автордың кітабын онлайн тегін оқу Спасательная техника и базовые машины
Ю. В. Голован, В. К. Емельянов, Т. В. Козырь
Спасательная техника и базовые машины
Информация о книге
УДК 614.842
ББК 68.9
Г61
Авторы: Голован Ю. В., Емельянов В. К., Козырь Т. В.
Рецензенты:
Соболев В. А., начальник отдела надзора Главного управления МЧС России по Приморскому краю, капитан 1-го ранга;
Николаев В. Ф., исполняющий обязанности начальника Учебно-методического центра ГОЧС Приморского края.
Изложены требования к машинам для проведения аварийно-спасательных и других неотложных работ; представлены инженерно-технические возможности машин и их основные параметры, определяющие область применения в условиях чрезвычайной ситуации. Рассмотрены устройство, компоновка и конструктивные особенности землеройной техники, грузоподъемных машин и компрессорных станций; основные виды оборудования для добычи воды. Дана общая характеристика робототехнических средств и техники Вооруженных сил РФ, применяемых для ликвидации последствий чрезвычайных ситуаций; приведены данные об организации эксплуатации спасательной техники. Описаны виды технического обслуживания спасательной техники при использовании и периодичность их проведения. Даны рекомендации по эксплуатации спасательной техники в различных климатических условиях и зимой.
Предназначено для студентов специальности «Защита в чрезвычайных ситуациях» высших учебных заведений при изучении дисциплины «Спасательная техника и базовые машины».
УДК 614.842
ББК 68.9
© Дальневосточный государственный технический университет, 2008
© ДВФУ, 2015
© ООО "Проспект", электронная версия книги, 2015
ВВЕДЕНИЕ
Сегодня, как и в незапамятные времена, космические и многие планетарные процессы неподвластны человеку, поэтому сохраняется угроза отрицательного воздействия природных факторов как на отдельные группы людей, так и на общество в целом. Чрезвычайные ситуации природного характера нарушают условия жизнедеятельности людей на обширных территориях, характеризуются значительными разрушениями, приводят к большим материальным потерям и зачастую к жертвам среди населения.
Опыт ликвидации последствий стихийных бедствий свидетельствует о том, что только при наличии эффективных технических средств можно в сжатые сроки выполнить необходимые спасательные и неотложные аварийно-восстановительные работы в зоне чрезвычайной ситуации.
Несмотря на ослабление международной напряженности, ряд государств продолжает наращивать вооружение, и возникновение военных конфликтов ни в коей мере нельзя считать невозможным.
В условиях применения противником современных средств поражения успешное выполнение сложных и трудоемких аварийно-спасательных и других неотложных работ будет во многом зависеть от оснащенности формирований гражданской обороны эффективными средствами механизации.
Непрерывное во времени и пространстве взаимодействие человека, техники и природы, огромные энергетические возможности созданных производств, широчайший спектр технологических факторов, воздействующих на природу Земли, – таковы типичные черты современного развития цивилизации. Но прогресс таит в себе и огромные опасности. Насыщенность как производства, так и сферы услуг сверхмощной техникой, сложнейшими системами контроля и автоматики резко увеличивает вероятность отказов техники и человеческих ошибок в процессе ее эксплуатации. Масштаб крупных техногенных катастроф уже вполне соизмерим с чрезвычайными ситуациями военного времени.
Ликвидация последствий чрезвычайных ситуаций любого происхождения в одном случае связана с необходимостью спасения жизни людей, находящихся под обломками зданий, когда оказание помощи пострадавшим людям не терпит промедления. В другом случае необходимо предотвратить возможное наступление катастрофических последствий, возникновение новых очагов пожаров, взрывов и разрушений. В третьем случае для предотвращения значительного материального ущерба необходимо быстрейшее восстановление нарушенного производства.
Большой объем работ в очагах аварий невозможно провести в короткие сроки без применения различной техники. Только широкая механизация всех видов работ позволит своевременно осуществить спасение пострадавших и выполнение неотложных аварийно-восстановительных работ.
Важное значение при использовании высокопроизводительной техники приобретает обучение и подготовка руководителей и персонала аварийно-спасательных формирований, которые позволят умело и грамотно применять средства механизации в условиях ЧС.
