справедливо universally, будь величины a и b какими угодно, большими или малыми, конечными или бесконечно малыми, приращениями, моментами или скоростями. И не поможет говорить, что ab есть величина чрезвычайно малая: поскольку нам говорят, что in rebus mathematicis errores quam minimi non sunt contemnendi,
10. [[1]] Подобные этому рассуждения в качестве доказательства ничто, кроме темноты предмета, не могло бы поощрить или побудить великого автора флюксионного метода навязать своим последователям, и ничто, кроме слепого доверия к авторитету, не могло бы побудить их принять это.
_________
[[1] [Introd, ad Quadraturam Curvarum.]] — АВТОР.
— — —
Положение действительно трудное. Ничего нельзя сделать, пока вы не избавитесь от величины a b. Чтобы добиться этого, понятие флюксий сдвигается: оно помещается в различный свет: пункты, которые должны быть ясны как первые принципы, запутываются; и термины, которые должны использоваться неуклонно, становятся двусмысленными. Но, несмотря на всю эту изворотливость и искусство, цель избавления от a b не может быть достигнута законным рассуждением. Если человек методами не геометрическими и не доказательными удовлетворил себя в полезности некоторых правил; которые он впоследствии предложит своим ученикам в качестве несомненных истин; которые он предпринимает доказать тонким образом и с помощью изящных и запутанных понятий; нетрудно представить, что такие его ученики, чтобы избавить себя от труда мыслить, могут быть склонны смешивать полезность правила с достоверностью истины и принимать одно за другое; особенно если они люди, привыкшие скорее вычислять, чем мыслить; стремящиеся скорее продвигаться быстро и далеко, чем озабоченные тем, чтобы начинать осторожно и видеть свой путь отчётливо.
9. Рассмотрев сам предмет, я далее приступаю к рассмотрению принципов этого нового анализа при помощи моментов, флюксий или бесконечно малых величин; если в результате окажется, что ваши главные положения, от которых, как полагается, зависит все остальное, содержат ошибки и ложные заключения, то отсюда будет следовать, что вы, не знающий, куда направить самого себя, не можете, хотя бы из чувства простой скромности, быть руководителем для других людей. Главное в методе флюксий заключается в том, чтобы получить флюксию, или скорость движения (momentum), для прямоугольника, т. е. произведение двух неопределенных величин. Ибо именно из этого выводятся правила получения флюксий всех других произведений и степеней, независимо от характера коэффициентов или индексов, будь они целыми числами или дробными, действительными или иррациональными. Можно было бы подумать, что это главное положение должно быть очень четко доказано, принимая во внимание, что на нем основано очень многое и что его влияние распространяется на весь анализ. Но пусть читатель судит сам. Покажем использование упомянутого принципа на примере. Положим, что произведение, или прямоугольник АВ, увеличивается благодаря постоянному движению и что мгновенные приращения сторон А в В соответственно равны а и b. Когда стороны А и В были меньше, положим, на 7» их моментов, прямоугольник равнялся.
«Naturalis Philosophiae principia mathematica», lib. 2, lem. 2 [5].
Но как только стороны А и В увеличились на оставшиеся две половины их моментов, прямоугольник становится равным
Вычтем из последнего прямоугольника предыдущий, и останется разность аВ + bА. Следовательно, приращение прямоугольника, образованного целыми приращениями а и b, есть аВ + bА, что и требовалось доказать. Однако очевидно, что для получения момента или приращения прямоугольника АВ прямым и истинным методом необходимо взять стороны такими, какими они получились в результате увеличения их на полные приращения, и затем перемножить их (А+а) х (В+b), а полученное произведение (AB+aB+bA-t-ab) и есть увеличенный прямоугольник; отсюда, если мы вычтем АВ, остаток (аВ+bА+аb) и будет истинным приращением прямоугольника, превышающим тот, который был получен предыдущим незаконным и непрямым методом, на величину ab. и это справедливо в любом случае, какими бы ни были величины а и b, — большими или малыми, конечными или бесконечно малыми, приращениями, моментами или скоростями. Не поможет и утверждение о том, что ab — величина чрезвычайно малая, поскольку нам говорят, что in rebus mathematicis errores quam minimi non sunt contemnendi.
