автордың кітабын онлайн тегін оқу Риторика. Учебник
Информация о книге
УДК 808.5(075.8)
ББК 83.7я73
П30
Рецензент:
кандидат философских наук, доцент В. А. Кириллова.
Петров О. В.
Эта книга — учебник, но для тех, кто хочет чего-то добиться в жизни, она — увлекательный самоучитель. С ее помощью, без лишних усилий каждый может овладеть искусством говорить просто, ясно и убедительно.
Назначение книги — научить осознанно использовать риторические приемы в различных ситуациях. Здесь рассмотрены все традиционные разделы ораторского искусства и все аспекты подготовки к выступлению. Части курса риторики изложены в доступной форме и иллюстрированы примерами. Каждый параграф учебника завершает резюме. Тут же даны практические задания, позволяющие творчески усваивать материал.
Для студентов юридических учебных заведений, юристов-практиков, а также желающих научиться говорить просто и убедительно.
УДК 808.5(075.8)
ББК 83.7я73
© О. В. Петров, 2014
© ООО «Проспект», 2014
ПРЕДИСЛОВИЕ
В настоящее время термин «риторика» не имеет однозначного толкования. Этимология слова не вызывает сомнений. В переводе с древнегреческого «риторика» [rhëtorikë] означает теория красноречия. Наиболее последовательно концепцию теоретической философской риторики излагал Аристотель, считавший целью данной области знаний разработку «возможных способов убеждения относительно каждого данного предмета».
Параллельно с теоретической риторикой существовало и другое направление, так называемая школярская риторика, выразителем идей которой считается Квинтилиан. Он утверждал, что убеждение — лишь одна, но не главная цель оратора. Из искусства «убедительной речи» риторика превращается у него в искусство красноречия.
Дальнейшие определения риторики не выходили за рамки определений, данных Аристотелем и Квинтилианом. Однако в XX веке в связи с переосмыслением проблем классической риторики и развитием неориторики наметилась тенденция — противопоставлять друг другу два главных определения данной отрасли знаний1.
Задачу данной работы мы видим в том, чтобы помочь читателю овладеть навыками свободной самостоятельной речи, поэтому стремились не противопоставлять теоретические взгляды на риторику принципам практического овладения приемами красноречия. В качестве исходного определения риторики мы выбрали определение, данное М. В. Ломоносовым. В «Кратком руководстве по красноречию» риторика понимается как искусство убеждения, однако при этом подчеркивается, что красота речи является средством, способствующим увеличению убедительности. Это определение соответствует античной традиции, не противоречит понятиям неориторики и даже в XX веке из него исходили такие авторитеты, как П. Сергеич (П. С. Пороховщиков) и А. Ф. Лосев.
Дав определение понятию «риторика», мы тем самым не только очертили круг вопросов, которые должны рассмотреть, но и сформулировали цели, к достижению которых стремимся. Начнем с целей. Искусство красноречия — часть культуры: К сожалению, забытая в современном образовании.
Чтобы самостоятельно говорить и писать, надо не только учиться анализировать речь с точки зрения грамматики, выявлять ее логическую основу, следует учиться менять и эмоциональную окрашенность предложений.
По мнению создателей классической риторики, она учит говорить ясно, убедительно, приятно и пристойно. Ясность делает нашу речь понятной для слушателей; убедительность заставляет их соглашаться с нашим мнением, приятность привлекает их внимание к тому, что говорится, а пристойность придает нашим словам вес и силу. Иначе говоря, риторика учит самостоятельно и оригинально выражать свои мысли; учит делать выводы из того, с чем сталкивается человек в повседневной жизни; учит отстаивать свою точку зрения, разъяснять и обосновывать ее. Но обучение должно быть последовательным и начинаться с самого простого, с того, что уже известно каждому школьнику, постепенно поднимая его на более высокий уровень. Говоря о риторике, мы будем иметь в виду определенный «набор» приемов и правил, выработанных как древними, так и новейшими исследованиями.
Теперь о вопросах, которые рассматриваются в книге. Начинаем с того, что раньше называлось введением в риторику, то есть с учения о периоде. Упражнения по составлению простых периодов, затем сложных, произнесение мини-речей (хрий) — все это имеет для начинающего такое же значение, как отработка гамм для обучающегося музыке. Учение о периоде — это отправная точка и одновременно — основы, к повторению которых оратор обязан постоянно возвращаться. Введение в риторику или учение о периоде излагается в первой главе.
Чтобы мини-речь (хрия) стала более убедительной, она должна быть украшена. Принципы украшения излагаются во второй главе.
Несколько красивых и убедительных мини-речей не превращаются автоматически в судебную речь. Для этого необходима композиционная работа. Вопросы нахождения материала и композиционного построения судебной речи излагаются в третьей главе, которую мы, используя термин античной риторики, назвали изобретением.
Отбор собранного для речи материала, окончательная отработка плана, составление переходов от одной части речи к другой — задача, которая обязательно решается юристом. Решается она всегда с учетом конкретных обстоятельств судебного дела, но существуют и общие стратегические приемы, разработанные в риторике. Юрист должен их знать и уметь ими пользоваться. Данная часть работы над речью называется в риторике расположением. Вопросы, связанные с расположением, излагаются в четвертой главе.
В последней, пятой главе разбирается сам процесс произнесения речи и некоторые важнейшие моменты, на которые оратор должен обратить внимание: собственный внешний вид, голос, жесты и артикуляция. Таким образом, все основные разделы классической риторики излагаются в той последовательности, какой может придерживаться оратор, готовящий выступление. Подготовка речи выглядит как целое, но каждая из частей общего имеет собственную частную цель. Общая цель — выработать самостоятельный обоснованный взгляд на какой-то предмет, а затем изложить его связно и доходчиво. Серьезно поработав с книгой, читатель научится убеждать слушателей в значимости своей точки зрения.
В конце каждого параграфа и каждой главы дан список терминов и упражнения, выполнение которых будет способствовать лучшему овладению материалом.
Риторика тесно связана с логикой, при изложении материала используются символика, приемы и операции, объясняемые в учебниках логики. В качестве основного рекомендуем: Кириллов В. И., Старченко А. А. Логика: Учебник для юридических вузов.
[1] См., например: Общая риторика: Пер. с фр. Ж. Дюбуа, Ф. Пир, А. Тринон и др. М.: Прогресс. 1986.
Глава I.
УЧЕНИЕ О ПЕРИОДЕ
§ 1. Простой период
Учение о периоде возникло в Древней Греции. В то время грамматика, риторика и стилистика существовали в рамках философии и как самостоятельные науки не выделялись. Большой вклад в учение о периоде внесли софисты, и прежде всего Горгий, объявивший риторику искусством убеждения. Поскольку софисты за плату обучали искусству убеждения, оно становится известным не только философам, но также политическим и судебным ораторам. Благодаря трудам софистов учение о периоде оказывается исходным пунктом, с которого начинается обучение умению убедительно говорить; определенный вклад в разработку учения о периоде внесли Сократ, Платон (см. диалог «Кратил»), Теодект и Аристотель. Последний завершил начатое софистами, придав учению о периоде достаточную стройность. Он также дал определение периода, к которому специалисты обращаются и до сего времени.