В Российской Федерации изданы учебные пособия, описывающие принцип действия, устройство, порядок обслуживания и ремонта спасательной техники. Однако эти учебники, предназначенные для подготовки инженеров-механиков, содержат массу технических подробностей, знание которых не является необходимым для персонала, непосредственно не связанного с поддержанием машин в исправном состоянии, и их изучение ведет к непроизводительным затратам учебного времени и не позволяет уделить достаточно внимания путям повышения эффективности работы спасательных машин при ликвидации последствий ЧС.
Данное учебное пособие призвано заполнить существующий пробел. В то же время пособие построено по общесистемному принципу, носит универсальный характер и неразрывно связано с нормативными и учебно-методическими материалами по использованию комплексной механизации при ведении аварийно-спасательных и других неотложных работ.
1. ОБЩИЕ ТРЕБОВАНИЯ К СПАСАТЕЛЬНЫМ МАШИНАМ
Современные образцы спасательной техники характеризуются высокой производительностью, маневренностью и надежностью. Они обладают широкой универсализацией и высокой элементной унификацией, приспособлены к перевозке различными видами транспорта (железнодорожным, автомобильным, речным, морским и т.д.).
Эффективность применения образцов спасательной техники в значительной мере определяется используемыми в их конструкциях базовыми машинами (БМ). При этом, в соответствии с требованиями ГОСТ Р 22.9.03-95, БМ должны удовлетворять следующим требованиям:
• назначения, включающим функциональные требования, требования к эффективности функционирования, требования по готовности к применению, требования к производительности, по маневренности, проходимости;
• по надежности, включающим требования по долговечности и сохраняемости, безотказности, ремонтопригодности и готовности;
• радиоэлектронной защиты;
• стойкости к внешним воздействиям (механическим, климатическим и другим природным, радиационным и термическим факторам, специальным средам);
• по эргономике и технической эстетике (характеристики мест обслуживающего персонала (операторов, экипажей) и средств защиты, характеристики обитаемости на рабочих местах, характеристики взаимодействия обслуживающего персонала (операторов) с техникой);
• конструктивным (возможность быстрого приведения рабочего оборудования из транспортного положения в рабочее, удобство проведения ТО и Р узлов и агрегатов, укомплектованность средствами радиосвязи и т.п.);
• транспортабельности;
• технологичности;
• безопасности (электробезопасности, пожаробезопасности, взрывобезопасности, радиационной безопасности, безопасности от воздействия опасных химических веществ, безопасности обслуживания).
Исходя из вышесказанного, правильный подбор базовых машин для современных образцов спасательной техники требует необходимого уровня знаний по их устройству, ТТХ и правилам эксплуатации. Изучению данных вопросов и предназначен курс «Спасательная техника и базовые машины».
1.1. Классификация базовых машин спасательной техники
На оснащении формирований РСЧС находится разнообразная по назначению и конструкции техника:
• аварийно-спасательная;
• автомобильная;
• инженерная;
• специальные машины РХБЗ;
• средства связи;
• техника тыла;
• пожарные машины.
Аварийно-спасательная техника – специальные средства механизации АСР, используемые аварийно-спасательными подразделениями при выполнении работ по предупреждению и ликвидации ЧС.
Аварийно-спасательная техника классифицируется следующим образом:
• аварийно-спасательные машины;
• аварийно-спасательный инструмент;
• робототехнические средства;
• приборы поиска пострадавших в ЧС;
• авиационные и воздушно-десантные средства;
• мобильные диагностические комплексы оценки реальной сейсмостойкости и устойчивости зданий и сооружений;
• дистанционные вертолетные системы взрывного дробления льда и уничтожения ледяных заторов.
Автомобильная техника является наиболее массовым видом техники в формированиях РСЧС; она широко используется не только как средство доставки гуманитарных грузов и перевозки личного состава, но и как база для монтажа вооружения и техники.
К автомобильной технике относятся:
• автомобили (многоцелевые и общего назначения);
• многоосные тяжелые колесные тягачи;
• тракторы для буксировки техники и вспомогательных работ;
• прицепы и полуприцепы;
• подвижные средства технического обслуживания, ремонта и эвакуации автомобильной техники;
• автомобильные кузова-фургоны на шасси автомобильной техники;
• специальные колесные шасси;
• автомобильные базовые шасси вооружения и техники;
• автомобильные шасси.
Инженерная техника – средства инженерного обеспечения для ведения аварийно-спасательных и других неотложных работ.