10. Ничто, кроме неясности предмета, не могло бы побудить или заставить великого автора теории флюксий навязать своим последователям такой ход рассуждений, который только что был продемонстрирован нами на примере, и ничто, кроме молчаливого уважения к авторитету, не могло бы заставить их принять его. Вопрос действительно трудный. Ничего нельзя сделать до тех пор, пока не избавимся от величины ab. Чтобы добиться этого, понятие о флюксиях смещается; его освещают с разных сторон; положения, которые должны быть ясны как основополагающие принципы, затуманиваются, а термины, употребление которых должно быть неизменным (steadily), делаются двусмысленными. Но, несмотря на всю эту изощренность и искусство, задача избавления от величины ab не может быть решена при помощи законного логического хода рассуждения. Если кто-либо при помощи негеометрических или демонстративных методов убедит себя в полезности определенных правил, которые он впоследствии сообщит своим ученикам в качестве неоспоримых истин и докажет их весьма тонко, с помощью точных и сложных понятий, то нетрудно представить себе, что такие его ученики, чтобы не утруждать себя размышлениями, могут склониться к спутыванию полезности правила с определенностью истины и принять одно за другое, особенно если они привыкли скорее считать, чем думать, и стремятся идти быстрее вперед, а не заботятся о том, чтобы ступать осторожно и ясно видеть свой путь.
11. Точки, или просто пределы зарождающихся линий, несомненно равны между собой, так как величина одной из них не превышает другой, а предел, как таковой, не есть величина. Если под [механическим] моментом (тоmentum) вы подразумеваете больше, чем самый начальный предел, то он должен быть либо конечной величиной, либо бесконечно малой. и действительно, хотя прибегали ко множеству хитростей, чтобы уклониться от признания величин бесконечно малых или как-либо избежать их, все это, кажется, ни к чему не привело. Насколько я понимаю, без признания существования бесконечно малых величин нельзя признать существование величины, занимающей промежуточное положение между конечной величиной и нулем. Приращение, образованное за конечную частицу времени, само по себе является конечной частицей и вследствие этого не может быть [механическим] моментом. Следовательно, для образования [механического] момента вам нужно брать бесконечно малую частицу времени. Говорят, что величина моментов не принимается во внимание, и тем не менее считается, что эти же самые моменты делятся на части. Это не легко понять, не легче, чем представить себе, почему для получения приращения АВ мы должны брать величины меньшие, чем А и В, хотя необходимо признать, что конечная причина или побудительный мотив такого хода рассуждений совершенно очевидны; но не так легко и просто привести справедливую и законную причину в объяснение этого или показать, что она является строго геометрической.
12. Из доказанного таким образом вышеупомянутого принципа выводится общее правило нахождения у флюента флюксии любой степени *. Но так как автор, кажется, испытывал скрытые угрызения совести или сознавал ущербность вышеприведенного доказательства и так как это нахождение флюксии данной степени есть вопрос первостепенной важности, было сочтено уместным вследствие этого доказать то же самое, но иным способом, отличным от приведенного выше доказательства. Однако теперь я перехожу к рассмотрению того, является ли этот другой метод более законным и убедительным, чем прежний; своему рассмотрению я предпосылаю следующую лемму: «Если для доказательства какого-либо предположения выдвигается определенное положение, благодаря которому доказываются некоторые другие положения, и если такое выдвинутое положение впоследствии само будет опровергнуто или отвергнуто противоположным предположением, то в этом случае все другие положения, доказанные при его помощи и вытекающие из него, должны быть также опровергнуты и отвергнуты, с тем чтобы в дальнейшем они не выдвигались и в доказательстве не применялись». Это настолько очевидно, что не нуждается в доказательстве.
13. Второй способ получения правила нахождения флюксии любой степени заключается в следующем. Пусть величина х возрастает равномерно (uniformly) и пусть предлагается найти флюксию хn. За тот же отрезок времени, что х путем возрастания становится (х+0), степень хn становится (х+0) n; т. е. в соответствии с методом бес-
допустим, что приращения исчезают, и их последнее отношение будет составлять 1: nxn-1. Но, представляется нам, такой ход рассуждений не будет справедливым или убедительным. Ибо когда говорят: пусть приращения исчезают, т. е. пусть приращения равны нулю или пусть не будет никаких приращений, тем самым прежнее допущение, что приращения представляют собой какую-то величину или что приращения имели место, отвергается, однако следствие того допущения, т. е. выражение, полученное благодаря ему, сохраняется. А это, в соответствии с вышеуказанной леммой, представляет собой ложный ход рассуждения. Безусловно, если мы предполагаем, что приращения исчезают, то мы должны предположить, что вместе с ними исчезают их соотношения, их выражения и все остальное, выведенное из предположения об их существовании.