Аристотель различал простой и сложный периоды, считая, что сложный период составляется из нескольких простых. «Простым я называю период одночленный»2, — писал он. Философ подчеркивал: «Я называю периодом фразу, которая сама по себе имеет начало и конец, и размеры которой легко обозреть»3. Стагирит различал несколько видов периода: речевой, повествовательный, ораторский, логический и др. При этом под «началом» и «концом» периода имелось в виду еще и определенное сочетание ударных и безударных слогов. Так, речевой (разговорный) период мог начинаться с ямба или хорея4, но при этом обязательно должен был заканчиваться тем же размером, каким начинался. Что же касается ораторского периода, то, по мнению Аристотеля, такой период должен начинаться с ударного слога, за которым должны следовать три безударных. Такая стопа, то есть сочетание ударных и безударных слогов, в теории стихосложения называется пеаном. Схематически пеан для начала периода записывается следующим образом: | —
Философ понимал «период» как нечто округлое, завершенное, имеющее начало и конец, и благодаря этому ясное для слушателей. Округлость, то есть ритмическое соединение начала и конца периода, достигалось за счет первых и конечных стоп. Период начинался ударным слогом и ударным слогом заканчивался. За первым ударным слогом шли три безударных; последнему ударному слогу предшествовало также три безударных слога. Начало и конец периода произносились в одном и том же темпе, с одинаковой силой. Повышение или понижение интонации допускалось лишь в середине периода. Интонационной законченности (закругленности, по Аристотелю) периода должна была соответствовать его смысловая завершенность. Благодаря такому единству интонационного и смыслового воздействия античный оратор усиливал свое влияние на слушателей.
Сложные периоды составляются из простых; о сложных периодах речь пойдет в следующем параграфе. Сначала обратимся к простым. Простым периодом Аристотель считал период одночленный. Члены речи, иначе «колоны» или «колена речи», были очень важным понятием не только грамматики, но также риторики и стилистики. Вот что писал о колоне античный стилист Деметрий: «Подобно тому, как поэтическую речь определяет размер — двустопный, шестистопный или иной, так и прозаическая речь определена и разграничена так называемыми колонами (ta cõla). Они-то как бы дают отдых говорящему и прерывают сам поток речи, распределяя его на множество частей. В противном случае речь показалась бы слишком длинной и нескончаемой, а говорящему просто не хватило бы дыхания. Цель этих колонов — обозначить мысль, иногда всю целиком, иногда же колон охватывает не всю мысль целиком, но некую законченную ее часть»5.
Одним из лучших примеров хороших колонов античные риторы считали начало «Анабасиса» Ксенофонта: «...у Дария и Парисатиды были сыновья: старший — Артаксеркс, младший — Кир». В этом отрывке содержится вся мысль полностью. Отрывок состоит из двух частей, колонов. «У Дария и Парисатиды были сыновья» — первый колон; «старший — Артаксеркс, младший — Кир» — второй колон.
Античные риторы полагали, что колоны не должны быть слишком короткими, ибо, как считали они, тогда речь будет казаться «сухой», производя на слушателей незначительное впечатление. Иллюстрацией подобной ошибки для них служил афоризм Гиппократа: «Жизнь коротка, искусство длинно, удача мимолетна».
Короткий, или уменьшенный, колон назывался коммой (comma). Комма считалась уместной для передачи очень страстной или глубокой, но короткой мысли. Таковы, например, изречения: «Познай самого себя» или «Следуй за божеством».
Комма и колон не стали общераспространенными понятиями современной грамматики, но их можно рассматривать как ритмико-интонационные единицы, речевые отрезки, произносимые одним напором выдыхаемого воздуха. На такие отрезки оратоp должен уметь делить свою речь, если хочет, чтобы слушатели понимали его без напряжения. Цельность колона (или коммы) создается их интонационным оформлением, при котором на одном из ударных слогов (центральном) сосредоточивается интонационное ударение. В этом случае на границе колона (коммы) возникает впечатление паузы, создаваемое переменой тона или остановкой речи6.
Понятие простого периода было сформулировано, как мы говорили, в то время, когда грамматика еще не оформилась как самостоятельная наука, однако в современной грамматике это понятие употребляется почти так, как его определил Аристотель. Вот что, например, пишет о периоде О. Г. Ревзина: «Это — цельное описание, цельное повествование (П. повествовательный), цельное логическое рассуждение (П. ораторский). П. не имеет элементов из предшествующего контекста, внутренних анафористических связей. Это небольшой связный текст, умещающийся в одном предложении»7.
Как видим, логический период отождествляется с периодом ораторским. Поскольку мы будем говорить прежде всего о логическом периоде, то считаем нужным сделать по этому поводу несколько уточнений. Логический период — это рассуждение, имеющее форму логического умозаключения, поэтому он должен состоять из предложений, каждое из которых может считаться также и логическим суждением. Итак, неделимой далее частью в логическом периоде может быть только простое логическое суждение, поскольку именно из них составляется умозаключение.
Назначение логического периода в том, чтобы вывести некоторое суждение из других суждений, истинность которых не вызывает сомнений. Простое суждение и является тем простым периодом, о котором писал Аристотель. Как итоговое выведенное суждение (заключение), так и исходные суждения (посылки), из которых заключение выводится, — все это должно быть выражено грамматически с помощью двусоставных утвердительных предложений8.
Поскольку в словах русского языка в основном используется двухсложная или трехсложная стопа, а четырехсложная стопа встречается крайне редко, то учение Аристотеля об ударных слогах в начале и конце периода не получило развития в теоретических разработках отечественных грамматиков и стилистов. Эта особенность периода, которую настоятельно подчеркивал древнегреческий философ, была отброшена и просто не принималась в расчет. Вплоть до начала XX века под простым периодом российские грамматики имели в виду простое распространенное предложение. Столь же часто, возможно, под влиянием авторитета Аристотеля, который, как известно, был выдающимся логиком, простой период отождествлялся с простым суждением. Отождествление понятия «простой период» с понятием «простое суждение» казалось правомерным, поскольку оба понятия соответствуют определению Аристотеля: содержат законченную мысль, имеющую начало и конец. То обстоятельство, что законченная мысль, выражаемая простым суждением, грамматически может быть выражена как простым распространенным повествовательным предложением, так и нераспространенным предложением с двумя главными членами, подлежащим и сказуемым, — все это даже позволяло разработать целый комплекс упражнений. С помощью этих упражнений обучающиеся риторике овладевали навыками точнее выражать свои мысли, приучались самостоятельно находить для каждой мысли оттенки, более тонко передающие особенности ситуации. Таким образом, неточное понятие грамматики служило и приносило пользу педагогике. Польза от этих упражнений несомненна, поэтому мы их подробно рассмотрим и советуем нашим читателям придумывать и выполнять подобные упражнения самостоятельно.
Нераспространенное предложение с двумя главными членами российские риторы называли логическим предложением. Простое распространенное предложение — простым периодом. Первое, чему должен был научиться тот, кто решил заняться риторикой, — это уметь легко и свободно превращать логическое предложение в простое распространенное предложение.9 Что же нужно для совершения подобной операции? Ввести в состав предложения второстепенные члены: дополнения, определения, обстоятельства. Если же мы хотим из простого распространенного предложения получить логическое предложение, следует отбросить все второстепенные члены предложения, оставив только подлежащее и сказуемое.
Из исходного логического (нераспространенного) предложения можно образовать несколько простых периодов. Рассмотрим логическое предложение: Ребенок болеет. Подбираем определения к подлежащему: маленький, слабый, школьного возраста, лет десяти; затем — дополнения к глаголу-сказуемому: гриппом, оспой, ветрянкой и т.п.; различные обстоятельства: дома (места), две недели (времени), серьезно, опасно (образа действия) и т.п.