К инженерной технике относятся:
• средства инженерной разведки (миноискатели переносные, искатели магнитные);
• средства преодоления разрушений и препятствий (машины разграждения, путепрокладчики гусеничные, мосты механизированные);
• средства преодоления водных преград (парки понтонные, транспортеры плавающие, катера буксирно-моторные, средства моторизации лодок, установки мостостроительные, комплекты мостостроительные, дизель-молоты);
• средства механизации дорожных и землеройных работ (котлованные и траншейные машины, экскаваторы, универсальные дорожные машины, бульдозеры на тракторах 1,4...25 тс, бульдозеры с рыхлителями; экскаваторы 0,15...1,25 м3 гусеничные, пневмоколесные, тракторные; передвижные компрессорные станции, скреперы, автогрейдеры);
• средства лесопильные и лесозаготовительные (рамы лесопильные, пилы моторные);
• грузоподъемные и подъемно-транспортные средства (краны автомобильные, гидрокраны автомобильные, автопогрузчики, вышки строительные);
• средства полевого водоснабжения (установки буровые передвижные, установки для добычи воды, колодцы шнековые, станции фильтровальные, станции комплексной очистки воды, мотопомпы);
• средства ремонтные и технического обслуживания (инженерные подвижные мастерские, агрегаты электросварочные);
• электротехнические средства (электростанции: силовые, осветительные, инженерные, зарядные; установки зарядные автоматизированные; электроагрегаты бензиновые и дизельные; машины Энергонадзора).
К специальным машинам РХБЗ относятся:
• химические разведывательные машины;
• разведывательно-спасательные машины;
• автомобильные химические и радиометрические лаборатории;
• машины и комплекты для специальной обработки личного состава и техники;
• подвижные ремонтные химические мастерские.
К средствам связи относятся переносные и подвижные радиостанции.
К технике тыла относятся: автотопливозаправщики, автотопливомаслозаправщики, автоцистерны, прицепы-цистерны, санитарные автомобили, дезинфекционно-душевые установки, самоходные и прицепные средства приготовления и транспортирования пищи в полевых условиях.
К пожарным машинам относятся пожарные автомобили и мотопомпы.
Шасси – рама (корпус) автомобиля (танка, бронетранспортера, плавающего транспортера, колесного трактора) с собранным на ней (в нем) комплектом агрегатов трансмиссии, ходовой части и механизмов управления. Различают шасси рамные (применяются главным образом у грузовых автомобилей и тракторов) и с несущим кузовом.
Базовая машина – машина, шасси которой используется в качестве основы при создании различных образцов спасательной техники. Имея одинаковые шасси, эти образцы отличаются главным образом вооружением или оборудованием.
Деталь – изделие, изготовленное без применения сборочных операций, а также из одного куска пайкой материалов, склейкой, сваркой и т.п.
Агрегат – унифицированный узел машины, выполняющий определенные функции. Агрегат обладает полной взаимозаменяемостью.
Система – множество функционально связанных между собой элементов, образующих определенную целостность, единство (предназначенных для выполнения определенной цели).
Механизм – система тел, предназначенная для преобразования движения одного или нескольких тел в требуемые движения других твердых тел. Если в преобразовании движения тел участвуют жидкие или газообразные тела, то механизм называется гидравлическим или пневматическим.
Под классификацией в общем случае понимается разделение по каким-либо признакам, т.е. установление между объектами рангов и причинных связей.
Исходя из этого классификацию базовых машин спасательной техники целесообразно осуществлять по следующим признакам.
1. По типу базового шасси
1.1. Колесная техника
1.1.1. На базе автомобилей
1.1.2. Полноприводные автомобили (колесная формула 4x4, 6x6)
1.1.3. Неполноприводные автомобили (колесная формула 4x2, 6x4)
1.1.4. На базе тракторов
1.1.5. На базе бронетранспортеров
1.1.6. На специальной базе
1.2. Гусеничная техника
1.2.1. На базе тягачей и транспортеров
1.2.2. На базе тракторов
1.2.3. На базе танков
1.2.4. На специальном шасси.