14. Чтобы сделать этот вопрос более понятным, я разверну ход рассуждения и изложу его перед вами более полно. Он сводится, следовательно, к следующему, или, другими словами, может быть выражен следующим образом. Я полагаю, что величина х — переменная, что она возрастает в результате изменения, ее приращение я обозначу о, так что в результате возрастания она становится (х+0). Так как х увеличился, из этого следует, что. каждая степень х также увеличивается в соответствующей пропорции. Следовательно, раз х становится (x+0), хn становится (х+0) n, т. е. в соответствии с методом бесконечных рядов
А если из двух возросших величин мы вычтем соответственно основание и степень, то получим в остатке два приращения, а именно 0 и и т.д.,
а если оба приращения разделить на общий делитель «о», то получим частные
которые, следовательно, являются показателями соотношения приращений. До сих пор я предполагал, что х возрастает, что х обладает действительным приращением, что о есть нечто [определенное]. и я все время исходил из этого предположения, без которого я не смог бы сделать ни одного шага вперед. На основании этого предположения я получаю приращение хn, в состоянии сравнить его с приращением х и нахожу соотношение между двумя приращениями. Теперь я прошу разрешить мне сделать новое предположение, прямо противоположное первому, т. е. я предположу, что нет никакого приращения х или что о есть ничто; это второе предположение опровергает мое первое, несовместимо с ним и, следовательно, со всем тем, что им предполагается. Тем не менее я прошу разрешения сохранить nxn-1 — выражение, полученное благодаря моему первому предположению, необходимо обусловленное таким предположением, причем получение его без первого предположения было бы невозможно. Все это представляется весьма непоследовательным способом аргументации, и притом таким, который не допускался бы в отношении вопросов о божественном.
15. Нет ничего более очевидного, как то, что из двух несовместимых предположений нельзя непосредственно вывести правильное заключение. Правда, можно предположить все что угодно. Но ведь нельзя предполагать то, что может уничтожить первое предположение; или же, если вы так поступаете, то должны начать de novo. Следовательно, если вы предполагаете, что увеличения исчезают, т. е. что увеличений нет, то вы должны начать снова и посмотреть, что следует из такого предположения. Но отсюда не следует ничего, что послужило бы вашей цели.
Таким путем вы вообще не сможете прийти к сделанному вами выводу или, проводя анализ конечных величин, успешно осуществить то, что знаменитый автор называет изучением первого или последнего отношения зарождающихся или исчезающих величин. Я вновь повторяю: вы свободны делать любые возможные предположения; и вы можете опровергнуть одно предположение при помощи другого; но тогда вы не можете сохранить следствия или какую-либо часть следствий вашего первого предположения, опровергнутого таким образом. Я признаю, что можно заставить знаки обозначать что-либо или ничто, и, следовательно, в первоначальной записи (х+0) 0 может означать либо приращение, либо нуль. Но затем, какое бы из этих двух значений вы ему ни придали, вы должны рассуждать последовательно в соответствии с этим значением, а не исходить из двойного значения; делать так было бы явным софизмом. Рассуждаете ли вы при помощи слов или символов, правила здравого смысла остаются теми же. Нельзя также предположить, что вы сможете присвоить себе привилегию — быть свободным от этих правил в математике.
16. Если вы сначала допускаете, что какая-то величина возрастает на нуль и в выражении (х+0) 0 обозначает нуль, то, в соответствии с этим допущением, раз не будет приращения основания, не будет и приращения степени; и, следовательно, из всех членов ряда, составляющего степень бинома, останется только первый член; поэтому при помощи такого способа вы никогда не получите законным образом необходимое вам выражение флюксии. Отсюда вы вынуждены ступить на ложный путь, действуя до определенного момента на основании допущения приращения, а затем сразу же изменяя свое допущение на прямо противоположное (отсутствие приращения). Может показаться, что при осуществлении этого в определенный момент или период требуется большое искусство, поскольку, если бы это второе допущение было сделано до деления на общий делитель о, все бы мгновенно исчезло, и на основании своего допущения вы ничего бы не получали; в то время как благодаря этой уловке — сначала разделить, а потом уже изменить свое допущение, вы сохраняете 1 и nхn-1. Но, несмотря на всю эту ловкость, проявленную для прикрытия ошибки, последняя остается той же самой. Ибо независимо от того, сделаете вы это раньше или позже, как только сделано второе допущение или предположение, в тот же самый миг уничтожается и полностью исчезает прежнее допущение и все то, что вы получили при его помощи. и это справедливо в отношении всего, каков бы ни был объект изучения, во всех сферах человеческого познания; я полагаю, что в любой другой из этих сфер люди едва ли бы допустили подобный ход рассуждений, принятый для доказательства в математике.
