автордың кітабын онлайн тегін оқу Логистика: тренинг и практикум
Логистика:
тренинг и практикум
Учебное пособие
Под редакцией
доктора экономических наук, профессора Б. А. Аникина,
доктора экономических наук, профессора Т. А. Родкиной
Информация о книге
УДК 339.18(075.8)
ББК 65.42я73
Л69
Авторы:
Б. А. Аникин, д-р экон. наук, проф.; В. М. Вайн, канд. техн. наук, проф.; В. В. Водянова, канд. экон. наук, доц.; В. И. Воронов, канд. техн. наук, проф.; М. А. Ганонова, канд. экон. наук, доц.; И. А. Ермаков, канд. экон. наук, доц.; В. В. Ефимова, канд. экон. наук, доц.; Н. И. Заичкин, д-р экон. наук, проф.; М. В. Кравченко, канд. экон. наук, доц.; И. А. Пузанова, канд. экон. наук, ст. нрен.; Т. А. Родкина, д-р экон. наук, проф.; С. Ю. Серова, канд. экон. наук, асс.; Р. В. Серышев, канд. экон. наук, доц.; Л. С. Федоров, д-р экон. наук, проф.
Рецензенты:
кафедра «Промышленная логистика» МГТУ им. Н. Э. Баумана (зав. кафедрой A. А. Колобов, д-р техн. наук, проф.); B. П. Баранчеев, д-р экон. наук, проф. ГУУ
Редакторы:
Б. А. Аникин, д-р экон. наук, проф.
Т. А. Родкина, д-р экон. наук, проф.
Учебное пособие содержит комплексный набор заданий и упражнений, развивающих практические навыки выработки эффективных управленческих решений на всем протяжении логистической цепи поставок, и строится в соответствии с рекомендованным государственным образовательным стандартом высшего профессионального образования (ГОС ВПО).
Ценной особенностью данного учебного пособия является наличие методических рекомендаций к выполнению курсовых проектов, домашних заданий, хозяйственных ситуаций и деловых игр, а также тестовых заданий и контрольных вопросов по отдельным дисциплинам специальности, предусмотренным учебными программами курсов.
Практические задачи, деловые игры и ситуации могут быть использованы также в ходе проведения практических занятий при рассмотрении отдельных разделов дисциплины «Логистика» в рамках специальностей и специализаций «Менеджмент организации», «Управление инновациями», «Маркетинг», «Коммерция» и др.
Для студентов, преподавателей, слушателей надвузовского образования, в частности, второго высшего образования, МВА, краткосрочных программ повышения квалификации по специальности «Логистика и управление ценами поставок».
УДК 339.18(075.8)
ББК 65.42я73
© Коллектив авторов, 2014
© ООО «Проспект», 2014
Даже маленькая практика стоит большой теории
(закон Буккера)
Предисловие
Бурное развитие и интенсивное использование современных технологий управления бизнес-организациями разного профиля актуализируют необходимость освоения практического инструментария логистического сервиса. Получаемые в результате этого конкурентные преимущества обеспечивают не только рост дополнительной прибыли, но и повышение уровня качества оказываемых услуг, что приносит ощутимую пользу как всем участникам, так и конечному потребителю интегрированной цепи поставок.
Целью настоящего учебного пособия является выработка практических навыков принятия эффективных управленческих решений в логистической цепи поставок, базирующихся на превентивном освоении теоретических и методологических проблем логистики. Практические навыки вырабатываются в процессе решения тренировочных задач, рассмотрения реальных хозяйственных ситуаций, участия в деловых играх, выполнения домашних заданий и курсовых проектов.
Структура учебного пособия охватывает комплекс ключевых функциональных и интегрированных областей логистики и строится в соответствии с рекомендованными Государственным образовательным стандартом высшего профессионального образования (ГОС ВПО) разделами (дисциплинами федерального компонента) специальности «Логистика» — 080506:
— Логистика снабжения;
— Логистика производства;
— Логистика распределения;
— Управление в логистических системах;
— Логистика складирования;
— Управление запасами в логистических системах;
— Транспортировка в логистических системах;
— Информационные технологии и системы в логистике;
— Экономико-математические методы и модели в логистике;
— Международная логистика.
Учебное пособие содержит комплексный набор заданий и упражнений, развивающих практические навыки выработки эффективных управленческих решений на всем протяжении логистической цепи поставок:
— Практические задачи и примеры их решения;
— Хозяйственные ситуации;
— Деловые игры и рекомендации по их проведению;
— Домашние задания и методические указания к их выполнению;
— Методические рекомендации к выполнению курсовых проектов;
— Контрольные вопросы для оценки качества освоения дисциплины;
— Примеры тестовых вопросов.
Ценной особенностью данного учебного пособия является наличие методических рекомендаций к выполнению курсовых проектов по отдельным дисциплинам специальности «Логистика», предусмотренным учебными программами данных курсов.
Оценка качества освоения теоретического курса, являющегося основой успешного проведения практических занятий, предусматривает наличие в разделах учебного пособия перечня контрольных вопросов качества освоения дисциплины и примеров тестовых заданий.
Приведенный перечень практических задач, хозяйственных ситуаций, деловых игр, домашних заданий, алгоритмы их решения, а также задания для самостоятельной работы студентов могут быть использованы преподавателями основных дисциплин специальности «Логистика» при проведении практических занятий в соответствии с учебными программами вышеназванных дисциплин.
Практические задачи, деловые игры и ситуации могут быть использованы также в ходе проведения практических занятий при рассмотрении отдельных разделов дисциплины «Логистика» в рамках специальностей и специализаций «Менеджмент организации», «Управление инновациями», «Маркетинг», «Коммерция» и ряде других, предусматривающих чтение курса «Логистика» в рамках Государственных образовательных стандартов высшего профессионального образования вышеуказанных специальностей.
Нацеленность на использование реальных практических ситуаций и примеров позволяет использовать данное учебное пособие слушателям надвузовского образования, в частности второго высшего образования по специальности «Логистика», МВА «Логистика», слушателям краткосрочных программ повышения квалификации и др.
Учебное пособие подготовлено коллективом ведущих преподавателей Государственного университета управления, читающих лекции и проводящих практические занятия по курсам регионального компонента специальности «Логистика», а также по дисциплине «Логистика» для специальностей и специализаций «Менеджмент организации», «Маркетинг», «Управление инновациями». Структура каждого раздела учебного пособия носит оригинальный характер и регламентируется авторским видением методологии курса и требованиями к содержанию учебной программы курса в соответствии с Государственными образовательными стандартами высшего профессионального образования.
Авторский коллектив будет признателен читателям за высказанные замечания и пожелания, а также предложения о сотрудничестве с целью дальнейшего совершенствования учебного пособия.
1. ЛОГИСТИКА СНАБЖЕНИЯ
1.1. Практические задачи, примеры решения,
варианты для самостоятельной работы
Задача 1
Для производства вилочных погрузчиков предприятию необходимо закупить в следующем году 8000 шт. комплектующих по цене 320 денежных единиц за штуку. Стоимость содержания одного комплектующего изделия на складе предприятия составляет 13% от его цены. В прошлом году транспортно-заготовительные расходы в расчете на одну партию поставки составили 850 денежных единиц.
Определить:
1) оптимальную партию поставки комплектующих изделий;
2) оптимальную периодичность поставки комплектующих;
3) количество поставок в год.
Задача 2
Для производства титанового проката металлургическому предприятию необходимо закупить в следующем году 3800 т сырья. Подразделение по логистике рассчитало, что при закупке сырья партиями по 280 т затраты на размещение и выполнение заказа, а также издержки на хранение запасов будут минимальны.
Определить:
1) количество поставок в год;
2) оптимальную периодичность поставки сырья.
Задача 3
Торгово-посредническая организация закупает различные виды продукции. Годовая потребность в продукте W составляет 1300 единиц, цена единицы продукта W — 880 денежных единиц. Издержки хранения в расчете на единицу продукции W составляют 18% от его цены. Учет затрат показал, что транспортно-заготовительные расходы в расчете на одну партию поставки составляют 5 тыс. денежных единиц.
Определить:
1) оптимальную партию поставки продукции W;
2) количество поставок в год;
3) оптимальную периодичность поставки продукции W.
Методические указания к решению задач
Оптимальная партия поставки, оптимальный размер заказа (Economic Order Quantity, EOQ) — объем партии поставки, отгружаемой поставщиком по заказу потребителя, который обеспечивает для потребителя минимальное значение суммы двух составляющих:
1) затраты на формирование и хранение запасов — затраты на текущее обслуживание запасов включают издержки на проведение инвентаризаций, издержки хранения, стоимость рисков и другие издержки;
2) транспортно-заготовительные расходы — затраты, связанные с организацией заказа и его реализацией, включают расходы на мониторинг показателей работы поставщиков, выбор и оценку поставщика, транспортные издержки, затраты на коммуникационный процесс, командировочные, представительские и другие расходы.