Таблица 1.1
Базовые машины спасательной техники
| № п/п | Марка шасси базовой машины | Марка спасательной техники |
| 1. Колесная техника | ||
| 1.1. На базе автомобилей | ||
| 1.1.1. Полноприводные автомобили (колесная формула 4x4, 6x6) | ||
| і | ВАЗ-2121 | Аварийно-спасательная машина АСМ-41-01 |
| 2 | УАЗ-3152 (469) | Химическая разведывательная машина УАЗ-3152-РХ, радиостанция Р-125 |
| 3 | УАЗ-3962 (452А) | Разведывательно-спасательная машина РСМ-02, санитарный автомобиль |
| 4 | ГАЗ-2705 | Аварийно-спасательная машина АСМ-41-02 |
| 5 | ГАЗ-66 | Фильтровальная станция ВФС-2,5, электростанция инженерная ЭСБ-8И, дезинфекционно-душевая установка ДДА-66, радиостанции Р-142, Р-125, Р-104, автоцистерна АВЦ-1,7 (тыл), мастерская химическая ПРХМ-1 |
| 6 | ЗИЛ-131 | Фильтровальные станции ВФС-10, МАФС-3, передвижная буровая установка ПБУ-50, подвижные ремонтные мастерские МТО-АТ, МРС-АТ,МРМ, МТО-И, МРИВ, авторазливочная станция АРС-14, комплект мостостроительных средств КМС-Э, топливозаправщики, кухня ПАК-200, пожарные автомобили |
| 7 | ЗИЛ-4906 | Плавающая АСМ |
| ЗИЛ-49061 (пс) | ||
| 8 | ЗИЛ-497202 | Сухопутная АСМ |
| ЗИЛ-497200 (пс) | ||
| 9 | Урал-4320 | Автомобильный кран грузоподъемностью 25 т, электростанция инженерная ЭД-16-Т230-АИ, автоцистерна АЦ-5,5-4320, авторазливочные станции АРС-15 |
| 10 | Урал-5557-31 | Экскаватор одноковшовый ЕА-17 |
| 11 | КамАЗ-4310 | Аварийно-спасательная машина АСМ-5827, авторазливочные станции АРС-14К |
| 12 | КрАЗ-255Б | Автомобильный кран грузоподъемностью 16 т, тяжелый механизированный мост ТММ-3, одноковшовый экскаватор ЭОВ-4421, мостостроительные установки УСМ, УСМ-2, понтонно-мостовой парк ПМП-М |
| 1.1.2. Неполноприводные автомобили (колесная формула 4x2, 6x4) | ||
| 13 | ГАЗ-53 | Автофургон комбинированный АФК-53 (тыл) |
| 14 | ЗИЛ-130 | Поливомоечная машина ПМ-130, автомобильный кран грузоподъемностью 6,3...7 т |
| 15 | МАЗ-500 | Автомобильный кран грузоподъемностью 10...16 т |
| 16 | КамАЗ-53213 | Подъемник АКП-30 |
| 17 | КрАЗ-257 | Автомобильный кран грузоподъемностью 10...16 т |
| 1.2. На базе тракторов | ||
| 18 | МТЗ-82 | Одноковшовый экскаватор ЭО-2621 |
| 19 | К-702 | Универсальная дорожная машина УДМ |
| 1.3. На базе бронетранспортеров | ||
| 20 | БТР-80 |
Химическая разведывательная машина РХМ-4-01 |
| 1.4. На специальной базе | ||
| 21 | Погрузчик ТО-18 |
|
| 2. Гусеничные машины | ||
| 2.1. На базе тягачей и транспортеров | ||
| 22 | АТ-Т | Траншейная машина БТМ-3, котлованная машина МДК-2М, путепрокладчик БАТ-М |
| 23 | МТ-Т | Котлованная машина МДК-3, путепрокладчик БАТ-2 |
| 2.2. На базе тракторов | ||
| 24 | Т-180 | Бульдозеры 15 тс |
| 25 | ДЭТ-250 | Бульдозеры 25 тс |
| Т-330 | Бульдозеры 25 тс | |
| 2.3. На базе танков | ||
| 26 | Танк Т-72А | Машина разграждения ИМР-2М |
| 2.4. На специальном шасси | ||
| 27 | Плавающие транспортеры ПТС-М, ПТС-2 | |
2. По степени защиты от обычных средств поражения:
• бронированные – на базе БТР-80, танков Т-55Ю Т-72;
• с локальной защитой – ПТС-2;
• небронированные – все остальные.