Можно еще усложнять сказуемое, заменять его именным составным или составным глагольным. Конечно, изменение типа сказуемого не делает нераспространенное предложение распространенным. В этом случае мы получаем лишь разные временные модификации, но они придают сказанному дополнительные смысловые оттенки.
Вместо глагольного сказуемого можно употребить именное. В результате исходное предложение запишется так: Ребенок был болен. Заменим сказуемое глагольным составным, и предложение примет вид: Ребенок продолжает болеть.
Из исходного логического предложения можно образовать несколько простых распространенных предложений, незначительно отличающихся друг от друга, например:
— Маленький слабый ребенок продолжает болеть вторую неделю.
— Слабый ребенок был опасно болен.
— Мальчик лет десяти продолжает опасно болеть вторую неделю.
Совсем не обязательно, чтобы в простом периоде были представлены все второстепенные члены предложения. Например, из логического предложения «Отец просыпается» И. А. Бунин создает период, в котором одни обстоятельства: «В усадьбе на восходе солнца, с первым щебетанием птиц в саду, просыпается отец».
Однако желательно (российские риторы считали это обязательным условием), чтобы в распространенном предложении, мысль высказывалась с максимальной полнотой. Такое требование, по их мнению, вытекало из определения периода, данного Аристотелем, полагавшего, что в простом периоде мысль должна быть высказана полностью. Данное упражнение вырабатывает навык высказывать одну и ту же мысль и кратко, и развернуто. Рассмотрим предложение «Идет человек». Включим в его состав все возможные в данном случае второстепенные члены предложения. «Вниз по бульвару к театру медленно идет пожилой, скромно одетый человек с портфелем».
Как мы говорили, очень часто понятие «простой период» отождествлялось в российской риторике с понятием «простое распространенное предложение». Однако такое отождествление всегда принималось с оговорками. В качестве признаков, отличающих простой период от простого распространенного предложения, указывалось на наличие в простом периоде: 1) сходных, но не тождественных понятий; российские риторы называли их «подобно-однозначными»; 2) прилагательных; 3) наречий; 4) обстоятельств; 5) противных имен10.
Подобно-однозначные понятия, как можно догадаться по их названию, не являются синонимами, но выражают сходные понятия, имеющие некоторое различие в значении. Такими являются, например, «ленивый» и «нерадивый». Оба характеризуют человека, который недостаточно трудится, но если «ленивый» указывает на недостаточную деятельность, то «нерадивый» — на недостаток внимания.
Употребление подобно-однозначных понятий делает речь более точной и выразительной. Но если используемые в предложении понятия не имеют различия, то есть являются синонимами, то употребление их в большинстве случаев (как полагали российские риторы) следует считать бесполезным, поскольку добавленный синоним только повторяет еще раз то, что уже было сказано, и не уменьшает при этом объема определяемого понятия. Говоря языком логики, в этом случае признак не выполняет своей определяющей функции.
Итак, период в риторике считался не любым простым распространенным двусоставным предложением, но лишь таким, которое используется для объяснения или описания. Иными словами, простой период — это простое распространенное предложение, чаще используемое не в художественной, а в научной и деловой речи. Используется он лишь тогда, когда оратор хочет в чем-то убедить аудиторию, и поэтому обосновывает и разъясняет свою позицию. К этому следует добавить, что именно поэтому к периодической речи применимы логические критерии оценки. В последнем случае, добавляя новый признак некоему понятию, мы увеличиваем содержание и уменьшаем объем данного понятия. Использование же синонимов не добавляет ясности сказанному. Это плеоназм, излишнее многословие. Синоним не делает объяснение или описание более понятным, но лишь повторяет уже известное, и поэтому может считаться логической ошибкой в определении.
Рассмотрим одно из предложений А. С. Пушкина:
Роман классический, старинный,
Отменно длинный, длинный, длинный,
Нравоучительный и чинный,
Без романтических затей.
Это предложение использовано для описания романа, но оно не является периодом. Поэт употребляет подряд три одинаковых слова, что не увеличивает ни ясности, ни точности описания; повторение выполняет другую функцию — воздействует на чувства читателя. Точность и выразительность речи поэт увеличивает с помощью «подобно-однозначных понятий»: «классический», «старинный»; «нравоучительный» и «чинный».
Что касается прилагательных, наречий и обстоятельств, то принципы использования их при переходе от логического предложения к простому распространенному достаточно полно описаны в грамматике, и риторика не добавляет здесь ничего нового.
В распространенном предложении прилагательных, наречий и обстоятельств должно быть столько, сколько необходимо для того, чтобы высказываемая мысль была выражена с наибольшей полнотой; но если они затемняют или искажают мысль, их надо исключить из предложения.
Представляют интерес рекомендации об использовании противных имен.
В логике противные имена понимаются как понятия, находящиеся в отношении противоположности (контрарности). Одно из этих понятий содержит некоторые признаки, а другое — признаки, не совместимые с ними. Такими понятиями являются, например, «добродетель» и «порок», «похвала» и «бесчестье», «отличник» и «неуспевающий».
Не все простые периоды содержат противные имена, и не всякое простое распространенное предложение, содержащее противные имена, обязательно будет простым периодом. Но если простое распространенное предложение соответствует всем требованиям, предъявляемым к простому периоду: 1) является небольшим связным самостоятельным текстом, умещающимся в двусоставном простом распространенном предложении; 2) не слишком растянуто; 3) не содержит элементов предшествующего контекста и внутренних анафористических связей, то простой период произносится как сложный.
Противные имена можно добавлять как к подлежащему, так и к сказуемому. Имена желательно подобрать таким образом, чтобы группа подлежащего и группа сказуемого содержали примерно одинаковое количество слогов и звучали, при произнесении, примерно одинаковое время. Если такое соотношение отсутствует, то более короткая часть периода произносится медленнее, так, чтобы на ее произнесение уходило столько же времени, сколько уходит на более длинную часть. При этом первая часть предложения начинает произноситься спокойным ровным голосом, но потом интонация постепенно повышается, идя по восходящей. Высшая интонационная точка совпадает с высшей смысловой. После этого или меняется тон, или делается пауза. Вторая часть периода произносится с нисходящей интонацией и заканчивается на той же ноте, на которой звучало начало периода. Период начинает звучать на одной ноте и на ней должен быть закончен. Такова особенность периодической речи: интонационная завершенность должна соответствовать и совпадать с завершенностью смысловой. При движении к середине периода интонация повышается, после середины — понижается. Подобная закономерность обычно наблюдается при произнесении сложных периодов, но противные имена создают антитезу11, и простой период звучит, как сложный. Рассмотрим логическое предложение, сказуемое которого выражено не одним словом, а словосочетанием, или, как говорят филологи, «имеет необходимый по смыслу зависимый компонент»: Воздержание сохраняет здоровье 12. Подберем подобно-однозначные понятия вначале к подлежащему, а затем к сказуемому:
а) Воздержание и умеренность сохраняют здоровье.
б) Воздержание поддерживает и сохраняет здоровье.
Добавим противные имена и обратим внимание на звучание распространенного предложения:
а) Воздержание,
б) Воздержание не расстраивает здоровье,
Как видим, использование в речи подобно-однозначных понятий и противных имен делает речь живее и позволяет привлечь внимание слушателей к тому, что говорится. Поэтому, даже если вы не собираетесь воспользоваться периодом для объяснения или описания чего-либо, надо стараться находить подобно-однозначные понятия и противные имена и вставлять их в наиболее важные места речи для привлечения к ним внимания слушателей.