Графически оптимальная партия поставки может быть определена по точке, в которой сумма затрат на формирование и хранение запасов и транспортно-заготовительных расходов обращается в минимум.
Оптимальная партия поставки определяется по формуле Уилсона
где qопт — оптимальная партия поставки (экономичный размер заказа);
Стз — транспортно-заготовительные расходы в расчете на одну партию поставки;
Схр — издержки хранения в расчете на единицу продукции;
Q — годовая потребность в продукции.
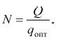
Оптимальная периодичность поставки Топт определяется как отношение найденной оптимальной партии поставки к годовой потребности в материальных ресурсах:
Количество поставок в год N определяется отношением годовой потребности в материальных ресурсах к оптимальной партии поставки:
1.2. Методические рекомендации к проведению деловой игры
«ВЫБОР ПОСТАВЩИКА МАТЕРИАЛЬНЫХ РЕСУРСОВ»
Цель деловой игры: систематизация знаний студентов об условиях поставок и заключении договоров на поставку ресурсов. Развитие навыков ведения переговоров, выработки стратегии и тактики переговорного процесса с потенциальным поставщиком и принятия решений о выборе поставщика материальных ресурсов.
Для проведения деловой игры необходимы:
— комплект раздаточных материалов, содержащий описание ситуации и позиции сторон перед переговорами — выдается каждому студенту;
— видеокамера;
— технические средства, обеспечивающие просмотр видеозаписи;
— таймер.
Количество участников: учебная группа разделяется на три подгруппы. Все студенты учебной группы участвуют в разработке стратегии ведения переговоров по подгруппам, шесть студентов (по два от каждой подгруппы) непосредственно участвуют в переговорном процессе, остальные выступают в роли наблюдателей переговоров, а затем все студенты анализируют состоявшиеся переговоры и обсуждают возможные варианты взаимных уступок. Занятие проводит один преподаватель.
Время: на проведение деловой игры требуется 4 академических часа.
Описание проведения деловой игры
1. Постановка проблемы — определение цели и задач занятия — 20 мин.
Каждому студенту выдается раздаточный материал с описанием ситуации и позицией сторон перед переговорами.
Ситуация
ЗАО «Darts», г. Калининград, производит сувенир-игры «Дартс», которые продает на всей территории России. Для производства готовой продукции ЗАО «Darts» требуется:
1) продукт А — различные комплектующие, имеющие высший приоритет, их необходимо поставлять два раза в неделю;
2) продукт В — комплектующие, отсутствие которых может вызвать затруднения на конечном этапе сборки готовой продукции; его необходимо поставлять в пределах семи рабочих дней.
ЗАО «Darts» приняла решение заключить контракт на поставку продуктов А и В только с одной фирмой-поставщиком. После предварительного рассмотрения примерно 20 квалифицированных поставщиков ЗАО «Darts» остановило свой выбор на двух крупных поставщиках, работающих по всей Восточной Европе, с которыми оно уже сотрудничало ранее. Обе организации хорошо себя зарекомендовали, имеют профсоюз и стабильное финансовое положение. Одна из них — фирма Plastoc — расположена в г. Каунас (Литва), вторая — фирма Metalic — расположена в г. Гданьск (Польша). ЗАО «Darts» планирует обсудить условия контракта с каждым поставщиком, а затем выбрать одного поставщика, чьи условия окажутся наиболее приемлемыми.
Существует ряд вопросов, которые следует обсудить в процессе переговоров. ЗАО «Darts», фирмы Plastoc и Metalic обладают всей необходимой информацией: несмотря на то что оба конкурирующих поставщика не обменивались напрямую стратегическими сведениями, оба они были втянуты в общие дискуссии по ценообразованию, поэтому владеют определенной информацией о затратах и стратегиях друг друга. Наиболее важные вопросы, подлежащие обсуждению при заключении контрактов, приведены в табл. 1 с некоторыми пояснениями позиций ЗАО «Darts», фирм Plastoc и Metalic. Необходимо изучить позиции сторон перед переговорами (см. табл. 1.1).
Таблица 1.1
Позиции сторон перед переговорами
| № |
Пункт контракта |
Позиция ЗАО «Darts» |
Позиция фирмы Plastoc |
Позиция фирмы Metalic |
| 1 |
2 |
3 |
4 |
5 |
| I |
Базис поставки |
Предпочитает заключать контракт на условиях «DDU ЗАО "Darts" Калининград, ИНКОТЕРМС 2000» |
Готова заключить контракт условиях на «DDU ЗАО "Darts" Калининград, ИНКОТЕРМС 2000» |
Готова заключить контракт условиях «DEQ Калининград, ИНКОТЕРМС 2000» |
| II |
Годовой объем поставки продукции |
Предпочитает заключить контракт на поставку продукции в количестве: продукт А — 900 т; продукт В — 680 т с отклонением ±10% |
Согласна заключить контракт на поставку продукции в количестве: продукт А — 800 т; продукт В — 680 т с отклонениями ±10%, со штрафными санкциями в случае меньшего объема поставки |
Согласна заключить контракт на поставку продукции в количестве: продукт А — 800 т; продукт В — 680 т с дополнительной оплатой в случае поставки больших объемов, чем предусмотрено договором |
| III |
Цена продукции |
Максимальная цена закупки 1 кг продукта А может составлять 3 у.е., цена продукта В — 1 у.е. |
Цена продукта А может составлять от 2 до 3 у.е. за кг Цена продукта В — от 1 до 2 у.е. за кг |
Цена продукта А может составлять от 3 до 4 у.е. за кг Цена продукта В — от 0,5 до 1,5 у.е. за кг |
| IV |
Потери и повреждения продуктов |
Продукт А является объектом мелких краж и повреждений. В прошлом году, сотрудничая с поставщиками, ЗАО «Darts» предъявило иски по потерям и повреждениям на 8 тыс. у.е. Продукт В не является объектом краж. ЗАО «Darts» хочет, чтобы иски оплачивались немедленно |
Готова признать, что в случае потерь и убытков иски будут оплачены немедленно |
Иски согласна оплачивать только в размере не более 5 тыс. у.е. Предпочитает, чтобы ЗАО «Darts» приняла на себя риски до определенного количества; это позволит исключить лишнюю бумажную работу |
| V |
Условия страхования |
Хочет, чтобы поставщики взяли на себя страхование со сторонней фирмой на условиях «с ответственностью за все риски» |
Согласна заключить договор страхования на условиях «с ответственностью за частную аварию» |
Согласна заключить договор страхования на условиях «без ответственности за повреждения» |
| VI |
График платежей |
Предпочитает откладывать платежи, поскольку доход оборотного капитала составляет 1,5% в месяц |
Предпочитает немедленный платеж со штрафными санкциями за задержку платежей |
Предпочитает немедленный платеж с дисконтом за более ранний платеж |
| VII |
Упаковка |
Закупаемые до настоящего времени продукты упакованы в соответствии с нормами ISO. Хочет, чтобы по новому контракту упаковка была более дешевой |
Никогда не сталкивалась с другими видами упаковки для этого продукта. Обеспокоена возможностью появления дополнительных претензий по повреждениям продуктов в случае использования такого вида упаковки |
Обеспокоена подачей исков по возмещению убытков в случае использования нестандартной упаковки |
| VIII |
Сроки поставки |
Продукт А требуется поставлять два раза в неделю, продукт В — один раз в неделю, со штрафными санкциями в случае невыполнения этого условия. Эти штрафы должны быть большими, учитывая убытки от упущенных продаж |
Согласна с этим условием, за исключением случаев, когда причина задержки не подконтрольна поставщику |
Позиция, аналогичная позиции фирмы Plastoc |
| IX |
Окна доставки комплектующих |
Хочет установить одночасовое окно, в течение которого должны прибыть комплектующие. Это необходимо для составления графика работы предприятия. Хочет установить штрафные санкции в случае, если комплектующие прибывают раньше или позже установленного одночасового окна |
Соглашается на такие условия с неохотой. Предпочитает использовать штрафные санкции только в случае опоздания доставки на определенное время. Не признает штрафных санкций, если причина задержки не подконтрольна поставщику |
Соглашается на такие условия с большой неохотой. Предпочитает использовать штрафные санкции только в случае определенного количества опозданий поставок в месяц. Не признает штрафных санкций, если причина задержки не подконтрольна поставщику |
| X |
Специальная поставка продукции |
В случае необходимости хотелось бы, чтобы поставщик сделал дополнительную поставку продукции: в дополнение к договору и составленному графику |
Дает согласие на определенное количество «бесплатных» поставок в месяц; сверх этого договоренного количества устанавливается дополнительная цена |
Устанавливает плату за дополнительные незапланированные поставки, если объем поставки не превышает определенной величины |
| XI |
Последующие корректировки должны будут учитывать: увеличение прожиточного минимума или инфляцию |
Признает, что по контракту, заключенному в у.е., из-за инфляции теряется часть доходов поставщиков, и поэтому фирма согласна на инфляционную поправку |
Согласна. Считает, что затраты на заработную плату будут иметь большее влияние на стоимость поставки; затраты на горючее будут оказывать большее влияние на издержки перевозок |
Согласна |
2. Разделение студентов на три подгруппы — 5 мин.