17. Быть может, не будет лишним заметить, что метод нахождения флюксии от произведения двух текущих величин, как он изложен в «Трактате о квадратурах», отличается от упомянутого выше, взятого из второй книги «Начал», и по сути совпадает с тем, что используется в дифференциальном исчислении [[1]]. Поскольку предположение о бесконечно уменьшающейся величине и последующее её отбрасывание по сути есть отбрасывание бесконечно малой величины; и, действительно, требуется удивительная острота различения, чтобы суметь отличить исчезающие приращения от бесконечно малых разностей. Возможно, скажут, что величина, будучи бесконечно уменьшенной, становится ничем, и, таким образом, отбрасывается ничто. Но, согласно принятым принципам, очевидно, что никакая геометрическая величина никаким делением или подразделением не может быть исчерпана или сведена к нулю. Принимая во внимание различные уловки и приёмы, используемые великим автором метода флюксий; в скольких смыслах он понимает свои флюксии; и сколькими разными способами он пытается доказать один и тот же пункт; можно было бы склониться к мысли, что он сам сомневался в справедливости своих собственных доказательств и что он не был в достаточной мере доволен ни одним понятием, чтобы неуклонно придерживаться его. По крайней мере, очевидно следующее: он признавал себя удовлетворённым относительно определённых пунктов, которые, тем не менее, не брался доказать другим [[2]]. Проистекало ли это удовлетворение из пробных методов или индукций, которые часто допускались математиками (например, доктором Валлисом в его «Арифметике бесконечностей»), я не берусь определять. Но, какова ни была ситуация с автором, представляется, что его последователи проявили себя более ревностными в применении его метода, нежели точными в исследовании его принципов.
___________
[[1] [Analyse des Infiniment Petits, Part I. prop. 2.]] — АВТОР. Ньютон из «Квадратур» (1704) отличается от Ньютона из «Начал» (1687).]
[[2] [См. Письмо Колинзу, 8 ноября 1676г.]] — АВТОР.
18. Любопытно наблюдать, с какой тонкостью и искусством этот великий гений пытается бороться с непреодолимой трудностью; и сквозь какие лабиринты он старается избежать учения о бесконечно малых; которое, хотя и вторгается в его учение волей-неволей, тем не менее принимается и усваивается другими без малейшего сопротивления; — Лейбниц и его последователи в своём дифференциальном исчислении не делают никакого затруднения, чтобы сначала предположить, а затем отбросить бесконечно малые величины; с какой ясностью в понимании и правильностью в рассуждении, любой мыслящий человек, не предубеждённый в пользу этих вещей, может легко усмотреть. Понятие или идея бесконечно малой величины, как объект, просто постигаемый умом, уже были рассмотрены [[1]]. Теперь я лишь замечу относительно метода избавления от таких величин, что это делается без малейших церемоний. Поскольку во флюксиях пунктом первостепенной важности, который прокладывает путь к остальным, является нахождение флюксии от произведения двух неопределённых величин, так и в дифференциальном исчислении (который метод, как предполагается, был заимствован из первого с некоторыми небольшими изменениями) главным пунктом является получение разности такого произведения. Теперь правило для этого получается путём отбрасывания произведения или прямоугольника разностей. И в целом предполагается, что никакая величина не становится больше или меньше от прибавления или вычитания своей бесконечно малой: и, следовательно, никакая ошибка не может возникнуть от такого отбрасывания бесконечно малых.
___________
[[1] [См. «Сейрис», секции 5, 6, 7, 8, 9, 10, 11, 12, 13, 14, 15, 16, 17, 18, 19, 20, 21, 22, 23, 24, 25, 26, 27, 28, 29, 30, 31, 32, 33, 34, 35.]]