Все, что было сказано о простом периоде, не мешает рассматривать его как достаточно строгое понятие современной грамматики, но есть два обстоятельства, делающие понятие «простой период» трудно уловимым. Первое из них — идущее от логики отождествление простого периода с простым распространенным двусоставным предложением или с простым суждением. Дело в том, что простое суждение не всегда выражается простым распространенным предложением; оно может быть выражено некоторыми типами сложноподчиненного предложения13. Например, если субъектом простого суждения является сложное понятие, нуждающееся в определении, то простым периодом будет считаться сложноподчиненное предложение с придаточным определительным предложением.
«Широкая сакля, крыша которой опиралась на два закопченных столба, была полна народу». (М. Ю. Лермонтов.)
Определительное придаточное предложение может быть заменено причастным оборотом:
Широкая сакля, опирающаяся крышей на два закопченных столба, была полна народу.
Оба предложения соответствуют логической форме простого единичного суждения: Этот S есть Р.
Когда придаточное дополнительное предложение относится к глаголу главного предложения, то образуется простое суждение, выраженное сложноподчиненным предложением:
Аристотель полагал, что начало наших нервов находится в сердце. Или:
Он хочет, чтобы ты уехал.
Оба предложения также выражаются логической формой простого единичного суждения: Этот S есть Р.
Сказуемое главного предложения может быть уточнено местоименно-соотносительным предложением. Эта грамматическая форма сложного предложения также выражается в логике простым суждением:
«Стадо таково, что трудно перечесть». (И. А. Крылов.)
(Этот S есть Р)
Выделяющее суждение (в логике его считают простым) также часто выражается сложноподчиненным предложением:
«Кто ни проедет, всякий похвалит». (А. С. Пушкин.)
(Все S, и только S, есть Р).
Как уже было сказано, Аристотель, определяя «простой период», отождествлял его с простым распространенным предложением и с простым суждением. Но если «простой период» может выражаться сложной грамматической конструкцией, то определение надо считать неточным. Определение простого периода, данное Аристотелем, прожило долгую жизнь, но сформулировано оно было в те времена, когда грамматика и логика не сформировались еще как самостоятельные научные дисциплины, а существовали «в рамках» всеобъемлющей философии.
Последнее обстоятельство (неразделенность грамматики и логики) проявляется в определении простого периода еще и следующим образом. Речь начинается со слов. Слово, как известно, — это единство звука и значения. Но период должен быть еще и суждением, то есть должен устанавливать связь либо отношения между понятиями. Отождествление простого распространенного двусоставного предложения с простым суждением приводит к тому, что слово или группа слов, в основе которых лежат чувственные образы или представления (поскольку они относятся к сфере языка), должны еще мыслиться как понятия, или совокупность существенных признаков предмета мысли (потому что слова эти отождествляются с понятиями). Все сказанное относится прежде всего к таким составляющим простого периода, как «подобно-однозначные понятия» и «противные имена», которые не являются понятиями в строгом смысле этого слова. В единичных же суждениях слова могут считаться понятиями с большой натяжкой.
Подчеркнем два момента:
1. Отождествление простого распространенного утвердительного предложения с простым периодом и с простым суждением в известном смысле — натяжка, но такая натяжка позволяет развивать и совершенствовать разговорные и мыслительные навыки тех, кто хочет овладеть искусством речи.
2. Хотя определение периода является нечетким, специалисты не расходятся во мнениях по поводу того, есть ли периоды в том или ином тексте или их нет. Поясним оказанное примером:
«...Анна Федоровна захлопоталась.
— А, батюшки мои! голубчик он мой!.. Данил о! скорей беги, скажи, барыня к себе просит, — заговорила она, вскакивая и скорыми шагами направляясь в девичью. — Лизанька! Устюшка! приготовить надо твою комнату, Лиза. Ты перейди к дяде; а вы, братец... братец! вы в гостиной уж ночуйте. Одну ночь ничего». (Толстой Л. Н. «Два гусара».)
В этом отрывке нет ни одного простого периода. Дело в том, что Л. Н. Толстой не стремится здесь с помощью рационального описания в полном распространенном двусоставном предложении передать состояние героини. Простой период должен обладать логической завершенностью и передавать выраженную мысль с максимальной полнотой. Монолог же Анны Федоровны не является связным развернутым изложением мыслей, и данное обстоятельство позволяет сделать вывод: речь в цитируемом отрывке не является периодической. Другим примером непериодической речи может служить так называемая «лаконическая речь». Эта форма изложения предполагает пропуск описания какой-то части событий, что использовал А. С. Пушкин в следующих строках:
Стрела выходит из колчана —
Взвилась — и падает казак
С окровавленного кургана.
Обычно в речи судебного оратора периоды перемежаются с непериодическими высказываниями. При этом непериодическая речь может оказаться не менее сильным средством воздействия на слушателей, чем периодическая. Если надо воздействовать на чувства слушателей, то непериодическая речь будет эффективнее. В том случае, когда оратор хочет в чем-то убедить аудиторию, то целесообразнее использовать периодическую речь.
Итак, дать строгое однозначное определение простого периода не удается, но обнаруживать его по определенным признакам в тексте можно. Поскольку строгого определения нет, российские филологи стали говорить о простом периоде лишь постольку, поскольку его можно выделить как составную часть сложного периода. В большинстве случаев простой период выражается простым распространенным двусоставным предложением, используемым для описания или объяснения, которое может включать в себя причастные или деепричастные обороты, а также выражаться сложноподчиненными предложениями определенного типа.
РЕЗЮМЕ
Понятие «простой период» было сформулировано во времена, когда грамматика, логика и риторика не сформировались как самостоятельные научные дисциплины. Это понятие является нечетким. Однако, несмотря на его несовершенство, оно обладает достаточной ценностью и является базовым понятием классической риторики; без него невозможно осмыслить те приемы анализа и самостоятельного составления речи, которые были в риторике разработаны.
Простой период отождествляется то с простым распространенным повествовательным предложением, то с простым суждением. Отождествление простого периода с простым распространенным предложением правомерно, потому что последнее содержит законченную мысль, имеющую начало и конец, то есть соответствует определению простого периода, данному Аристотелем.
Простое суждение также можно отождествлять с простым периодом, что зачастую и делается на практике. В большинстве случаев простое суждение грамматически выражается простым распространенным повествовательным предложением. Это правило. Но существуют исключения: во-первых, простое суждение может выражаться нераспространенным предложением с двумя главными членами — подлежащим и сказуемым; во-вторых, простое суждение может выражаться сложными предложениями, содержащими главное и придаточные. Эти способы надо иметь в виду и считать их средствами выражения простого периода.
ТЕРМИНЫ
Логическое предложение
Простой период по Аристотелю
Простой период у русских грамматиков
«Подобно-однозначные понятия»
«Противные имена»
Непериодическая речь
Лаконическая речь
ЗАДАНИЯ
1. Напишите несколько логических предложений.
2. Превратите каждое логическое предложение в простое распространенное двусоставное предложение.
3. Изменяйте по падежам и числам имя существительное, являющееся подлежащим простого распространенного предложения. Подредактируйте текст предложения в зависимости от падежа и числа склоняемого существительного.
4. Изменяйте сказуемое простого распространенного предложения по временам и наклонениям.
5. Найдите несколько «подобно-однозначных понятий».