Каждая подгруппа представляет интересы одной из трех организаций: организации — производителя Darts, поставщиков комплектующих Plastoc и Metalic. Можно использовать различные способы разделения на подгруппы, например по жребию.
3. Определение основных этапов и тактики ведения переговоров — 10 мин.
Определяются участники и интересы сторон в переговорах, которые необходимо провести в соответствии с условиями предложенной ситуации.
Рассматриваются основные тактики и этапы ведения переговоров.
Необходимо обсудить степень доверия между сторонами, и если она велика и они не склонны рассматривать свои интересы как взаимоисключающие, то переговорный процесс может свестись к высшей форме сотрудничества — «мозговому штурму». Стороны могут использовать метод принципиальных переговоров, в соответствии с которым:
1) первичны не позиции сторон, а их интересы, которые необходимо рассматривать с учетом всего спектра возможных позиций;
2) до начала переговоров необходимо сформулировать принципы, на основе которых будет оцениваться приемлемость конкретного варианта договора.
Целесообразна следующая последовательность этапов переговорного процесса: исследовательский; аргументации; согласования; формулировки решения. Необходимо, чтобы переговорный процесс прошел все этапы, в противном случае вместо поисков решения, которое максимально удовлетворяло бы интересы обеих сторон, переговоры могут свестись к позиционному торгу или перерасти в «войну» между сторонами.
4. Подготовка подгрупп к проведению переговоров — 20 мин.
При подготовке к переговорам каждая подгруппа должна:
4.1. Определить цель переговоров;
4.2. Определить интересы сторон;
4.3. Разработать приемлемые области соглашения;
4.4. Аргументировать позицию;
4.5. Разработать варианты взаимных уступок.
5. Проведение переговоров в режиме реального времени — 30 мин.
Делегация, участвующая в переговорах от каждой подгруппы, должна состоять из 2 человек. Переговоры между командами Darts и Plastoc должны проводится отдельно от переговоров между командами Darts и Metalic. На каждые переговоры отводится по 15 мин.
Каждый пункт (см. табл.) следует обсуждать отдельно, насколько это возможно. Для ЗАО «Darts» будет считаться неэтичным использование уступок, полученных в результате переговоров с одной из компаний-поставщиков, как средства для получения больших уступок от другой компании-поставщика. Организация Darts заботится о своем престиже и высокой репутации и заинтересована в обоюдовыгодных долгосрочных взаимосвязях со своими партнерами. Поэтому компания намеренно не будет заключать контракт, который очевидно не выгоден для поставщика и в результате которого поставщик будет нести убытки при выполнении условий договора.
В процессе переговоров стороны должны делать пометки о достигнутых договоренностях.
На этом этапе студенты, не участвующие в переговорном процессе выступают наблюдателями и фиксируют используемые аргументы, психологическое воздействие на партнеров и применяемые переговорные тактики. Необходимо поручить одному из наблюдателей вести видеозапись всего процесса переговоров в целях дальнейшего анализа и обсуждения.
6. Принятие решения о выборе поставщика материальных ресурсов — 5 мин.
На основе проведенных переговоров подгруппа, представляющая интересы ЗАО «Darts», должна принять окончательное решение о выборе фирмы-поставщика материальных ресурсов. Решение объявляется перед всей учебной группой.
7. Анализ состоявшегося переговорного процесса — 10 мин.
Если после проведения переговоров наблюдается повышенная эмоциональность участников, то можно задать вопрос об их самочувствии и впечатлениях. Сразу после игры необходимо задать вопросы участникам переговоров.
1. Успешно ли прошли переговоры?
2. Каковы были позиции и интересы сторон перед началом переговоров?
Далее следует задать вопросы наблюдателям.
1. Какая команда использовала более сильные аргументы?
2. Какие переговорные тактики использовались?
3. Наблюдалось ли манипулирование партнерами?
Как правило, участники переговоров не применяют стратегию сотрудничества, позволяющую совместно найти решение проблемы, а используют наиболее распространенную форму ведения переговоров — позиционный торг, в процессе которого стороны формулируют свои позиции, и в дальнейшем идет их корректировка, причем обычно используется метод компромисса. В результате применения такой тактики переговорного процесса обе стороны чаще всего получают вовсе не то, что они хотели бы получить.
Выяснение интересов сторон гораздо более эффективно, чем позиционный торг, но для того, чтобы переговорный процесс был проведен с использованием тактики сотрудничества, стороны должны захотеть этого, и ни одна из сторон не должна подталкивать партнера к тому, чтобы тот быстро определил свою позицию.
8. Видеопросмотр переговоров с остановками для обсуждения по ходу действия — 50 мин.
Обсуждение деловой игры должно показать преимущество сотрудничества в переговорном процессе перед позиционным торгом.
Преподаватель периодически останавливает просмотр видеозаписи, чтобы акцентировать внимание на тех фрагментах, которые являются яркими иллюстрациями замечаниям, высказанным наблюдателями, а также на тех фрагментах, которые не были ими замечены, но важны для общего анализа сложившейся ситуации.
9. Обсуждение возможных вариантов взаимных уступок — 15 мин.
После видеопросмотра еще раз проводится обсуждение возможных вариантов взаимных уступок и составляется окончательный вариант договора поставки.
10. Подведение итогов деловой игры — 15 мин.
Обсуждение конкурентных сил поставщиков и потребителей, их взаимного влияния в процессе формирования стратегии снабжения.
1.3. Методические указания к проведению деловой игры
«ПРОЦЕСС УПРАВЛЕНИЯ СНАБЖЕНИЕМ ОРГАНИЗАЦИИ»
Цель игры: закрепление студентами полученных теоретических знаний основных понятий логистики снабжения и выработка системного подхода к процессу снабжения современной организации, использующей логистические принципы управления.
Работая в подгруппах, студенты должны из предложенных понятий составить логическую схему, отображающую процесс управления снабжением современной организации, и графически воссоздать взаимосвязь этих понятий. Совместное обсуждение в подгруппе и защита позиции подгруппы перед группой развивает у студентов навыки командного взаимодействия, умение обосновывать и защищать разработанное решение.
Применение метода работы в малых группах позволяет развить у студентов понимание сложности и многообразия вариантов организации процесса снабжения, помогает им лучше уяснить логистический подход к формированию подсистемы снабжения современной организации.
Количество участников: число членов подгруппы — 3—4 человека. Количество подгрупп определяется численностью основной группы. Занятие проводится одним преподавателем.
Время: продолжительность занятия — 2 академических часа.
Для проведения деловой игры необходимы:
1) аудитория и столы для работы подгрупп;
2) доска для вывешивания материалов работы подгрупп, крепежные детали (магниты, кнопки, скотч);
3) каждой подгруппе выдается:
а) лист бумаги формата А1;
б) конверт с 55 понятиями (понятия должны быть набраны шрифтом Arial-20, распечатаны и вырезаны);
в) фломастеры разных цветов, 3—4 шт.;
г) клей.
Описание проведения деловой игры:
1. Разделение студентов на подгруппы по 3—4 человека — 5 мин.
Можно использовать различные способы разделения на подгруппы, например для экономии времени подгруппы образуются из рядом сидящих студентов.
2. Постановка проблемы — определение цели и задач занятия — 10 мин.
Преподаватель объясняет суть деловой игры и того, что ожидается от студентов. Каждая подгруппа должна одновременно, но независимо друг от друга:
2.1. Выбрать лидера подгруппы, который в случае, если при обсуждении схемы участники не смогут прийти к консенсусу, примет необходимое решение.
2.2. Выработать девиз, под которым она будет работать;
2.3. Из предложенных преподавателем 55 понятий составить логическую схему, отображающую процесс управления снабжением современной организации, основанный на принципах логистики, графически изобразив взаимосвязь понятий. Понятия необходимо наклеить на лист бумаги формата А1 и фломастерами отразить взаимосвязи между ними: логистическая система, цели, стратегия снабжения, координация, контроль, мотивация, планирование, прогнозирование, организовывание, производство, финансовый поток, материальный поток, информационный поток, автоматизированная система логистической поддержки, сервис, сбыт, поставщики, потребители, производители, посредники, хранение, упаковка, грузопереработка, критерии выбора, рейтинговая оценка поставщиков, договоры поставки, платежи, оптимизация, сроки поставки, складирование, запасы, заказы, персонал, цена, снабжение, закупка, качество, количество, доставка, ассортимент, переговоры, услуги, потребность в ресурсах, спецификация, производственная программа, конкурентоспособность, готовая продукция, материалы, комплектующие, запрос, «точно вовремя», мониторинг показателей работы поставщиков, отгрузка, приемка, логистические издержки на снабжение.
2.4. Обосновать предложенный вариант логической схемы.
Задание записывается преподавателем на доске.