3. По степени защиты от ОМП:
• с защитой от всех поражающих факторов ОМП (от ударной волны – герметизация обитаемых отделений; от радиоактивной пыли, отравляющих веществ и бактериальных средств – очистка воздуха и создание избыточного давления в обитаемых отделениях) – БТР-80, шасси танков Т-55, Т-72;
• с защитой от отдельных поражающих факторов ОМП (от радиоактивной пыли, отравляющих веществ и бактериальных средств – очистка воздуха и создание избыточного давления в обитаемых отделениях) – МТ-Т, ПТС-М, ПТС-2, кузова-фургоны на автомобилях ГАЗ-66, ЗИЛ-131, Урал-4320, КамАЗ-4310;
• без специальной защиты – автомобили, тракторы, АТ-Т.
4. По типу двигателя базовые машины подразделяются на образцы с карбюраторными и дизельными двигателями. В последние годы наибольшее развитие получили силовые установки с дизельными двигателями. Это обусловлено их лучшей приспособленностью к возникающим переменным нагрузкам в процессе работы машин, большей экономичностью и по экологическим соображениям.
1.2. Свойства и параметры техники
Техника имеет множество различных свойств, которые могут проявляться при ее создании и эксплуатации. Они определяются в основном ее назначением, принципом действия и условиями применения при выполнении аварийно-спасательных работ. Общие, наиболее распространенные свойства, которые характеризуют технику, называются эксплуатационно-техническими.
К общим эксплуатационно-техническим свойствам техники относятся: производительность, маневренность, транспортабельность, живучесть (стойкость), приспособленность к работе на зараженной местности, надежность (безотказность, ремонтопригодность, долговечность, сохраняемость), экономичность.
Любые свойства машины количественно характеризуются параметрами.
Параметр машины – величина, характеризующая ее конструкцию, режим работы или отдельные свойства. Параметры определяют техническую характеристику изделия или процесса преимущественно с точки зрения производительности, мощности, скорости, основных размеров.
Различают конструктивные и эксплуатационные параметры.
К конструктивным параметрам обычно относят массу, габаритные и другие виды размеров, максимальную скорость, частоту вращения коленчатого вала двигателя и мощность на номинальном режиме, скоростную и тяговосцепную характеристики, механическую характеристику рабочего оборудования:
для кранов – грузоподъемность (т) и высоту подъема грузов (м);
для погрузчиков – вместимость ковша (м3) и высоту разгрузки (м);
для экскаваторов – вместимость ковша (м3) и высоту погрузки (м);
для скреперов – скорость перемещения грунта на данное расстояние (км/ч) и грузоподъемность (т).
Конструктивные параметры носят, как правило, более или менее стабильный характер и не зависят от условий применения.
Эксплуатационные параметры являются основными показателями свойств машины и зависят не только от ее конструкции, но и от внешних факторов – условий эксплуатации. К ним относят производительность, скорость движения на марше, запас хода, наработку на отказ, ресурс до капитального ремонта и другие характеристики.
Их значение определяется тем, что они позволяют проводить эксплуатационные расчеты, связанные с выполнением задач (расчет марша, определение вероятности выхода машины из строя вследствие расхода моторесурсов или воздействия оружия противника и т.д.).
Маневренность часто рассматривается как сложное свойство машины, включающее проходимость, подвижность, поворотливость и управляемость. Под проходимостью обычно понимают способность машины двигаться по плохим дорогам и в условиях бездорожья, а под подвижностью – способность двигаться с высокими средними скоростями. Поворотливость и управляемость – свойства, характеризующие соответственно возможность поворота машины в стесненных условиях и способность ее сохранять или легко изменять под действием системы управления направление движения.
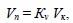
Для марша наибольшее значение имеют скорости движения (перемещения) Vn машин по дорогам, проходимость и управляемость, а при производстве работ – способность сохранять устойчивость при движении и работе на сильно пересеченной местности, а также быстрота перевода машины из походного положения в рабочее и обратно.
Средняя скорость движения машин (при известной конструкции ходовой части и мощности двигателя) зависит от качества пути и определяется:
где Кv – коэффициент учитывающий качество пути; Vк – максимальная (конструктивная) скорость машины, км/ч.
Значения коэффициента Кv в зависимости от дорожных условий:
• для колесной техники: очень плохие дороги – 0,1...0,2; плохие – 0,2...0,3; хорошие – 0,6...0,7; очень хорошие – 0,8...0,9.
• для гусеничной техники: грунтовые дороги – 0,4...0,6; шоссе – 0,6...0,7.