19. И всё же следует полагать, что какие бы ошибки ни допускались в посылках, пропорциональные ошибки следует ожидать и в заключении, будь они конечными или бесконечно малыми: и что, следовательно, точность геометрии требует, чтобы ничто не было упущено или отброшено. В ответ на это вы, возможно, скажете, что выводы являются точно верными и что, поэтому, принципы и методы, из которых они выведены, также должны быть таковыми. Но этот перевёрнутый способ доказательства ваших принципов через ваши выводы, будучи характерным именно для вас, господа, является также противоречащим правилам логики. Истинность заключения не доказывает ни форму, ни содержание силлогизма истинными; поскольку умозаключение могло быть проведено неверно или посылки могли быть ложными, и тем не менее заключение могло оказаться истинным, хотя и не в силу такого умозаключения или таких посылок. Я утверждаю, что во всех прочих науках люди доказывают свои выводы своими принципами, а не свои принципы — выводами. Но если в вашей науке вы позволите себе этот противоестественный способ действия, следствием будет то, что вам придётся довольствоваться индукцией и сказать прощай демонстрациям. И если вы на это согласитесь, ваш авторитет более не будет указывать путь в вопросах разума и науки.
— 20. У меня нет разногласий с вами относительно ваших выводов; они у меня есть только относительно вашей логики и метода. Как вы проводите доказательство? Какие предметы вам хорошо знакомы и ясно ли вы их себе представляете? На основе каких принципов вы действуете, насколько они правильны и как вы их применяете? Необходимо помнить, что меня интересует не истинность ваших теорем, а лишь способ их доказательства: законный он или незаконный, ясный или туманный, научный или экспериментальный. Чтобы исключить всякую возможность вашего неверного суждения обо мне, я прошу разрешения повторить и вновь настаиваю, что я рассматриваю геометра-аналитика как логика, то есть [изучаю] то, каким образом он рассуждает и доказывает; а его математические выводы рассматриваю не сами по себе, а в их связи с посылками; не в отношении того, являются ли они истинными или ложными, полезными или не имеющими значения, а лишь в отношении того, каким образом они выводятся из таких принципов и при помощи таких приёмов умозаключения. А поскольку может показаться необъяснимым парадоксом, что математики выводят правильные заключения, исходя из ложных принципов, — могут прийти к верному выводу и тем не менее ошибаться в посылках, — я попытаюсь конкретно объяснить, почему это может произойти, и покажу, как ошибка может породить истину, хотя и не может породить науку.
— Следовательно, для того чтобы выяснить это положение, предположим, например, что надо провести касательную к параболе, и рассмотрим решение этой задачи при помощи бесконечно малых дифференциалов. Пусть АВ — кривая, абсцисса АР = х, ордината РВ = у, приращение абсциссы PM = dx, приращение ординаты RN = dy. Теперь допустим, что кривая представляет собой многоугольник и, следовательно, BN, то есть приращение (разность кривой), является отрезком прямой, совпадающим с касательной, а дифференциальный треугольник BRN подобен треугольнику ТРВ. Тогда подкасательная РТ будет определяться из пропорции RN: RB = РВ: РТ, то есть dy: dx = y: РТ. Отсюда подкасательная будет равна y dx/dy.
Но здесь и содержится ошибка, возникшая в результате вышеупомянутого допущения, не соответствующего действительности, вследствие чего величина РТ получается больше, чем она есть на самом деле: ибо в действительности не треугольник RNB подобен РВТ, а треугольник RLB, и поэтому первым членом пропорции должен быть не RN, a RL, то есть RN + NL, то есть dy + z. Отсюда истинным выражением для подкасательной должно было бы быть y dx/ (dy + z). Следовательно, когда dy было сделано делителем, была допущена ошибка, так как была взята меньшая, чем на самом деле, величина, и эта ошибка равнялась z, то есть NL, отрезку, заключенному между кривой и касательной.
Далее, в соответствии с характеристикой кривой, уу=рх, где р — параметр, отсюда в соответствии с правилом дифференцирования 2y dy=p dx и dy= p dx/2y. Но если умножить (y+dy) само на себя и сохранить все произведение, не отбрасывая площадь дифференциала, тогда, если подставить возросшие величины в уравнение кривой, окажется, что действительно. Следовательно, была допущена ошибка, когда сочли, что, приведшая к увеличению истинного значения и вытекающая из ошибочного правила дифференцирования. и величина этой второй ошибки Следовательно, обе ошибки равны друг другу и взаимно уничтожаются; первая ошибка, приведшая к уменьшению истинного значения выражения, исправлена второй ошибкой, увеличивающей его значение.