3. Раздача каждой подгруппе листов бумаги формата А1, конвертов с понятиями, фломастеров и клея — 5 мин.
4. Работа в подгруппах — 30 мин.
Преподаватель периодически контролирует работу подгрупп, отвечает на возникающие вопросы.
5. Выступление подгрупп с результатами работы — каждой следует предоставить 5—10 мин.
Схема вывешивается на доску, и лидер подгруппы представляет разработанный вариант игры «Процесса управления снабжением организации», отвечает на возникающие вопросы.
6. Подведение итогов игры и дискуссия по содержанию исследуемой проблемы — 15 мин.
Преподаватель является ведущим дискуссии, направляет ее ход и обобщает результаты. При подведении итогов следует воздержаться от прямых отрицательных оценок работы отдельной подгруппы либо отдельного студента. В работе каждой подгруппы нужно выделить оптимальные составляющие предложенного варианта процесса снабжения организации, которые могут быть использованы для разработки «идеального» варианта.
1.4. Методические указания к курсовому проектированию по дисциплине «ЛОГИСТИКА СНАБЖЕНИЯ»
Введение
Курсовой проект по дисциплине «Логистика снабжения» выполняется студентами, обучающимися по специальности 080506 — «Логистика» в седьмом семестре, в течение которого проводятся аудиторные занятия по этой дисциплине. Курсовое проектирование наряду с лекциями, практическими занятиями, деловыми играми, выполнением контрольных и самостоятельных работ способствует углублению знаний студентов по изучаемой дисциплине и в целом повышает качество подготовки специалиста по данной специальности.
Целью курсового проекта по дисциплине «Логистика снабжения» является закрепление теоретических знаний, полученных при изучении специальных дисциплин «Основы логистики», «Экономико-математические методы и модели в логистике», «Управление в логистических системах», «Логистика снабжения», «Транспортировка в логистических системах» и базовых дисциплин «Основы менеджмента», «Макроэкономика», «Микроэкономика» и др., приобретение и развитие творческих навыков по анализу и проектированию логистических систем.
Задачи курсового проектирования состоят в следующем:
— систематизация, закрепление и расширение теоретических знаний по дисциплине «Логистика снабжения» во взаимосвязи со смежными дисциплинами;
— углубление навыков ведения студентом самостоятельной исследовательской работы, работы с различной справочной и специальной литературой;
— изучение и использование современных методов аналитической и проектной работы в области логистических систем;
— овладение методикой исследования при решении разрабатываемых в курсовом проекте проблем;
— проектирование современных эффективных систем управления снабжением организации на основе принципов логистики;
— подготовка к выполнению дипломного проекта.
Знания и навыки, полученные студентами при написании курсового проекта по дисциплине «Логистика снабжения», помогут им в дальнейшем при выполнении научно-исследовательских работ, в разработке курсовых проектов по дисциплинам «Управление запасами в логистических системах», «Логистика производства», «Проектирование логистических систем», а также при выполнении дипломного проектирования. В связи с этим целесообразно выбирать тему курсового проекта с учетом возможности ее дальнейшей разработки и использования в дипломном проекте.
Общие требования к курсовому проекту
Тематика курсовых проектов определяется программой дисциплины «Логистика снабжения». Тема курсового проекта выбирается студентом самостоятельно на основе тематики, утвержденной заведующим кафедрой логистики.
Возможны темы, предложенные организациями — объектами организационно-экономической практики, либо самими студентами с учетом их личного практического опыта. В этих случаях требуется обоснование целесообразности разработки предлагаемой тематики и окончательное согласование темы с научным руководителем.
При выборе темы курсового проекта необходимо учитывать следующие факторы:
— актуальность темы курсового проекта;
— соответствие темы целям и задачам курсового проекта;
— соответствие темы научному профилю кафедры;
— обеспеченность исходными данными, литературными источниками;
— соответствие темы индивидуальным способностям и интересам студента;
— разнообразие тематики курсовых проектов.
Тема курсового проекта должна обосновать необходимость решения конкретной проблемы, четко выделенной из числа других, при этом представляется нецелесообразно включать одновременно несколько сложных проблем для рассмотрения в рамках одной работы.
Ниже приведена примерная тематика курсовых проектов по дисциплине «Логистика снабжения».
1. Формирование критериев выбора поставщика при осуществлении процесса закупки материально-технических ресурсов в организации.
2. Организация системы снабжения предприятия и оценка ее экономической эффективности.
3. Оптимизация издержек в процессе закупки товаров производственного и потребительского назначения.
4. Разработка системы цен и расчетов при поставке продукции производственно-технического назначения.
5. Совершенствование планирования закупок материально-технических ресурсов.
6. Совершенствование управления закупочной деятельностью организации.
7. Внедрение методов сетевого планирования при составлении плана закупок материально-технических ресурсов.
8. Организация контроля за закупками материально-технических ресурсов.
9. Разработка мероприятий по повышению эффективности системы закупок материально-технических ресурсов организации.
10. Совершенствование организации нормирования расхода материальных ресурсов на предприятиях.
11. Организация использования заменителей дефицитных и дорогостоящих материалов при производстве продукции и оценка эффективности их применения.
12. Моделирование динамики норм расхода важнейших видов материальных ресурсов (по отраслям производства).
13. Разработка системы показателей использования материальных ресурсов в организации.
14. Организация системы оперативного маневрирования материальными ресурсами.
15. Организация рационального использования вторичных материальных ресурсов.
16. Организация закупок материально-технических ресурсов в условиях функционирования «толкающей» системы MRP.
17. Организация закупок материально-технических ресурсов в условиях функционирования «тянущей» системы «KANBAN».
18. Совершенствование методов оценки эффективности системы закупок материальных ресурсов организации.
19. Организация и управление материальными потоками в интегрированных системах управления логистикой снабжения.
20. Реализация правовых основ закупок и расчетов за поставку.
21. Организация снабжения материалами производственных подразделений организации.
22. Внедрение автоматизации расчета потребности в материально-технических ресурсах организации.
23. Внедрение системы планирования потребностей в материалах (MRP).
24. Организация системы контроля в сфере закупочной деятельности.
25. Организация мониторинга показателей работы поставщиков.
26. Организация внедрения электронного снабжения.
27. Разработка стратегии снабжения организации.
28. Организация использования современных информационных технологий при осуществлении закупок.
29. Совершенствование механизма функционирования логистики снабжения.
30. Разработка стратегии и тактики ведения переговоров с поставщиками.
31. Организация поиска и оценки потенциальных источников снабжения.
32. Исследование современных тенденций управления снабжением.
33. Организация международных закупок.
34. Управление затратами на закупки в современной организации.
35. Организация внедрения закупок в режиме «точно в срок».
36. Координация коммуникационного процесса между покупателем и поставщиками услуг.
37. Моделирование логистического цикла закупки.
38. Организация управления качеством в логистике снабжения.
В соответствии с выбранной темой каждому студенту выдается задание на курсовое проектирование.
Курсовой проект оформляется в виде пояснительной записки, включающей текстовый, графический, табличный и другой иллюстративный материал. Пояснительная записка имеет следующую типовую структуру (табл. 1.2).
Таблица 1.2
Типовая структура курсового проекта по дисциплине «Логистика снабжения»
| № |
Наименование раздела курсового проекта |
Примерный объем, стр. |
| 1 |
2 |
3 |
| Титульный лист |
||
| Задание на курсовое проектирование |
||
| Содержание |
1 |
|
| Введение |
2 |
|
| 1 |
Аналитическая часть |
10 |
| 1.1 |
Краткая характеристика объекта исследования |
1 |
| 1.2 |
Анализ производственно-хозяйственной деятельности и системы управления исследуемого объекта |
2 |
| 1.3 |
Характеристика логистической системы объекта исследования |
1 |
| 1.4 |
Анализ входных материальных потоков исследуемого объекта |
2 |
| 1.5 |
Анализ функционирования действующей подсистемы снабжения исследуемого объекта |
2 |
| 1.6 |
Выявление причин, препятствующих эффективному функционированию (развитию) объекта исследования. Задание на проектирование |
2 |
| 2 |
Научно-методическая часть |
8 |
| 2.1 |
Исследование современного состояния проблемы и определение перспектив ее развития |
2 |
| 2.2 |
Исследование вариантов решения проблемы |
3 |
| 2.3 |
Исследование опыта успешного решения проблемы отечественными и зарубежными организациями |
3 |
| 3 |
Проектная часть |
9 |
| 3.1 |
Проектирование мероприятий по совершенствованию подсистемы снабжения в соответствии с темой курсового проекта |
7 |
| 3.2 |
Расчет эффективности проектных мероприятий |
2 |
| Заключение |
2 |
|
| Список использованной литературы и источников |
1 |
|
| Приложения |
||
| Итого: |
33 |
Оформление титульного листа производится в соответствии с принятой формой. Он должен содержать наименование вуза, института, кафедры, дисциплины («Логистика снабжения»), темы курсового проекта, сведения о студенте и руководителе, причем руководителя проекта необходимо называть с указанием его ученых степени и звания.