6. Распространите логическое предложение, дополнив его «подобно-однозначными понятиями»: а) подберите «подобно-однозначные понятия» к подлежащему; б) подберите «подобно-однозначные понятия» к сказуемому.
7. Распространите логическое предложение, дополнив его «противными именами»; найдите «противные имена» сначала для подлежащего, а затем для сказуемого.
8. Приведите примеры, когда простой период выражен сложноподчиненным предложением.
[13] Автор не рассматривает вопрос во всей его полноте, а ограничивается лишь некоторыми примерами, подтверждающими справедливость утверждения о том, что простое суждение может быть выражено некоторыми типами сложноподчиненного предложения.
[12] «Воздержание» — группа подлежащего; «сохраняет здоровье» — группа сказуемого.
[11] Об антитезе см. ниже. Гл. II. § 2, б.
[10] Логическое объяснение термина "имя" см. Кириллов В. И., Старченко А. А. Логика гл. I, § 4.
[9] Пока термины «простой период» и «простое распространенное предложение» будут рассматриваться как синонимы, на различия, существующие между этими понятиями, будет указано ниже.
[6] Подробнее об интонации см. Гл. V.
[7] Русский язык. Энциклопедия. / Гл. ред. Ф. П. Филин. М.: Советская Энциклопедия. 1979. Период. С. 202—203.
[8] Мы предполагаем у наших читателей если не знание логики, то, по крайней мере, навыки, позволяющие быстро ознакомиться с некоторыми разделами данной науки. См. учебник В. И. Кириллова, А. А. Старченко. «Логика». Гл. IV, § 1. Суждение как форма мышления и § 2. Простые суждения.
[5] Античные риторики. М: Изд-во Моск. ун-та. 1978. С. 237.
[4] Ямб — стихотворный размер, стопы которого состоят из двух слогов, с ударением на втором слоге, например: «Она / в семье / своей / родной...»; хорей — стихотворный размер, стопы которого состоят из двух слогов, с ударением на первом слоге, например: «Буря / мглою / небо / кроет...»
[3] Там же.
[2] Аристотель. Риторика. СПб. 1894. Кн. III. Гл. 9. С. 169.
§ 2. Сложный период
Прежде чем говорить о проблемах сложного периода, сделаем несколько замечаний. Из первого параграфа ясно, что понятие «простой период» для русского языка определено неточно. Причиной тому было несколько обстоятельств. Во-первых, понятие «период» было сформулировано на начальном этапе становления филологии как науки, и поэтому оно не могло быть строгим. Сначала оно было сформулировано лишь для древнегреческого и латинского языков. В настоящее время эти языки являются «мертвыми», и поэтому проверить, насколько точно данное понятие соответствует нормам этих языков, представляется затруднительным.
Во-вторых, перенос — без каких-либо изменений — понятий античной риторики на почву русского языка невозможен, поскольку это другой язык, имеющий иные правила. Есть и третья причина. В период формирования национального русского языка (XVIII — первая половина XIX века) образованные люди России не хотели слепо подражать античным образцам. И здесь они следовали главному методологическому правилу античной риторики, которое гласит: любому образцу нужно подражать только приблизительно, в соответствии с собственными представлениями о нужном и должном. В связи с этим мы вынуждены признать, что античный образец (и понятие «период» в том числе) на русской почве всегда искажался, но это не мешало ему оставаться образцом, который образованные русские люди старательно изучали. Ведь риторика — не наука, а искусство, где со времен софистов признается единственный критерий оценки выступления оратора: произвело ли выступление необходимое впечатление на слушателей; добился ли оратор от слушателей того, чего хотел, или нет? Если результат положительный — выступление признается хорошим. Если оратор ничего не достиг своей речью — выступление считается неудачным.
Итак, как мы говорили, простой период российские ученые отождествляли с простым распространенным предложением. Неясность возникала, правда, когда речь заходила о величине этого предложения. Тем не менее считалось, что простой период должен содержать столько же слогов, сколько их в строке гекзаметра, то есть — 24. Первая попытка использовать четырехдольный античный гекзаметр в русском стихе принадлежала Мелетию Смотрицкому, который в своей «Грамматике» (1619) установил для славяно-русского языка долгие и краткие слоги. Однако более соответствующей духу русского языка оказалась трехдольная имитация античного гекзаметра, принадлежавшая В. Тредиаковскому. Эту имитацию использовали потом многие поэты — А. Пушкин, М. Лермонтов, А. Фет, А. Майков, Л. Мей, В. Брюсов, А. Блок и др., — но она не соответствовала античному образцу и, кроме того, содержала не 24, а 18 слогов. Таким образом, попытка дать непосредственную количественную оценку величины простого периода и сделать установленную норму незыблемым эталоном в русском языке оказалась неудачной.
Невозможность определить простой период непосредственно привела к тому, что простой период стал определяться как часть сложного периода. Чтобы понять смысл такого подхода, надо вновь обратиться к принципам античного периода. Начало и конец классического сложного периода произносятся одинаковым тоном, с одинаковой интонацией. Независимо от числа содержащихся в нем простых периодов, сложный период распадается на две интонационные части. Первая называется повышение (по греч. протазис). Произносится она всегда с постепенно нарастающим повышением голоса. После нее делается пауза. Вторая часть сложного периода называется понижение (по греч. аподозис). Произносится она всегда с понижением голоса, которое заканчивается той же нотой, с какой начиналось произнесение первой части сложного периода. Такое звучание создает как бы круг: период начинается и заканчивается одинаково спокойно и на тех же нотах. Повышение и понижение, в свою очередь, могут распадаться на части — простые периоды; в таком случае одна часть — простой период — отделяется от другой паузой меньшей длительности, чем паузы между повышением и понижением.
Со стороны содержания сложный период, так же как и простой, характеризуется единством темы и законченностью выражения мысли.
Первые сложные периоды на русской языковой основе начал создавать Н. М. Карамзин. Его периоды имели единство темы, внутреннюю последовательность, завершенность, они округлены и соразмерны. Рассмотрим один из них.
«Величественною красотою, повелительным видом, смыслом быстрым и глубоким, сладкоречием обольстительным превосходя всех вельмож
Данный сложный период распадается на шесть «простых»; каждый «простой» является частью, имеющей интонационное повышение и понижение но общего повышения и понижения интонации, которое считается особенностью всего сложного периода, здесь нет. Отсутствие интонационного повышения и понижения — не ошибка; период состоит из равноправных частей и потому называется соединительным15.
Интонационному делению всего периода на две самостоятельные части (повышение и понижение) мешает не только то, что каждый из составляющих периодов сам имеет такие части, но также и то, что простых периодов, входящих в сложный, слишком много; их — шесть.
Сложный период может состоять из двух, трех, четырех и т.д. простых периодов, но античные ораторы, и прежде всего Цицерон, полагали, что лучше всего, когда сложный период содержит четыре простых периода. При этом три первых образуют повышение, а последний, вместе с паузой, составляет нисходящую часть сложного периода (понижение). Такие периоды оратору легко произносить; они удобны и для слушателей, потому что позволяют им без затруднений следить за мыслью говорящего.
Отступление от требований античного образца не делает период, составленный Н. М. Карамзиным, неудачным. Этот период предназначен не для произнесения перед публикой; он будет прочитываться, и читатель сможет не просто пробежать глазами по строкам периода, а перечитать его и раз и другой, подумать над ним и снова перечитать. Итак, периоды, предназначенные для чтения и размышлений, могут содержать не четыре, а большее число простых периодов.