Скорость движения машин в колонне, являющаяся маршевой скорость Vм, обычно равна:
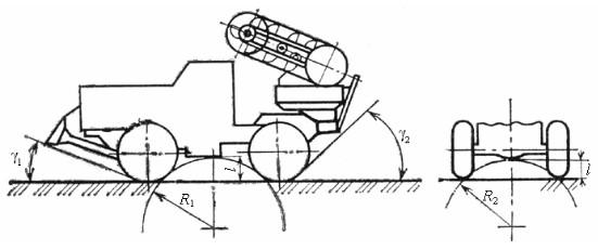
Дорожный просвет L, радиусы проходимости и углы свеса у1 и у2 (рис. 1.1) представляют собой геометрические параметры проходимости машины. Величина клиренса определяется как расстояние от опорной поверхности до низшей точки машины. Низшей точкой для колесных машин обычно бывает картер ведущего моста, для гусеничных машин – днище корпуса. Увеличение клиренса может быть достигнуто за счет изменения компоновки машины и конструкции ходовой части. Так, замена ведущих мостов бортовыми или колесными редукторами, применение мотор-колеса обеспечивают увеличение клиренса почти до размера радиуса колеса.
Рис. 1.1. Геометрические параметры проходимости машины: L – дорожный просвет; R1 – продольный радиус проходимости; R2 – поперечный радиус проходимости; y1 – передний угол свеса; у2 – задний угол свеса
Продольный радиус проходимости R1 определяется как радиус окружности, касающийся передних и задних колес машины и наиболее низкой точки ее в средней части. Чем меньше радиус, тем более крутые неровности машина может преодолеть.
Проходимость через неровности, ширина которых соизмерима с колеёй машины, определяется поперечным радиусом проходимости R2.
Углы проходимости (углы свеса) образуются плоскостью дороги и плоскостями, проведенными через выступающие спереди и сзади машины точки касательно окружностей соответствующих колес или начала соприкосновения гусениц с опорной поверхностью. Чем они больше, тем более крутое препятствие сможет преодолеть машина.
Ширина габаритного коридора – это величина, характеризующая возможность движения машины по узким дорогам с крутыми поворотами. Она зависит как от компоновки машины, так и от ее геометрических размеров и способа поворота. Поворот машины осуществляется поворотом управляемых колес, притормаживанием гусеничного движителя одного борта или поворотом звеньев машины относительно друг друга и может происходить как в горизонтальной (при повороте), так и в вертикальной (при преодолении вертикальных препятствий) плоскости. Следовательно, сочлененная машина обладает повышенной маневренностью и проходимостью.
Транспортабельность – свойство, характеризующее приспособленность машины к перевозкам различными видами транспорта. За общий показатель свойства транспортабельности машин принимается скорость их переброски тем или другим видом транспорта. К параметрам, от которых зависит транспортабельность, относятся: габаритные размеры, масса и общее время, необходимое для подготовки машины к перевозкам тем или другим видом транспорта.
Маневренность и транспортабельность часто объединяют в одно свойство – мобильность.
Живучесть – свойство, характеризующее степень устойчивости машины к воздействию поражающих факторов различных видов оружия. Эти факторы могут вывести из строя как расчет, так и материальную часть. От ядерных средств поражения на расчет могут действовать ионизирующее излучение, проникающее через стенки кабины или корпуса, ударная волна и световой поток.
Выход из строя материальной части возможен прежде всего вследствие механического действия ударной волны – местного разрушения корпуса, срыва отдельных узлов, а также из-за опрокидывания или метания машины.
Живучесть машины характеризуется следующими параметрами:
по защите от ионизирующего излучения – коэффициентами ослабления у-излучения Кy и нейтронного потока Кn ядерного взрыва;
по ударной волне – допустимым для данной машины избыточным давлением
по световому излучению – световым импульсом u, при котором машины и расчет не выходят из строя.
Для небронированной инженерной и автотракторной техники главным поражающим фактором ядерного взрыва является ударная волна, по которой в основном и оцениваются свойства живучести. Установлено, что полные разрушения материальной части наступают при давлении 6...8 Н/см2 и более, средние – около 5 Н/см2 и слабые – при 1,5...2 Н/см2.
Приспособленность к работе на зараженной местности – свойство, которое обеспечивается степенью защиты экипажа от y-излучения, идущего от радиоактивно зараженной местности, герметизацией кабины (корпуса), наличием системы подпора воздуха и фильтровентиляции, а также удобством управления машиной из загерметизированной кабины (корпуса).