В начале курсового проекта приводится его содержание, которое должно включать все разделы курсового проекта с указанием страниц начала каждого раздела.
Исходя из рекомендуемой структуры курсового проекта объем его пояснительной записки (без учета приложений) должен составлять примерно 30 страниц.
Содержание курсового проекта
Приведенные выше основные разделы курсового проекта должны иметь следующее содержание.
1. Введение
Во введении необходимо обосновать актуальность выбранной темы курсового проекта, определить объект и предмет исследования, сформулировать цели, определить задачи и методы исследования, указать основные этапы и ожидаемые результаты проектирования.
Основной целью курсового проекта является разработка проектных мероприятий по совершенствованию системы управления снабжением организации для повышения эффективности ее функционирования и конкурентоспособности.
Для достижения поставленной цели, как правило, необходимо решить следующие задачи:
— анализ объекта исследования;
— научно-методическое обоснование решаемой проблемы;
— разработка проектных мероприятий;
— обоснование проектных мероприятий.
2. Аналитическая часть
Аналитическая часть должна иметь содержательное название в соответствии с поставленными во введении целью и задачами. Состав разделов аналитической части и полнота анализа определяются конкретной тематикой курсового проекта.
2.1. Краткая характеристика объекта исследования
Необходимо привести краткую историческую справку, характеризующую объект исследования: цель, время создания, этапы и перспективы развития, место выпускаемой продукции (услуг) на внутреннем и внешнем рынках сбыта.
2.2. Анализ производственно-хозяйственной деятельности и системы управления исследуемого объекта
В этом разделе необходимо провести экономический анализ основных показателей производственно-хозяйственной деятельности организации за ретроспективный период, спрогнозировать тенденции развития. Необходимо провести более глубокий анализ использования ресурсов объекта исследования и рассчитать соответствующие показатели, например материалоемкость, материалоотдачу.
В процессе анализа системы управления исследуемого объекта следует более подробно исследовать функциональную подсистему снабжения в ее взаимосвязи с другими подсистемами. Полный анализ производственно-хозяйственной деятельности и системы управления организации является трудоемким процессом, поэтому необходимо выполнить ту часть анализа, которая соответствует выбранной теме и поставленным задачам.
2.3. Характеристика логистической системы объекта исследования
Необходимо выявить: виды потоков, звенья и каналы логистической системы, составить схему взаимодействия звеньев логистической системы.
2.4. Анализ входных материальных потоков исследуемого объекта
Необходимо провести анализ источников получения ресурсов и определить параметры входных материальных потоков:
— номенклатура, ассортимент и количество закупаемых ресурсов;
— габаритные характеристики (объем, площадь, линейные размеры);
— весовые характеристики (общая масса, вес брутто, вес нетто);
— физико-химические характеристики ресурса;
— способы затаривания и характеристики тары (упаковки);
— условия договоров поставки;
— вид транспорта и способ транспортировки;
— условия транспортировки и страхования;
— стоимостные характеристики и др.
Определить детерминированные и стохастические, дискретные и непрерывные входные потоки. Рассчитать показатели входного материального потока: интенсивность, скорость, плотность и др.
2.5. Анализ функционирования действующей подсистемы снабжения исследуемого объекта
Определить состав и структуру подсистемы снабжения исследуемого объекта, выявить применяемые стратегии управления закупками и снабжением.
Провести анализ процесса планирования потребности в ресурсах и их учета, функционирующего в рамках исследуемого объекта.
В целях анализа организации работы с поставщиками необходимо исследовать: используемые критерии и методы выбора квалифицированных поставщиков, количество поставщиков по каждому виду ресурсов, дислокацию поставщиков, типы взаимоотношений с поставщиками, систему мониторинга показателей работы поставщиков, условия поставок и способы транспортировки, используемые для доставки ресурсов в подразделения организации и т. п.
Необходимо провести анализ технологии закупок, используемой в организации: определить участников процесса закупок, способы закупок, составить алгоритм процедуры закупок и проанализировать документы, сопровождающие каждый этап, определить рациональные периоды времени и объемы поставок ресурсов.
Для оценки эффективности функционирования действующей подсистемы снабжения исследуемого объекта необходимо проанализировать ряд показателей, например:
— затраты на персонал, занимающийся снабжением за период;
— долю затрат на снабжение в общем объеме затрат на закупку;
— обеспеченность ресурсами;
— стандартизацию закупаемых компонентов;
— потребность в ресурсах за период;
— затраты на приемку товара в расчете на одну полученную поставку;
— среднюю продолжительность приемки одну поставки;
— потери при простоях, вызванных ошибками поставщиков (неполной отгрузкой и/или доставкой с запаздыванием);
— долю затрат на оформление заказа на закупку в общем объеме затрат на закупку;
— количество заказов на закупку за период;
— ритмичность поставок;
— долю неправильных поставок по количеству (физическому объему) поставленных ресурсов;
— долю неправильных поставок по ассортименту поставленных ресурсов;
— долю неправильных поставок по качеству поставленных ресурсов;
— долю поставок выполненных в срок;
— транспортные расходы на поставку ресурсов и др.
В целом для объекта исследования необходимо определить величину логистических издержек на снабжение и оценить степень влияния подсистемы снабжения на объем выпуска, себестоимость продукции и другие, экономические и финансовые показатели деятельности организации.
2.6. Выявление причин, препятствующих эффективному функционированию (развитию) объекта исследования. Задание на проектирование
На основании проведенного аналитического исследования требуется определить причины, снижающие эффективность функционирования рассматриваемого объекта путем выявления недостатков действующей системы управления снабжением, вероятности неопределенности при принятии решений, степени неоптимальности принимаемых решений и ряда других отрицательно воздействующих факторов.
Далее следует определить основные направления оптимизации функционирования объекта исследования, сформулировать задачи, которые необходимо решить для достижения поставленной цели.
На основании проведенного аналитического исследования формулируется задание на проектирование, содержащее: цель разработки проекта; обоснование необходимости разработки проекта (выявленные в аналитической части недостатки); перечень проектных мероприятий; краткое экономическое обоснование проектных мероприятий; организацию разработки и внедрения проекта.
3. Научно-методическая часть
В целях написания научно-методической части курсового проекта по дисциплине «Логистика снабжения» необходимо проработать литературные источники, нормативно-справочные источники, официальные статистические публикации Госкомстата России, материалы Института исследования товародвижения и конъюнктуры оптового рынка (ИТКОР), периодические издания, такие как «Логистика», «Логинфо», «В2В», «Услуги и цены», «Эксперт», «Компания», «Коммерсантъ» и другие, отражающие отечественный и зарубежный опыт, соответствующий цели и задачам курсового проекта.
Научно-методическая часть должна иметь содержательное название в соответствии с определенными во введении целью и задачами. Состав разделов научно-методической части и широта исследования проблемы определяются конкретной тематикой курсового проекта.
3.1. Исследование современного состояния проблемы и определение перспектив ее развития
При написании данного раздела необходимо исследовать достаточное количество литературных источников для выявления степени проработанности проблемы, а также критически подойти к рассмотрению проблемы, обусловленной целью и задачами курсового проекта.
При составлении критического обзора источников необходимо определить вклад авторов в изучение поставленной проблемы, а также исследовать, какие источники цитируют авторы. При этом следует помнить, что критический анализ исследуемых литературных источников и нормативно-правовых актов нельзя подменять простым перечислением работ и их авторов.
Обзор использованных литературных источников должен быть построен по тематическому или предметному принципу, содержать критическую оценку, собственное отношение студента к прочитанному материалу и в конечном итоге показать степень проработанности проблемы, раскрыть ее сущность, выявить недостаточно изученные аспекты проблемы.
3.2. Исследование вариантов решения проблемы
Необходимо провести исследование вариантов решения проблемы, представленных в специальной литературе, дать оценку возможности применения этих вариантов к выбранному объекту исследования. На основании проведенного анализа литературных источников (монографии, статьи, материалы конференций, нормативно-правовая документация и т. п.) требуется выявить научно обоснованные технические (технологические), организационные и экономические решения, использование которых может сыграть решающую роль в формировании оптимальной системы управления снабжением.
3.3. Исследование опыта успешного решения проблемы отечественными и зарубежными организациями
Рассмотрев методы и подходы к управлению снабжением, используемые отечественными и зарубежными организациями-лидерами, необходимо обобщить и систематизировать накопленный позитивный опыт, выявить особенности стратегий управления закупками и снабжением, используемых в современной России.
Необходимо определить принципы и методы, используемые для решения исследуемой проблемы на практике, и осуществить выбор методик, наиболее приемлемых для реализации целей курсового проекта. Например, выбрать экономико-математические методы для совершенствования планирования потребности в ресурсах и обосновать критерии, используемые при реализации этих методов, основываясь на изучении позитивного опыта организаций-лидеров.