Рассмотрим простые периоды, входящие в сложный. Первый из них представляет собой совсем не простое распространенное предложение, а сложную грамматическую конструкцию, первая часть которой (повышение) — деепричастный оборот («...превосходя всех вельмож...»), усиленный дополнениями, выраженными словосочетаниями: «величественная красота»; «повелительный вид», «смысл быстрый и глубокий», «сладкоречив обольстительное». Дополнения являются «подобно-однозначными понятиями», передающими «внешние черты» (или «видимость») облика Бориса Годунова. Внутренняя черта, незаметная для окружающих, — отсутствие добродетели. Внешнее противопоставляется внутреннему с помощью «противных имен», что создает смысловую антитезу между повышением и понижением. Понижение выражается простым двусоставным распространенным предложением: «Борис не имел только... добродетели». Единство темы и антитеза придают всей грамматической конструкции внутреннюю последовательность и завершенность. Округленность первого периода проявляется в том, что начинается он и заканчивается на одних и тех же нотах. Что касается соразмерности, то многоточие в понижении позволяет сделать такую паузу, какая окажется необходимой, чтобы на произнесение повышения и понижения было затрачено одинаковое время.
Второй период выражен грамматически личным предложением с одним главным членом — сказуемым; подлежащее (Борис) опущено и понимается из контекста. Повышение и понижение во втором периоде подчеркивает противопоставление между действием во благо другим людям и преследуемой при этом своекорыстной целью. Итак, во втором периоде продолжается развитие темы, начатое противопоставлением видимости и сущности; во втором периоде сопоставляются корыстность и бескорыстие. Такой параллелизм позволяет связать первый период со вторым, а затем и со всеми последующими.
Третий период также выражен простым распространенным предложением с одним главным членом — сказуемым. Слова «цель» и «средство для достижения цели» являются «противными именами», создающими смысловое противопоставление между повышением и понижением внутри простого периода.
Четвертый период выражается сложноподчиненным предложением с придаточным условным. Подлежащее в этом предложении также опущено, поскольку и здесь речь идет о Борисе Годунове. Условное предложение — «если бы родился на престоле» — является повышением; главное предложение — «...то заслужил бы имя одного из лучших венценосцев в мире» — понижением.
Пятый период также не является простым распространенным предложением, здесь снова использовано сложноподчиненное предложение. Подлежащее пропущено и здесь. Главное предложение является повышением: «...но рожденный подданным, с необузданной страстью к господству...». Придаточное следствия — понижением: «...не мог одолеть искушений там, где зло казалось для нее выгодою...».
Лишь шестой период выражен простым распространенным двусоставным предложением.
В единое целое все периоды соединяют противные имена; они подчеркивают общее для всех простых периодов единство темы и внутреннюю последовательность ее раскрытия. В изложение темы каждый из периодов вносит индивидуальный значимый вклад. Если исключить любой из них, то обнаружится невосполнимый ущерб с точки зрения полноты изложения темы. Невозможность исключить ни один из простых периодов свидетельствует о внутренней завершенности изложения.
Посчитаем количество слогов в периодах, чтобы сравнить их число с количеством слогов в античном периоде-образце. Первый простой период настолько велик, что ни о каком сравнивании не может быть и речи; однако число слогов во втором периоде близко к норме классического образца — 22. В третьем периоде — 19 слогов, в четвертом — 29. Пятый период состоит из 40 слогов, и лишь последний, шестой, содержит ровно 24 слога.
Проанализируем еще один сложный период, написанный поэтом. Писать русские стихи в форме периода решались только поэты, обладавшие большим и зрелым мастерством. Рассмотрим стихотворение М. Ю. Лермонтова «Когда волнуется желтеющая нива».
Когда волнуется желтеющая нива,
И свежий лес шумит при звуке ветерка,
И прячется в саду малиновая слива
Под тенью сладостной зеленого листка;
Когда, росой обрызганный душистой,
Румяным вечером иль утра в час златой,
Из-под куста мне ландыш серебристый
Приветливо кивает головой;
Когда студеный ключ играет по оврагу
И, погружая мысль в какой-то смутный сон,
Лепечет мне таинственную сагу
Про мирный край, откуда мчится он, —
Тогда смиряется души моей тревога,
Тогда расходятся морщины на челе, —
И счастье я могу постигнуть на земле,
И в небесах я вижу бога...
Сложный период содержит 16 строк. На первый взгляд кажется, что стихи, написанные в форме периода, полностью соответствуют правилам, сформулированным античными мастерами: первые три четверостишия начинаются подчинительным союзом «когда» и являются придаточными предложениями времени, стоящими перед главным предложением, которое (тоже в соответствии с правилами античности) начинается союзным словом «тогда».
Казалось бы, перед нами образцовый сложный период, какие рекомендовал составлять Цицерон: 3+1. Три первых простых периода должны создавать здесь повышение, а последний — понижение. Но античный образец временнóго периода кажется поэту слишком простым, поэтому он отказывается прежде всего от его интонационной модели. Стихотворение сохраняет интонационное построение периода лишь как тенденцию, наполняясь богатыми и разнообразными обертонами.
Кроме того, М. Ю. Лермонтов вводит в каждое четверостишие элемент повтора, называемый в риторике параллелизмом16. Во всех четверостишиях у него не один, а два простых периода, каждый из которых по количеству слогов очень близок к античному образцу. Так, оба простых периода первого четверостишия содержат по 24 слога. Во втором четверостишии первый период имеет 23, а второй — 21 слог. Третье четверостишие: первый период — 25 слогов, второй — 21 слог.
В четвертом, заключительном: 25 и 21. Параллелизм не дублирует высказанную мысль, а усиливает ее воздействие на слушателя или читателя стихов. Последнее же четверостишие, являющееся главным предложением грамматической конструкции, составлено столь искусно, что может быть соединено с любым из первых трех четверостиший, которые являются его придаточными; смысл при этом сохраняется.
Период в стихах, написанных М. Ю. Лермонтовым, очень красив, усилен параллельным периодом, оригинален по интонационному звучанию, тем не менее для нас — это обычный сложный период, называемый ораторским.
Говоря о сложном периоде, будем различать ораторский период и период логический. Сложный период, не содержащий логического умозаключения, будем называть ораторским. Период, содержащий логическое умозаключение, — логическим. Логические периоды могут быть оценены либо как истинные, либо как ложные, при этом можно говорить как о степени обоснованности такого периода, так и о логических ошибках, допущенных при его составлении. К периодам ораторским логические требования и оценки неприменимы.
Период М. Ю. Лермонтова не может считаться логическим в силу двух обстоятельств. Во-первых, он не является умозаключением. Во-вторых, период содержит термины, которые с позиций науки нельзя трактовать четко и определенно: в последних строчках, например, речь идет о видении Бога... По поводу этого периода незачем волноваться. Это прекрасный период, который всегда будет в золотом фонде литературы.
Другое дело, когда подобный период используется в судебной речи. Услышав такой период в судебной речи, мы должны решить: можно ли говорить о его истинности или ложности; может быть, надо говорить о его обоснованности либо считать таким построением, которое не является умозаключением и которым оратор просто стремится воздействовать на чувства слушателей? Прочтем знаменитое начало речи Ше д'Эст Анжа по делу ла Ронсьера:
«Когда нам говорят о великом преступлении, вроде того, которое разбирается здесь; когда нам кажется, что оно было направлено против целой семьи, заранее обдумано с какой-то дьявольской злобой, когда жертва его — слабая девушка, подвергавшаяся небывалым оскорблениям, насилиям, жестокостям, каждый из нас, возмущенный, становится на сторону обиженных»17.