Параметрами этого свойства являются:
Кy – коэффициент ослабления у-излучения, идущего с местности (энергия у-квантов около 1,8 МэВ). Ослабление излучения обеспечивается ограждающими конструкциями кабины, элементами корпуса и агрегатами машины. Значение Ку составляет: для автомобилей – 2, для БТР-4, для ИМР-2М-40.
Тз – время, в течение которого расчет может непрерывно выполнять задачу, находясь в загерметизированной кабине.
Экономичность – свойство, характеризующее машину в отношении величины затрат материальных ресурсов на ее производство, применение и хранение.
Наиболее общим параметром экономичности машины является удельная себестоимость единицы работы, выполняемой машиной по ее основному назначению в ходе аварийно-спасательных работ.
Эксплуатационные свойства машин рассмотрены изолированно одно от другого. В действительности они взаимосвязаны, и изменение параметров, предпринятое для изменения одного из этих свойств, неизбежно отразится на остальных. Иногда приходится ограничивать свойства, менее существенные для данной машины, и улучшать за их счет другие, имеющие большую значимость.
Надежность – свойство машины сохранять во времени в установленных пределах значения всех параметров, характеризующих способность выполнять требуемые функции в заданных режимах и условиях применения, технического обслуживания, ремонтов, хранения и транспортирования. Оно является сложным свойством, которое в зависимости от назначения машины и условий ее применения состоит из сочетаний свойств: безотказности, долговечности, ремонтопригодности и сохраняемости.
Безотказность – свойство машины непрерывно сохранять работоспособное состояние в течение некоторого (заданного) времени или некоторой наработки (продолжительности работы).
Долговечность – свойство машины сохранять работоспособное состояние до наступления предельного состояния при установленной системе технического обслуживания и ремонта.
Ремонтопригодность – свойство машины, заключающееся в приспособленности к предупреждению и обнаружению причин возникновения отказов, повреждений и поддержанию и восстановлению работоспособного состояния путем проведения технического обслуживания и ремонтов.
Сохраняемость – свойство машины сохранять значения показателей безотказности, долговечности и ремонтопригодности в течение и после хранения и (или) транспортирования. Ухудшение характеристик может происходить вследствие воздействия агрессивных факторов внешней среды (коррозия), старения материалов деталей машины (особенно резины и пластмасс), изменения формы сопряженных поверхностей в кинематических парах и т.д.
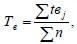
Показатели безотказности
Для восстанавливаемых объектов (автомобильная, инженерная техника и т.д.) показателями безотказности являются: вероятность безотказной работы, средняя наработка на отказ.
Вероятность безотказной работы – вероятность того, что в пределах заданной наработки отказ объекта не возникнет.
Для инженерной техники вероятность безотказной работы Р6 определяется по формуле:
где е – основание натурального логарифма (е = 2,71828); t – наработка, в течение которой определяется значение вероятности; Тo – средняя наработка на отказ.
Формула описывает экспоненциальный закон распределения вероятности безотказной работы. Для значений Тo = 50 ч, Тo = 100 ч, Тo = 200 ч значения вероятности безотказной работы представлены на рис. 1.2.
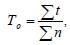
Средняя наработка на отказ – отношение суммарной наработки восстанавливаемого объекта к математическому ожиданию числа его отказов в течение этой наработки. Точечная оценка средней наработки на отказ определяется по формуле:
где
Показатели долговечности
Показателями долговечности для инженерной техники являются средний ресурс и средний срок службы.
Средний ресурс задается, как правило, до капитального ремонта.
Средний ресурс – математическое ожидание ресурса.
Ресурс – наработка техники от начала эксплуатации или ее возобновления после среднего или капитального ремонта до наступления предельного состояния.
Средний срок службы – математическое ожидание срока службы.
Рис. 1.2. Графики изменения вероятности безотказной работы:
1 – для Т0 = 50 ч; 2 – для Т0 = 100 ч; 3 – для Т0 = 200 ч
Показатели ремонтопригодности
Показателями ремонтопригодности являются среднее время восстановления и время замены любого агрегата.
Среднее время восстановления – математическое ожидание времени восстановления работоспособного состояния после отказа.
Точечная оценка среднего времени восстановления определяется по формуле:
где tвj – продолжительность поиска и устранения j-го отказа (j = 1);
Среднее время восстановления для инженерной техники должно составлять не более 2 ч.
Время замены любого агрегата должно составлять не более 3 ч.
Показатели сохраняемости
Одним из проказателей сохр
...