4. Проектная часть
Проектная часть должна иметь содержательное название в соответствии с определенными во введении целью и задачами. Состав разделов проектной части, проектные мероприятия определяются конкретной тематикой курсового проекта.
4.1. Проектирование мероприятий по совершенствованию подсистемы снабжения в соответствии с темой курсового проекта
Необходимо сформулировать выбранные направления проектирования и предлагаемые проектные мероприятия.
В этом разделе должны быть представлены выполненные студентом разработки по решению поставленных задач на основе выбранных методов в виде оптимальных организационных схем решения, экономико-математических моделей, алгоритма решения и др. Все проектные решения и предложения должны быть аргументированно обоснованы расчетами, собственными оценками, оценками авторов научных работ и сопровождаться комплектом рабочей документации с описанием содержания и порядка использования. В состав проектной документации могут входить:
— методические положения, рекомендации, инструкции по отдельным направлениям оптимизации функционирования подсистемы снабжения, а также по отдельным функциям и процедурам закупок и снабжения;
— карты, графики, схемы процессов и процедур управления закупками и снабжением;
— структура системы управления базами данных при решении задач управления снабжением с использованием средств вычислительной техники;
— оптимизированная схема организационной структуры управления исследуемого объекта с обоснованием ее вида и типа;
— логико-информационные схемы и оперограммы решения задач логистики снабжения;
— схемы информационных потоков, функционирующих в подсистеме снабжения;
— схема информационного обеспечения процесса управления закупками;
— оперограмма бизнес-процесса «заключение договоров поставки»;
— оперограмма бизнес-процесса «управление закупками»;
— оперограмма процесса «определение потребности в материальных ресурсах организации»;
— модель функционального разделения труда в подсистеме управления снабжением в целом, а также по структурным подразделениям и отдельным функциям;
— расчет структуры трудоемкости выполнения функций снабжения;
— расчет численности работников, необходимых для оптимального функционирования подсистемы снабжения в целом, ее отдельных элементов, выполнения отдельных функций;
— спецификация квалификационных требований к персоналу подсистемы снабжения;
— должностные инструкции сотрудников подсистемы снабжения;
— проекты организации рабочих мест сотрудников подсистемы снабжения;
— оценка степени влияния подсистемы снабжения на экономические и финансовые показатели деятельности организации;
— план организационных мероприятий по внедрению проекта;
— расчеты экономических показателей функционирования подсистемы снабжения;
— расчет экономической эффективности вариантов проектов организации подсистемы снабжения.
Проектная документация может быть представлена и другими видами документов, при этом каждый из них должен сопровождаться соответствующими пояснениями и обоснованиями.
4.2. Расчет эффективности проектных мероприятий
В разделе необходимо выполнить расчеты, обосновывающие полученный или ожидаемый эффект (экономический, социальный, экологический, научный и другие) от разработанных проектных предложений. При написании этой части курсового проекта рекомендуется использовать специальные методы оценки результатов (метод чистого дисконтированного дохода, метод срока окупаемости, расчет точки безубыточности проекта) и, в частности, руководствоваться «Методическими рекомендациями по оценке эффективности инвестиционных проектов и их отбору для финансирования» (утверждены Госстроем, Министерством экономики, Министерством финансов и Госкомпромом РФ № 712/47 от 31 марта 1994 г. с последующими изменениями).
Обосновав эффективность проекта, необходимо сделать выводы о синергическом воздействии всех разработанных мероприятий на функционирование и развитие подсистемы снабжения.
5. Заключение
В заключении необходимо отразить основные результаты, полученные в проектной части и курсовом проекте в целом, сформулировать выводы по проделанной работе, зафиксировать степень достижения поставленных во введении цели и задач, а также определить возможные направления дальнейшего совершенствования разработок.
6. Список использованной литературы
После заключения приводится список литературы, который должен содержать сведения о литературных источниках, использованных в процессе исследования, проектирования и при составлении пояснительной записки.
Список литературы должен содержать библиографическое описание директивных и нормативно-методических материалов, научных, учебных и периодических изданий, информационных ресурсов, используемых при написании работы.
На все приводимые литературные источники в тексте курсового проекта должны быть ссылки. Список использованной литературы должен быть оформлен в соответствии с ГОСТом: автор (ФИО). Название источника: место издания; издательство, год издания, количество страниц. Список должен формироваться в алфавитном порядке.
Кроме опубликованных изданий, студенты могут воспользоваться информационными ресурсами сети Internet, в этом случае также необходимо приводить ссылки на источники с полным указанием названия работы и ее электронного адреса.
7. Приложения
Приложения оформляются как продолжение пояснительной записки. В приложения выносятся организационные, плановые и бухгалтерские документы базовой организации, указанной в задании на курсовое проектирование, являющиеся основой проектирования, расчетные материалы (при значительном объеме вычислительных работ по проекту), формы документов, содержащие анализ процессов производства и управления, проектная документация, а также другие материалы, использование которых в текстовой части нарушает логическую стройность изложения.
Организация курсового проектирования
Тема курсового проекта, выбранная студентом в начале изучения дисциплины «Логистика снабжения», должна быть закреплена за ним и может найти свое первоначальное отражение в рефератах и докладах, а затем непосредственно в курсовом проекте. Выбранная тема исследования может быть продолжена в процессе прохождения практик, при выполнении научно-исследовательских работ студентов, а впоследствии составить основу дипломного проекта.
В соответствии с выбранной темой руководитель проекта каждому студенту индивидуально выдает задание на курсовое проектирование, содержащее: тему проекта; базу практики, на которой выполняется проект; цель; задачи; перечень подлежащих разработке вопросов по каждой части курсового проекта; исходные данные к проекту; список рекомендуемой литературы; контрольные сроки представления отдельных разделов курсового проекта; срок защиты студентом курсового проекта; дату выдачи задания. Задание на курсовое проектирование подписывает руководитель курсового проекта и студент, принявший задание к исполнению.
Руководитель курсового проектирования по дисциплине «Логистика снабжения» в течение всего периода выполнения работы:
— проводит для студентов в соответствии с графиком, утвержденным кафедрой, групповые и индивидуальные консультации по вопросам выполнения курсовых проектов;
— контролирует выполнение студентами всех разделов работ в сроки, установленные графиком;
— осуществляет общий контроль за ходом выполнения работ и предоставляет кафедре сведения о процессе готовности проектов.
Оформление результатов курсового проектирования
Курсовой проект оформляется в виде пояснительной записки с соответствующими расчетами, формулами, диаграммами, схемами, таблицами и другими материалами, выполняется полностью с применением печатающих и графических устройств вывода ПЭВМ на одной стороне листа формата А4 по ГОСТ 9327 (297 х 210 мм) через одинарный межстрочный интервал шрифтом Times New Roman — 14. При необходимости допускается представлять иллюстрации, таблицы и распечатки с ЭВМ на листах формата А3 (297 х 420).
Текст оформляют, соблюдая следующие размеры полей: левое — 30 мм; правое — 10 мм; верхнее — 20 мм; нижнее — 20 мм. Следует соблюдать равномерную плотность, контрастность и четкость всего изображения: линий, букв, цифр и знаков.
Страницы должны быть пронумерованы, таблицы и рисунки, кроме нумерации, должны иметь названия. Номер и название таблицы даются над ней, номер и название рисунка — под ним (см. табл. 1.3). В общую нумерацию страниц курсовой работы включают титульный лист, но номер страницы на нем не проставляют.
На все иллюстрации, таблицы, источники информации, приложения должны быть ссылки в материалах работы. Таблицы, иллюстрации должны располагаться в тексте после абзацев, содержащих ссылку на них, или на следующей после ссылки странице.