Здесь также используется временной период, его классическая модель: 3+1. Этот период также не является умозаключением и потому не может оцениваться как истинный либо ложный. Использовав его, оратор стремился «подкупить» слушателей своей объективностью и, воздействуя на чувство справедливости, имеющееся у каждого из нас, — привлечь их на свою сторону.
Обратимся вновь к сложному периоду Н. М. Карамзина, рассмотренному в начале параграфа. Некоторые его части, которые были названы «простыми периодами», выражались сложными предложениями. Но данный период является умозаключением, поэтому мы считаем его логическим, а не ораторским периодом. Иначе говоря, исходным положением при рассмотрении периода является мысль о необходимости различать их в зависимости от того, могут ли они быть выражены с помощью умозаключения или нет. Ораторскими периодами считаются конструкции, соответствующие теоретическим представлениям о периоде. Логическими периодами нужно называть грамматические конструкции, с помощью которых выражается умозаключение.
Логический период — это призыв либо к опровержению, либо к признанию истинности сказанного. Ораторский период — это средство воздействия на чувства аудитории. Воздействие на чувства (если это делает ваш противник) нельзя оставлять без ответа, но здесь требуются действия совсем иного рода. О них мы будем говорить в другой части работы.
Сейчас рассмотрим уже разбиравшийся нами период Н. М. Карамзина, но теперь уже с логической точки зрения. Для этого выпишем необходимые переменные и обозначим их.
S1 — Борис Годунов;
R1 — добрые качества, необходимые вельможе в большем количестве, чем всем остальным людям;
R2 — отсутствие добродетели;
R3 — умение благотворить лишь ради славы и власти;
R4 — способность видеть в добродетели лишь средство к достижению цели;
R5 — необузданно стремиться к господству, будучи подданным;
R6 — совершать зло ради личной выгоды;
Р — проклятие веков заглушает добрую славу.
Схема умозаключения записывается следующим образом:
S1 имеет признак R1 приводящий к Р
S2 имеет признак R2, приводящий к Р
......................................................................
S1 имеет признак R6, приводящий к Р
Признаки R1 — R6, которыми обладает S1, приводят к Р.
По-видимому, S1 придет к Р.
Данное умозаключение неполной индукции является лишь вероятностным. Скажем, историк-макиавеллист мог бы не согласиться с оценкой Б. Годунова, сделанной Н. М. Карамзиным в данном периоде. Но сейчас обращаем внимание читателя на другой интересный момент. В тексте периода утверждение Историка о проклятии веков, обеспеченном Борису Годунову, звучит как не вызывающее никаких сомнений, то есть как необходимое.
Логическая форма умозаключения свидетельствует о том, что умозаключение, содержащееся в периоде, является лишь вероятностным. В этом проявляется различие между ораторским и логическим периодами. Период, очень убедительный по своей словесной форме, может оказаться умозаключением, содержащим не безусловно доказанное, но лишь вероятное утверждение. Если оратор сможет показать суду, что периоды, звучавшие в устах его противника как безусловные, на самом деле являются вероятностными умозаключениями, то такого оратора можно поздравлять с победой.
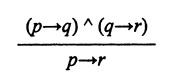
Логический анализ — дополнительное оружие не только в борьбе за справедливое судебное решение, он делает наше понимание любой речи полнее и богаче. Рассмотрим период, в котором нет расхождения между логической и словесной формой выражения. В качестве примера возьмем отрывок из речи М. Т. Цицерона «В защиту поэта Авла Лициния Архия».
В данном случае будет рассматриваться период условный. Речь уже шла о том, что, с точки зрения Цицерона, наиболее подходящая модель периода: 3+1. Модель такого периода: Если если ..., если ..., (то)... Грамматически такой условный период — это конструкция сложноподчиненного предложения, в которой главному предложению предшествуют три придаточных условных предложения.
Главное, однако, при составлении периода — мысль, которую вы собираетесь высказать. Мысль первична. Форма выражения должна соответствовать содержанию, а не быть чем-то самодовлеющим. Все это прекрасно понимал Цицерон, для которого форма выражения мысли никогда не была важнее самой мысли. Рассмотрим период:
«Если я почувствую, что вы охотно предоставляете мне эту возможность, (р), то я, конечно, достигну того, что вы признаете присутствующего здесь Авла Лициния не только не подлежащим исключению из числа граждан (q1) — коль скоро он является гражданином (p1), — но решите, что, если бы даже он им не был (¬ p1), его следовало бы принять в их число» (¬ q1)18.
Схема периода (3+1) выдержана, но так, чтобы излагаемая мысль была передана с необходимой ясностью и полнотой: Если ..., то ..., коль ..., если ..., (то). Период является большей условной посылкой умозаключения. Меньшая посылка (р) не произносится повторно, поскольку Оратор делает вид, что уже получил молчаливое разрешение судей на то, чтобы свободнее говорить о просветительской деятельности и литературе. Итак, две посылки есть, а заключение опущено.
Оратор, который хочет, чтобы его внимательно слушали, не должен говорить силлогизмами. Это слишком утомляет слушателей. Речь станет динамичнее и будет легче восприниматься, если оратор использует энтимемы, то есть силлогизмы, с пропущенными посылками или заключением. Такой совет ораторам давал еще Аристотель. Цицерон умело этим советом пользуется. Заключение понятно: Оратор взял на себя обязательство доказать одновременно и (1) что Авл Лициний не подлежит исключению из числа граждан, если действительно является гражданином: (p1→q1); и (2) если бы Лициний не был гражданином, то его следовало бы принять в их число: (¬ p1→¬ q1).
Все умозаключение имеет следующий вид:
Итак, сложный период, с точки зрения грамматики, представляет собой сложное предложение, сложносочиненное или сложноподчиненное. О наличии периода говорит смысловое единство предложений, которое чаще всего выражается союзами или союзными словами, связывающими части периода в единое целое. Сложные периоды, которые мы назвали ораторскими, используются для того, чтобы придать сказанному убедительный и обоснованный вид, но эти периоды не всегда являются умозаключениями, то есть логическими периодами. Периоды необходимо анализировать как с грамматической, так и с логической точки зрения. Логический анализ позволяет выяснить, являются ли они умозаключениями, а если являются, то следует ли умозаключение из посылок по правилам логики или не следует. Он также позволяет установить — будет ли полученный вывод достоверным или только правдоподобным.
Все рассматриваемые периоды объединены в четыре группы. В первую входят периоды, используемые для передачи особенностей причинной обусловленности явлений. Во вторую — периоды, используемые при сравнивании обсуждаемых явлений, событий или процессов. В третью — периоды, используемые в тех случаях, когда между явлениями, событиями или процессами существуют родовидовые отношения. В четвертую — периоды, используемые для передачи временной последовательности.
(А) Периоды, используемые для передачи особенностей причинной обусловленности явлений
Такими периодами являются собственно причинный период, условный и уступительный периоды. Все они в качестве предпосылки содержат мысль о том, что какое-то событие, о котором идет речь, произошло не само по себе, а вызвано или обусловлено другим, произошедшим ранее. Употребляя причинный период, оратор считает, что причина известна и точно установлена. Используя условный период, оратор исходит из того, что причина может быть установлена лишь предположительно, но налицо есть несомненная связь между обсуждаемыми явлениями. Прибегая к уступительному периоду, оратор не отрицает причинную связь между рассматриваемыми явлениями, но указывает на обстоятельства, которые могли бы помешать произойти некоему действию (следствию, обусловленному причиной), но не помешали.