22. Если допустить только одну ошибку, не найдешь правильного решения задачи. Но благодаря двойной ошибке доходишь до истины, хотя и не до науки. Ибо нельзя назвать наукой тот путь, при котором двигаешься вслепую и добираешься до истины, не зная как и при помощи каких средств. Для доказательства равенства обозначим BR или dx как m, a RN или dy как n. На основании 33-й теоремы первой книги «Конусов» [грека] Аполлония [9] и подобия треугольников следует, что 2х: у, как. Аналогично из характеристики параболы следует, что (уу+2уn+nn) =хр+mр, а 2уn+nn=mр; вследствие чего и поскольку будет равно х. Следовательно, подставляя эти значения вместо m и х, мы получим
что после сокращения дает что и требовалось доказать.
23. Конечно, вот отредактированный текст. Математические рассуждения сохранены в полном объёме, исправлены стилистические погрешности и улучшена структура предложений для лучшей читаемости.
Теперь я, прежде всего, замечу, что итог получается правильным не потому, что отброшенная величина dy была бесконечно мала, а потому, что эта ошибка была компенсирована другой ошибкой, противоположной по своему характеру, но равной ей. Во-вторых, замечу: что бы ни было отброшено, как бы мало оно ни было, если оно было действительным и, следовательно, составляло реальную ошибку в посылках, оно вызвало бы соответственную ошибку в итоге. В силу этого ваши теоремы не могут быть непогрешимо правильными, а ваши задачи — точно решёнными, так как сами посылки неточны; в логике является правилом: conclusio sequitur partem debiliorem. Поэтому замечу, в-третьих: когда заключение очевидно, а посылки неясны, или, когда заключение точно, а посылки неточны, мы можем совершенно свободно заявить, что такое заключение очевидно или точно не в силу упомянутых неясных и неточных посылок или принципов, а в силу некоторых иных принципов, о которых сам автор доказательства, возможно, вообще не знал и не думал.
Наконец, замечу: если предположить, что дифференциалы являются конечными величинами, значение которых может быть и очень велико, то и в этом случае итог тем не менее будет прежним ввиду того, что отброшенные величины игнорируются на законном основании — не потому, что они малы, а по другой причине, а именно из-за противоположных по характеру ошибок, которые, взаимно уничтожаясь, в целом приводят к тому, что в действительности ничего не отбрасывается, хотя по видимости что-то и отвергается. И эта причина в равной степени действительна в отношении величин конечных и бесконечно малых, больших и малых — будь то фут, ярд или наименьшее приращение.
24. Чтобы более полно проиллюстрировать это положение, я рассмотрю его в несколько ином свете и, оперируя вплоть до самого заключения конечными величинами, буду использовать тогда только одну бесконечно малую величину. Положим, что прямая MQ пересекает кривую
AT в точках R и S. Положим, что LR — касательная в точке R, AN — абсцисса, NR и OS — ординаты. Продолжим AN до пересечения с О и проведем RP параллельно NO. Положим, что AN=x, NR=y, NO=v, PS=z, поднормаль (subsecant) MN=s. Пусть уравнение y=xx выражает характеристику кривой; предположив, что у и х возрастают на конечное приращение, мы получаем:
у + z = хх+2xv+vv
отсюда, после вычитания предыдущего уравнения, остается z=2xv+vv. На основании подобия треугольников
подставив сюда вместо у и z их значения, мы получаем:
Если предположить, что NO уменьшено до величины бесконечно малой, поднормаль NM будет в этом случае совпадать с подкасательной NL, а v, как величина бесконечно малая, может быть отброшена, отсюда S=NL=, что и является истинным значением подкасательной. и поскольку при его получении была допущена только одна ошибка, т. е. однажды отброшена только одна бесконечно малая величина, то может показаться в противоположность тому, что говорилось ранее, будто можно пренебречь бесконечно малой величиной, или дифференциалом, отбросить его, и тем не менее итог будет истинным и точным, хотя и не была допущена двойная ошибка, т. е. не было исправления одной ошибки при помощи другой, как это имело место в первом случае. Но если тщательно рассмотреть это положение, мы обнаружим, что даже в данном случае допускается двойная ошибка и одна из них компенсирует или исправляет вторую. Ибо, во-первых, мы предполагали, что, когда NO уменьшается до бесконечно малой величины или становится бесконечно малой величиной, тогда поднормаль NM становится равной подкасательной NL. Но это очевидная ошибка, ибо совершенно ясно, что, поскольку секущая не может быть касательной, поднормаль не может быть подкасательной. Пусть разность будет очень мала, все же она будет. А если NO — бесконечно малая величина, даже тогда будет налицо бесконечно малая разность между NM и NL. В силу этого NM или S было слишком мало для вашего допущения (когда вы допускали, что оно равно NL) и эта ошибка была компенсирована