Таблица 1.3
Пояснения к нумерации страниц, таблиц, иллюстраций, перечислений, примечаний, формул, уравнений, приложений и ссылок на источники
| Вид |
Нумерация |
Место нумерации |
| 1 |
2 |
3 |
| Страницы |
Арабскими цифрами, соблюдая сквозную нумерацию по всему тексту работы |
В правом верхнем углу без точки в конце |
| Разделы, подразделы, пункты, подпункты |
Арабскими цифрами, соблюдая порядковую нумерацию в пределах всей работы |
Раздел (например 1., 2., 3. и т. д.). Номер подпункта включает номер раздела, порядковый номер подраздела и пункта, разделенные точкой (например, 1.1.1.1., 1.1.1.2. и т. д.) |
| Таблицы |
Арабскими цифрами порядковой нумерацией в пределах всей работы |
В правом верхнем углу над заголовком таблицы после слова «Таблица» |
| Иллюстрации (чертежи, графики, схемы, диаграммы, фотоснимки) |
Арабскими цифрами порядковой нумерацией в пределах всей работы |
Помещают после поясняющих данных заглавия. Под иллюстрацией вносится слово «Рис.». Иллюстрацию следует выполнять на одной странице. Фотоснимки меньше формата А4 наклеивают на стандартные листы |
| Перечисления |
Арабскими цифрами порядковой нумерацией со скобкой 1), 2) и т. д. с абзацного отступа |
Внутри пунктов или подпунктов, в пределах каждого не допускается более одной группы перечислений |
| Примечания |
Арабскими цифрами порядковой нумерацией и с прописной буквы с абзацного отступа |
Непосредственно после пункта, подпункта, таблицы, иллюстрации, к которым они относятся |
| Ссылки — на литературные источники |
Порядковым номером (по списку источников), выделенным квадратными скобками |
Ссылки по тексту на источники, которые приводятся в конце работы в виде списка использованной литературы по теме |
| Формулы и уравнения |
Арабскими цифрами порядковой нумерацией в круглых скобках в крайнем правом положении на строке |
Выделять из текста в отдельную строку, оставляя выше и ниже их не менее одной свободной строки. Перенос их отдельных частей после математических знаков. Пояснение значений символов и числовых коэффициентов приводят ниже со слова «где» без двоеточия |
| Приложения |
Арабскими цифрами порядковой нумерацией |
Оформлять как продолжение работы на ее последующих страницах или в виде отдельного тома. Каждое приложение начинают с новой страницы и в порядке появления на них ссылок |
| Ссылки — на разделы, подразделы, пункты, подпункты, иллюстрации, таблицы, уравнения, формулы, приложения, перечисления |
Их порядковым номером. Например, «...в разд. 5», «...по п. 4.3», «в подпункте 4.3.2, перечисление 1», «...по формуле (5)», «...уравнении (3)...», «...рис. 7», «... в приложении 1» |
Ссылки по тексту на ранее изложенные разделы, подразделы, пункты, подпункты, иллюстрации, таблицы, уравнения, формулы, приложения, перечисления |
В случае использования цитат или цифровых данных, заимствованных из литературы и источников, обязательно должна приводиться ссылка на источник внизу соответствующей страницы, или в конце цитаты ставится номер источника (в квадратных скобках) согласно списку использованных источников. Сведения об использованных источниках, включенных в список, необходимо приводить в соответствии с требованиями ГОСТа. Библиографическое описание использованных источников и литературы производится по ГОСТ 7.1-84; электронных ресурсов — по ГОСТ 7.82-2001.
В приложения целесообразно выносить вспомогательные материалы, содержащие исходные данные, которые по определенным причинам не могут быть в основной части работы. В частности, таблицы и распечатки с ЭВМ, выполненные на листах формата А3, протоколы, контракты, заявки.
Перечень сокращений, условных обозначений, символов, единиц и терминов располагают столбцом. Слева в алфавитном порядке приводят сокращения, условные обозначения, символы, единицы и термины, справа — их детальную расшифровку.
Заголовки структурных элементов работы и разделов основной части располагают в середине строки без точки в конце и прописными буквами, не подчеркивая. Заголовки подразделов и пунктов начинают с абзацного отступа и с прописной буквы, не подчеркивая, без точки в конце. Переносы слов в заголовках не допускаются. Если же заголовок включает несколько предложений, то они разделяются точками.
Расстояние между заголовками, подзаголовками структурных элементов, разделами основной части и текстом должно быть не менее 3—4 интервалов.
Организация защиты курсового проекта
Подведение итогов курсового проектирования включает следующие этапы:
— сдача курсового проекта на проверку руководителю;
— доработка курсового проекта с учетом замечаний руководителя;
— сдача готового курсового проекта на защиту;
— защита курсового проекта.
Срок сдачи готового проекта определяется заданием на курсовой проект, но не позднее предпоследней недели учебных занятий в семестре.
Срок доработки проекта устанавливается руководителем с учетом указанных замечаний и объема необходимой доработки.
Выполненный курсовой проект подписывается студентом и представляется на защиту. Курсовой проект, удовлетворяющий предъявляемым требованиям, допускается к защите, при этом руководитель делает соответствующую запись на титульном листе пояснительной записки.
Руководитель курсового проекта назначает дату и время защиты.
Законченный курсовой проект студент защищает перед комиссией, назначаемой заведующим кафедрой, в составе руководителя курсового проекта и двух преподавателей кафедры. Защита курсового проекта проводится публично, в присутствии студенческой группы.
Защита курсового проекта состоит в коротком докладе, представленном студентом (8—10 мин), и в ответах на вопросы по существу проекта. Важным элементом доклада является презентация курсового проекта, которая обеспечивает наглядность представляемых материалов, дает возможность оценить научную, практическую значимость результатов курсового проекта и способность студента доложить о проделанной работе четко и аргументированно.
Презентация должна включать:
— обоснование актуальности темы курсового проекта, цель, задачи, объект, предмет и методы исследования;
— краткую характеристику объекта исследования, результаты проведенного студентом анализа, выявленные проблемы;
— обоснованные проектные мероприятия по совершенствованию исследуемого объекта, направления, методы, средства реализации этих мероприятий, оценку эффективности реализации мероприятий;
— выводы по результатам курсового проекта.
Презентация сопровождается иллюстративными материалами, представляемыми в виде электронного слайд-фильма (до 10 слайдов) и выполненными в среде Microsoft PowerPoint. Использование визуальных материалов позволяет акцентировать внимание на наиболее важных элементах курсового проекта, проиллюстрировать те факты, которые трудно представить устно.
Подготовив презентацию, следует провести предварительную репетицию, которая позволит должным образом отрегулировать темп речи докладчика и скорость показа слайдов, что обеспечит требуемый уровень качества защиты выполненного курсового проекта.
Основные критерии оценки курсового проекта:
— четкость и грамотность изложения материала;
— соблюдение требований государственных стандартов к оформлению пояснительной записки;
— полнота использования источников, отечественной и иностранной специальной литературы по рассматриваемым вопросам;
— обоснованность и качество решения поставленных задач;
— умение анализировать и интерпретировать полученные результаты;
— оригинальность решения задач проектирования (один из основных критериев оценки качества курсового проекта);
— краткость и логичность доклада;
— качество презентации;
— четкие и аргументированные ответы на заданные вопросы.
— выполнение требований настоящих «Методических рекомендаций».
Студент, не представивший в установленный срок готовый курсовой проект по дисциплине «Логистика снабжения» или не защитивший его, считается имеющим академическую задолженность и не допускается к сдаче зачета по данной дисциплине.
Курсовые проекты, обладающие научной новизной и/или представляющие практический интерес, могут быть представлены на конкурс студенческих научных работ и переданы в соответствующие организации для практического использования (при наличии запросов на них).
После защиты курсовые проекты передаются кафедрой логистики на хранение в архив вуза, где хранятся в течение двух лет.
1. Примеры тестовых вопросов по теме «ЛОГИСТИКА СНАБЖЕНИЯ»
1. Выберите определение, наиболее точно отражающее понятие «логистика снабжения»:
а) логистика снабжения — одна из функциональных подсистем логистики организации;
б) логистика снабжения — управление материальными потоками и услугами в процессе обеспечения организации материальными ресурсами и услугами;
в) логистика снабжения — это управление материально-техническим обеспечением предприятия;
г) логистика снабжения — наука и практика по управлению материальными потоками в процессе материально-технического обеспечения производства;
д) логистика снабжения — комплекс взаимосвязанных операций по управлению материальными потоками в процессе доведения готовой продукции до потребителя.
2. Перечислите основные задачи, решаемые логистикой снабжения:
а) обеспечение надежного и непрерывного материального потока для обеспечения бесперебойного функционирования организации;
б) координация и выравнивание спроса и предложения в снабжении и распределении за счет создания страховых и сезонных запасов;
в) поддержка и повышение качества закупаемых материальных ресурсов;
г) верны ответы а, в;
д) все ответы верны.
3. В чем отличие снабжения от материально-технического обеспечения:
а) снабжение отвечает за поступление материалов и компонентов от внешних источников в нужное место и в нужное время, а материально-техническое обеспечение отвечает за обслуживание всех потребностей в перемещении материалов и полуфабрикатов внутри предприятия во время производственного процесса;
б) материально-техническое обеспечение подразумевает обеспечение производства только материальными ресурсами, а снабжение — как материальными ресурсами, так и услугами (реклама, аудиторские услуги, консалтинговые услуги);
в) снабжение, в отличие от материально-технического обеспечения, — это управление не только процессом обеспечения производства материальными ресурсами, но и материальными потоками в процессе доведения готовой продукции до потребителя;
г) понятия «снабжение» и «материально-техническое обеспечение» взаимозаменяемы;
д) понятие «снабжение» наиболее емкое и включает в себя материально-техническое обеспечение производства.
4. Функциональный цикл снабжения включает следующие этапы:
а) определение потребности в материальных ресурсах, выбор источника ресурсов, размещение и отсылка заказа, транспортировка (экспедирование); получение и проверка поставки;
б) определение потребности в материальных ресурсах, выбор источника ресурсов; размещение и отсылка заказа; транспортировка (экспедирование); получение и проверка поставки, складирование, упаковывание;
в) формирование заказа потребителя, передача заказа поставщику, обработка заказа, комплектование заказа, транспортировка, доставка потребителю;
г) формирование заказа потребителя, размещение и отсылка заказа, транспортировка (экспедирование), получение и проверка поставки;
д) определение потребности в материальных ресурсах, формирование заказа потребителя, выбор источника ресурсов, размещение и отсылка заказа, обработка заказа, комплектование заказа, транспортировка (экспедирование), доставка потребителю.