Суждения, входящие в эти периоды, с грамматической точки зрения, неотличимы от суждений, используемых в обычных сложноподчиненных предложениях с придаточными причины, условными или уступительными. С точки зрения логики (когда речь идет о логических периодах), их можно отличать, поскольку суждения, входящие в логический период, содержат в себе дополнительную информацию, выражаемую операторами модальности. Иначе говоря, суждения, входящие в логические периоды, связанные с пониманием причинной обусловленности явлений, указывают на необходимую, а также на возможную или невозможную связь между этими явлениями. Кроме того, эти суждения могут иметь и деонтическую модальность, выражаемую в логике с помощью операторов: обязательно, разрешено, запрещено.
Итак, причинный логический период содержит в себе предположение, что связь между главным и придаточным предложениями является необходимой и закономерной. В грамматическом плане мы имеем дело со сложным предложением, в котором одна часть является главным предложением, другая — придаточным причины. Придаточное указывает на причину того, о чем говорится в главном предложении и отвечает на вопросы почему? отчего? и др. Присоединяются придаточные к главному предложению с помощью союзов: потому что, оттого что, так как, ибо. Подчеркнем еще раз: принципиальной разницы (грамматической) между ораторским периодом и обычным сложноподчиненным предложением с придаточным причины нет. Период представляет собой несколько более сложную конструкцию — и только. Приведем примеры сложноподчиненных предложений с придаточным причины:
«Так как Каштанка взвизгнула и попала ему под ноги, то он не мог не обратить на нее внимания». (А. П. Чехов.)
«Наташа заревела, как ребенок, только оттого, что Соня плакала». (Л. Н. Толстой.)
Рассмотрим ораторский период:
Но так как с заднего крыльца
Обыкновенно подавали
Ему донского жеребца,
Лишь только вдоль большой дороги
Заслышат их домашни дроги, —
Поступком оскорбясь таким,
Все дружбы прекратили с ним.
(А. С. Пушкин.)
Итак, разницы, с грамматической точки зрения, между сложноподчиненным предложением, придаточным причины и причинным ораторским периодом нет. Есть разница между ораторским периодом и логическим. Связана она с тем, что последний выражает умозаключение. Приведем пример логического причинного периода:
«Ленивый человек не будет иметь успеха в своих начинаниях, потому что все предпринимаемое нами требует труда и усилий».
В данном примере главное предложение является заключением. Придаточное— посылкой, из которой заключение выводится; но умозаключение не дано полностью: одна из посылок пропущена, и ее надо восстановить19.
В примере пропущена меньшая посылка, но заключение и большая посылка нам известны. Меньшая посылка должна содержать меньший (S) и средний (М) термины. Меньший термин нам известен из заключения, а средний — из большей посылки. Большая посылка является выделяющим суждением, и хотя меньшая посылка является отрицательной, мы можем восстановить силлогизм по первой фигуре. В силлогистическом форме логический период будет выглядеть следующим образом:
Только труд и усилия (М+) приносят успех (Р+)
Ленивый человек (S+ не будет прилагать усилий и трудиться (М+)
Ленивый человек (S+) не будет иметь успеха (Р+)
Вывод следует с необходимостью, поскольку все правила силлогизма соблюдены.
Разновидностью причинного периода является период предположительно-причинный. Он используется тогда, когда причина или не установлена, или утверждение о причинной зависимости между обсуждаемыми явлениями может вызывать сомнение либо возражения. Обычно его называют условным. С грамматической точки зрения, это сложноподчиненное предложение — или несколько предложений, — содержащее главное и придаточное условия. Как известно, придаточные условные указывают, при каком условии возможно то, о чем говорится в главном предложении и отвечают на вопрос при каком условии? Придаточные условные присоединяются к главному союзами если, когда, раз и др. С точки зрения логики, условный период содержит утверждения, связь между которыми может быть выражена в форме условного умозаключения. Это умозаключение бывает истинным, если являются истинными составляющие его предложения (посылки), и если связь между ними имеет закономерный характер.
Приведем примеры, иллюстрирующие разницу между предложением и периодом.
«Когда бы вверх могла поднять ты рыло, тебе бы видно было, что эти желуди на мне растут». (И. А. Крылов.)
«Быть бы нашим странникам под родною крышею, если б знать могли они, что творилось с Гришею». (Н. А. Некрасов.) — Это примеры предложений.
Пример периода:
«Обмен жилыми помещениями может быть признан судом недействительным, (q) если он произведен с нарушением требований, предусмотренных Жилищным кодексом (р). В случае признания обмена недействительным, (q) стороны подлежат переселению в ранее занимаемые помещения» (r)20.
Разница между обычным сложным предложением с придаточным причины и условным логическим периодом в том, что в последнем случае мы имеем дело с умозаключением. Обе посылки периода — условные суждения, причем следствие первой посылки является основанием второй (q), из которого, в свою очередь, вытекает некоторое следствие (r). Общая часть двух посылок (q) позволяет связать основание первой (р) и следствие второй (r). Поэтому заключение также выражается в форме условного суждения. Общая схема умозаключения будет такой:
В словесном выражении заключение читается следующим образом: если обмен жилыми помещениями произведен с нарушением требований, предусмотренных Жилищным кодексом, то стороны подлежат переселению в ранее занимаемые помещения.
Итак, логический условный период имеет форму чисто условного умозаключения, то есть такого умозаключения, посылки и заключение которого являются условными суждениями. Однако заключение в периоде пропущено, но восстановить его не представляет труда.
Рассмотрим ораторский условный период:
«Если когда-нибудь, — сказал он,— сердце ваше знало чувство любви, если вы помните ее восторги, если вы хоть раз улыбнулись при плаче новорожденного сына, если что-нибудь человеческое билось когда-нибудь в груди вашей, то умоляю вас чувствами супруги, любовницы, матери, — всем, что ни есть святого в жизни, — не откажите мне в моей просьбе». (А. С. Пушкин.)
Ораторский период не содержит умозаключения, но периодическая форма придает речи большую убедительность, чем если бы то же самое было высказано так называемой отрывистой речью. В периоде использована модель: Если..., если..., если..., если..., (то)..., то есть 4+1. Основания и следствие периода не отражают какой-то объективной зависимости. Между основаниями и следствием есть связь, воспринимаемая как закономерная только говорящим, но она может не показаться такой слушающему или читающему. Тем не менее периодическая форма речи, формально предполагающая причинную зависимость между основаниями и следствием, придает просьбе последовательный и законченный вид, увеличивая тем самым ее убедительность. Убеждающую силу сказанному добавляет и интонация: в повышении (восходящей части) излагаются условия осуществления того, о чем говорится в понижении (нисходящей).
Период, называемый уступительным также связан с выявлением причинной обусловленности явлений. Грамматически — это предложения два или более, одно из которых является главным, а другое — придаточным уступительным. Придаточное уступительное указывает на причину, которая могла бы помешать тому, о чем говорится в главном, но не помешала, и обычно отвечает на вопрос несмотря на что? Придаточные уступительные присоединяются к главным посредством союзов хотя (хоть); пускай; пусть; несмотря на то, что. Если придаточное вступительное стоит перед главным, то между предложениями могут быть противительные союзы но, однако, а, да.
Приведем примеры сложноподчиненных предложений с придаточными ус
...