5. Определите понятие «первичная потребность»:
а) первичная потребность — потребность в изделиях, договоры на производство и поставку которых уже заключены;
б) первичная потребность — потребность на производственную программу во вспомогательных материалах производственного назначения;
в) первичная потребность — потребность в изделиях, подлежащих изготовлению в рамках производственной программы, но договоры на поставку которых еще не заключены;
г) первичная потребность — потребность на производственную программу в основных материалах производственного назначения;
д) первичная потребность — объем продукции определенного ассортимента и качества, необходимый для обеспечения непрерывного производственного процесса и выполнения программы выпуска продукции.
6. Определите понятие «вторичная потребность»:
а) вторичная потребность — потребность в изделиях, договоры на производство и поставку которых уже заключены;
б) вторичная потребность — потребность на производственную программу во вспомогательных материалах производственного назначения;
в) вторичная потребность — потребность в изделиях, подлежащих изготовлению в рамках производственной программы, но договоры на поставку которых еще не заключены;
г) вторичная потребность — потребность на производственную программу в основных материалах производственного назначения;
д) вторичная потребность — объем продукции определенного ассортимента и качества, необходимый для обеспечения непрерывного производственного процесса и выполнения программы выпуска продукции.
7. Определите понятие «брутто-потребность»:
а) брутто-потребность — объем продукции определенного ассортимента и качества, необходимый для обеспечения непрерывного производственного процесса и выполнения программы выпуска продукции;
б) брутто-потребность — потребность на производственную программу во вспомогательных материалах производственного назначения;
в) брутто-потребность — потребность в изделиях, подлежащих изготовлению в рамках производственной программы, но договоры на поставку которых еще не заключены;
г) брутто-потребность — потребность в материальных ресурсах на производственную программу с учетом имеющихся заделов на рабочих местах и запасов готовой продукции;
д) брутто-потребность — потребность в материальных ресурсах на производственную программу без учета имеющихся производственных запасов и готовой продукции.
8. Определите основные источники информации для определения потребности в материальных ресурсах:
а) основной график;
б) ведомости спецификации материалов;
в) график использования материалов;
г) учетной документации по запасам;
д) все ответы верны.
9. При решении вопроса «производить или закупать» решающими факторами являются:
а) объем закупок;
б) виды закупок;
в) затраты на закупку и производство;
г) верны ответы а, в;
д) все ответы верны.
10. Определите основные критерии выбора лучшего поставщика:
а) стоимость приобретаемой продукции, качество обслуживания; надежность обслуживания;
б) имидж, налаженные долгосрочные хозяйственные отношения, финансовое состояние;
в) удобство размещения, предлагаемый широкий ассортимент продукции, наличие товаров-субститутов;
г) низкие цены, короткое время выполнения заказов; оказание технической поддержки;
д) все ответы верны.
11. Определите основные преимущества единственного источника поставки материальных ресурсов по сравнению с несколькими источниками:
а) снижение вероятности сбоев в поставке продукции;
б) снижение риска и неопределенности;
в) более простые процедуры для регулирования размещения и экспедирования заказа;
г) большая вероятность поощрения инноваций и усовершенствований;
д) все ответы верны.
12. Что понимается под понятием «экспедирование заказа»:
а) доставка заказанной продукции потребителю;
б) контроль выполнения заказа;
в) доставка, получение и контроль качества поставленной продукции;
г) контроль выполнения графика доставки продукции;
д) отправка полученной продукции в следующее место назначения — на склад, в отдел контроля или отдел использования.
13. Перечислите основные функции процедуры получения и контроля сырья:
а) проверка качества и подтверждение получения заказанного количества сырья;
б) наклеивание этикеток и упаковка;
в) отправка сырья в следующее место его назначения — на склад, в отдел контроля или отдел использования;
г) верны ответы а, б;
д) верны ответы а, в.
14. Какие закупки относятся к группе традиционных закупок:
а) сырье, особые товары, стандартные товары, малоценные предметы;
б) основные товары, услуги, товары для перепродажи;
в) международные, государственные;
г) сырье, основные товары, государственные;
д) сырье, основные товары, стандартные товары.
15. Какие закупки относятся к группе нетрадиционных закупок:
а) сырье, особые товары, стандартные товары, малоценные предметы;
б) основные товары, услуги, товары для перепродажи;
в) международные, государственные;
г) сырье, основные товары, государственные;
д) сырье, основные товары, стандартные товары.
16. В чем главное отличие приобретения услуг от приобретения товаров:
а) в отличие от приобретения товаров, время оказания услуги должно совпадать со специфическими потребностями покупателя;
б) в отличие от приобретения товаров, качество оказываемой услуги трудно оценить;
в) приобретение товаров происходит на основании оформления заказа на закупку, а приобретение услуг — контракта;
г) верны ответы а, б;
д) верны ответы б, в.
17.В чем отличие государственных закупок от закупок промышленных предприятий:
а) цикл поставки государственных заказов короче по сравнению с циклом поставки закупок промышленных организаций;
б) основной способ организации снабжения при государственных закупках — централизованный, а при закупках промышленных предприятий — децентрализованный;
в) государственные закупки осуществляются в более жестких рамках, нежели закупки промышленного предприятия;
г) в отличие от государственных закупок, закупки промышленных предприятий регламентируются законодательно утвержденными процедурами по видам и объемам закупок;
д) отсутствует отличие между циклом государственных закупок и циклом закупок промышленных предприятий.
18. Перечислите характерные черты международных закупок:
а) обеспечение высокого качества продукции в мотивации поддержания деловых долгосрочных отношений; возможность бартерной торговли; длинный цикл поставки;
б) процесс закупок регламентирован законодательно утвержденными процедурами по видам и объемам закупок; при расчетах используется система оплаты по факту получения товара; высокие затраты на оформление документов при осуществлении закупок;
в) высокие затраты на оформление документов при осуществлении закупок; формальный характер оценки качества закупаемых товаров; возможность бартерной торговли;
г) целевое размещение заказов; длинный цикл поставки; при расчетах используется система оплаты по факту получения товара.
19. Какой из перечисленных ниже признаков является определяющим при децентрализованном способе снабжения;
а) в организации отсутствует отдел снабжения; при необходимости каждое подразделение самостоятельно осуществляет закупки;
б) предприятие пользуется услугами сторонней организации по организации и осуществлению закупок материальных ресурсов;
в) деятельность по осуществлению закупок сосредоточена в отделе снабжения;
г) наличие единой точки контакта с поставщиками и предоставление им необходимой информации и услуг;
д) верны ответы а, г.
20. Какой из перечисленных ниже признаков является определяющим при централизованном способе снабжения;
а) в организации отсутствует отдел снабжения; при необходимости каждое подразделение самостоятельно осуществляет закупки;
б) объединение всех закупок аналогичных или похожих материальных ресурсов для получения скидки за крупный заказ;
в) деятельность по осуществлению закупок сосредоточена в отделе снабжения;
г) наличие единой точки контакта с поставщиками и предоставление им необходимой информации и услуг;
д) верны ответы а, б, г.
2. ЛОГИСТИКА ПРОИЗВОДСТВА
2.1. Практические задания, примеры решения,
варианты для самостоятельной работы
Задание № 1 Определение складского задела, возникающего между производственными подразделениями из-за работы цехов партиями разной периодичности запуска в производство.
Условные обозначения:
ns — размер партии подающего цеха в днях обеспеченности (потребности) сборки;
nm — размер партии потребляющего цеха в днях обеспеченности сборки;
L — планируемая разница во времени между временем поступления деталей на склад из подающего цеха и временем потребления деталей со склада потребляющим цехом.
Таблица 2.1
Варианты задачи для самостоятельного решения
| ns |
nm |
L |
ns |
nm |
L |
ns |
nm |
L |
ns |
nm |
L |
| 1 |
2 |
3 |
4 |
5 |
6 |
7 |
8 |
9 |
10 |
11 |
12 |
| 4 |
2 |
1 |
5 |
2,5 |
2 |
2 |
3 |
1 |
4 |
3 |
2 |
| 6 |
3 |
2 |
6 |
2 |
1 |
6 |
3 |
1 |
6 |
2 |
2 |
| 8 |
3 |
2 |
8 |
3 |
2 |
8 |
2 |
1 |
8 |
4 |
1 |
| 1 вариант |
2 вариант |
3 вариант |
4 вариант |
||||||||
| 4 |
2 |
0 |
5 |
2,5 |
0 |
2 |
3 |
0 |
4 |
3 |
0 |
| 6 |
3 |
0 |
6 |
2 |
0 |
6 | |||||
